Citation: LI Zhen-hua, CHEN Xiao-bing, CHUN Yuan, WU Xing-cai. Active species and deactivation behavior of Al2O3 supported KNO3 catalyst in the synthesis of biodiesel via transesterification of soybean oil[J]. Journal of Fuel Chemistry and Technology, ;2018, 46(9): 1079-1086. shu

Active species and deactivation behavior of Al2O3 supported KNO3 catalyst in the synthesis of biodiesel via transesterification of soybean oil

  • Corresponding author: CHUN Yuan, ychun@nju.edu.cn
  • Received Date: 5 June 2018
    Revised Date: 12 July 2018

    Fund Project: The project was supported by the National Natural Science Foundation of China (21573104, 21673108) and the Testing Fund of Nanjing Universitythe National Natural Science Foundation of China 21573104the National Natural Science Foundation of China 21673108

Figures(7)

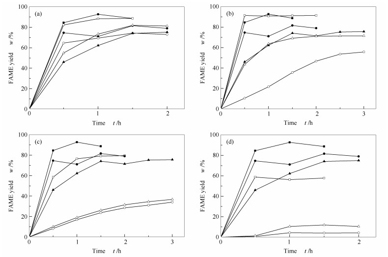
  • Al2O3 supported KNO3 (KNO3/Al2O3) catalyst was prepared and characterized by XRD, DRIFT, nitrogen adsorption, ICP and basicity titration. The catalytic performance of KNO3/Al2O3 in the transesterification of soybean oil with methanol for biodiesel production was investigated; especially, the nature of active species and deactivation behavior during the reaction was considered. The results illustrate that KNO3 on the surface of Al2O3 is completely decomposed after calcination at 873 K, forming potassium aluminate. During the transesterification reaction, aluminate as the active species in KNO3/Al2O3 is gradually dissolved out, which is responsible for the high catalytic activity of KNO3/Al2O3. The biodiesel and glycerol products formed have a great influence on the catalyst activity and the catalyst deactivation is mainly ascribed to the saponification of biodiesel with the active species.
  • 加载中
    1. [1]

      HUANG Shi-feng, CHEN Guo, FANG Bai-shan. Progress of catalysts for producing biodiesel by esterification and transesterification reaction[J]. Chem Ind Eng Prog, 2008,27(4):508-514. doi: 10.3321/j.issn:1000-6613.2008.04.008

    2. [2]

      ENCINAR J M, GONZALEZ J F, EDUARDO S A, RAMIRO M J. Preparation and properties of biodiesel from cynara cardunculus L. Oil[J]. Ind Eng Chem Res, 1999,38(8):2927-2932. doi: 10.1021/ie990012x

    3. [3]

      ESIPOVICH A, DANOV S, BELOUSOV A, ROGOZHIN A. Improving methods of CaO transesterification activity[J]. J Mol Catal A:Chem, 2014,395:225-233. doi: 10.1016/j.molcata.2014.08.011

    4. [4]

      XIE W, HONG P, CHEN L. Transesterification of soybean oil catalyzed by potassium loaded on alumina as a solid-base catalyst[J]. Appl Catal A:Gen, 2006,300(1):67-74. doi: 10.1016/j.apcata.2005.10.048

    5. [5]

      XIE W, CHEN J. Heterogeneous interesterification of triacylglycerols catalyzed by using potassium-doped alumina as a solid catalyst[J]. J Agr Food Chem, 2014,62(43):10414-10421. doi: 10.1021/jf503726a

    6. [6]

      WU Xiao-ni, MA Shao-bo, CHEN Li, YIN Wen-qing, GU Cheng. Preparation of bio-diesel catalyzed by K2CO3/Al-Ni and K2CO3/Al-Ni-O solid base[J]. Ind Catal, 2016,24(4):61-63. doi: 10.3969/j.issn.1008-1143.2016.04.011

    7. [7]

      WANG Jin, CHENG Qi-tong, CHANG Fei-qin, CAO Hui, TANG Ying. K2CO3/γ-Al2O3 catalysts were developed for the synthesis of biodiesel in continuous double transesterification reaction catalyst system[J]. Appl Chem Ind, 2017,46(1):116-119.  

    8. [8]

      NOIROJ K, INTARAPONG P, LUENGNARUEMITCHAI A, SAMAI J I. A comparative study of KOH/Al2O3 and KOH/NaY catalysts for biodiesel production via transesterification from palm oil[J]. Renew Energy, 2009,34(4):1145-1150. doi: 10.1016/j.renene.2008.06.015

    9. [9]

      AGARWAL M, CHAUHAN G, CHAURASIA S P, SINGH K. Study of catalytic behavior of KOH as homogeneous and heterogeneous catalyst for biodiesel production[J]. J Taiwan Inst Chem E, 2012,43(1):89-94. doi: 10.1016/j.jtice.2011.06.003

    10. [10]

      ZHU J H, CHUN Y, QIN Y, XU Q H. An investigation of KF modification to generate strong basic sites on NaY zeolite[J]. Microporous Mesoporous Mater, 1998,24(1/3):19-28.  

    11. [11]

      BENJAPORNKULAPHONG S, NGAMCHARUSSRIVICHAI C, BUNYAKIAT K. Al2O3-supported alkali and alkali earth metal oxides for transesterification of palm kernel oil and coconut oil[J]. Chem Eng J, 2009,145(3):468-474. doi: 10.1016/j.cej.2008.04.036

    12. [12]

      MA H, LI S, WANG B, WANG R, TIAN S. Transesterification of rapeseed oil for synthesizing biodiesel by K/KOH/-Al2O3 as heterogeneous base catalyst[J]. J Am Oil Chem Soc, 2008,85(3):263-270. doi: 10.1007/s11746-007-1188-4

    13. [13]

      ZHU J H, WANG Y, CHUN Y, WANG X S. Dispersion of potassium nitrate and the resulting basicity on alumina and zeolite NaY[J]. J Chem Soc Faraday T, 1998,94(8):1163-1169. doi: 10.1039/a708070k

    14. [14]

      ZHU Hua-ping, WU Zong-bin, CHEN Yuan-xiong, ZHANG Ping, DUAN Shi-jie, LIU Xiao-hua, MAO Zong-qiang. Preparation of biodiesel catalyzed by solid super base of calcium oxide and its refining process[J]. Chin J Catal, 2006,27(5):391-396. doi: 10.3321/j.issn:0253-9837.2006.05.007

    15. [15]

      ZHU Jian-hua, WANG Ying. Basic properties of new solid strong bases derived from Al2O3 supported KNO3[J]. Chin J Catal, 1997,18(6):498-502.  

    16. [16]

      NING Yong-cheng. Structure Identification and Organic Spectroscopy of Organic Compound[M]. Beijing:Science Press, 2014.

    17. [17]

      WU W, ZHU M, ZHANG D. An experimental and kinetic study of canola oil transesterification catalyzed by mesoporous alumina supported potassium[J]. Appl Catal A:Gen, 2017,530:166-173. doi: 10.1016/j.apcata.2016.11.029

    18. [18]

      WU Mou-cheng. Biodiesel[M]. Beijing:Chemical Industry Press, 2008.

  • 加载中
    1. [1]

      Yanxi LIUMengjia XUHaonan CHENQuan LIUYuming ZHANG . A fluorescent-colorimetric probe for peroxynitrite-anion-imaging in living cells. Chinese Journal of Inorganic Chemistry, 2025, 41(6): 1112-1122. doi: 10.11862/CJIC.20240423

    2. [2]

      Qian Huang Zhaowei Li Jianing Zhao Ao Yu . Quantum Chemical Calculations Reveal the Details Below the Experimental Phenomenon. University Chemistry, 2024, 39(3): 395-400. doi: 10.3866/PKU.DXHX202309018

    3. [3]

      Jia-He Li Yu-Ze Liu Jia-Hui Ma Qing-Xiao Tong Jian-Ji Zhong Jing-Xin Jian . 洛芬碱衍生物的合成、化学发光与重金属离子检测. University Chemistry, 2025, 40(6): 230-237. doi: 10.12461/PKU.DXHX202407080

    4. [4]

      Ling WANGWeipeng YANZhuoyi ZHENGSihan ZHUMingxian GONGXiangyu MA . Fabrication of biochar-supported nano zero-valent iron and its high-efficiency performance for Cr(Ⅵ) removal from wastewater. Chinese Journal of Inorganic Chemistry, 2025, 41(12): 2441-2454. doi: 10.11862/CJIC.20250264

    5. [5]

      Xin MAYa SUNNa SUNQian KANGJiajia ZHANGRuitao ZHUXiaoli GAO . A Tb2 complex based on polydentate Schiff base: Crystal structure, fluorescence properties, and biological activity. Chinese Journal of Inorganic Chemistry, 2024, 40(7): 1347-1356. doi: 10.11862/CJIC.20230357

    6. [6]

      Jinlong YANWeina WUYuan WANG . A simple Schiff base probe for the fluorescent turn-on detection of hypochlorite and its biological imaging application. Chinese Journal of Inorganic Chemistry, 2024, 40(9): 1653-1660. doi: 10.11862/CJIC.20240154

    7. [7]

      Yurong Tang Yunren Shi Yi Xu Bo Qin Yanqin Xu Yunfei Cai . Innovative Experiment and Course Transformation Practice of Visible-Light-Mediated Photocatalytic Synthesis of Isoquinolinone. University Chemistry, 2024, 39(5): 296-306. doi: 10.3866/PKU.DXHX202311087

    8. [8]

      Bin SUNHeyan JIANG . Glucose-modified bis-Schiff bases: Synthesis and bio-activities in Alzheimer′s disease therapy. Chinese Journal of Inorganic Chemistry, 2025, 41(7): 1338-1350. doi: 10.11862/CJIC.20240428

    9. [9]

      Kun Li Na Gao Shuangyan Huan Yuzhi Wang . Design of Ideological and Political Education for the Experiment of Detecting Cadmium with Anodic Stripping Voltammetry. University Chemistry, 2024, 39(2): 155-161. doi: 10.3866/PKU.DXHX202307068

    10. [10]

      Yukai Jiang Yihan Wang Yunkai Zhang Yunping Wei Ying Ma Na Du . Characterization and Phase Diagram of Surfactant Lyotropic Liquid Crystal. University Chemistry, 2024, 39(4): 114-118. doi: 10.3866/PKU.DXHX202309033

    11. [11]

      Qijin Mo Meifang Zhuo Zhiyi Zhong Chunfang Gan Lixia Zhang . Research-Oriented Experimental Teaching in Chemistry Education at Normal University: Taking the Project of Recovering Silver Nitrate from Silver-Containing Waste as an Example. University Chemistry, 2024, 39(6): 201-206. doi: 10.3866/PKU.DXHX202310099

    12. [12]

      Shuting KONGFengshi ZHANGZhiyi LUYanling LIUMinglang YEZhengfang HULongsheng WANGBing HUHaiying WANG . Research advance of the preparation of tributyl citrate catalyzed by supported heteropolyacid catalysts. Chinese Journal of Inorganic Chemistry, 2026, 42(3): 441-452. doi: 10.11862/CJIC.20250303

    13. [13]

      Jianan Fang Youhao Gu Zexuan Gui Laiying Zhang Jiawei Yan Ruming Yuan Xiaoming Xu . Experimental Improvement and Expansion of the Electromotive Force Method to Determine the Mean Activity Coefficient of Electrolyte Solution. University Chemistry, 2025, 40(11): 263-271. doi: 10.12461/PKU.DXHX202504055

    14. [14]

      Yuanqingshan Yuan Rui Li Weiguang Zhao . The Science behind Milky White Lamb Soup: Exploring Colloidal Chemistry in Traditional Cooking. University Chemistry, 2026, 41(2): 314-322. doi: 10.12461/PKU.DXHX202503017

    15. [15]

      Yikai WangXiaolin JiangHaoming SongNan WeiYifan WangXinjun XuCuihong LiHao LuYahui LiuZhishan Bo . Thickness-Insensitive, Cyano-Modified Perylene Diimide Derivative as a Cathode Interlayer Material for High-Efficiency Organic Solar Cells. Acta Physico-Chimica Sinica, 2025, 41(3): 100027-0. doi: 10.3866/PKU.WHXB202406007

    16. [16]

      Tao XuWei SunTianci KongJie ZhouYitai Qian . Stable Graphite Interface for Potassium Ion Battery Achieving Ultralong Cycling Performance. Acta Physico-Chimica Sinica, 2024, 40(2): 2303021-0. doi: 10.3866/PKU.WHXB202303021

    17. [17]

      Haiqiang Lin Weizheng Weng Jingdong Lin Mingshu Chen Xueming Fang Lefu Yang . Diverse Variables-Driven Catalytic Optimization: Experimental Enhancement and Instructional Design for Selective Methane Oxidation on Supported Nickel-based Catalysts. University Chemistry, 2025, 40(11): 327-336. doi: 10.12461/PKU.DXHX202505106

    18. [18]

      Zimo Shen Tongwei Zhang Zhiyi Zhu Zonghao Gong Qing Feng Jinyi Yang Zhen Li Min Liu Wei Qi . From Alkaloid to Anticancer Agent: The Transformative Journey of Camptothecin. University Chemistry, 2025, 40(10): 161-165. doi: 10.12461/PKU.DXHX202411027

    19. [19]

      Fan YangZheng LiuDa WangKwunNam HuiYelong ZhangZhangquan Peng . Preparation and Properties of P-Bi2Te3/MXene Superstructure-based Anode for Potassium-Ion Battery. Acta Physico-Chimica Sinica, 2024, 40(2): 2303006-0. doi: 10.3866/PKU.WHXB202303006

    20. [20]

      . . Chinese Journal of Inorganic Chemistry, 2024, 40(12): 0-0.

Metrics
  • PDF Downloads(8)
  • Abstract views(2072)
  • HTML views(348)

通讯作者: 陈斌, bchen63@163.com
  • 1. 

    沈阳化工大学材料科学与工程学院 沈阳 110142

  1. 本站搜索
  2. 百度学术搜索
  3. 万方数据库搜索
  4. CNKI搜索
Address:Zhongguancun North First Street 2,100190 Beijing, PR China Tel: +86-010-82449177-888
Powered By info@rhhz.net

/

DownLoad:  Full-Size Img  PowerPoint
Return