Citation: Zhang Ping, Peng Peng, Hou Bingbing, Ma Huiting, Zhai Cuiping. Studies on the Interactions of Glucose and Inositol with Ascorbic Acid[J]. Chemistry, ;2018, 81(3): 258-266. shu

Studies on the Interactions of Glucose and Inositol with Ascorbic Acid

  • Corresponding author: Zhai Cuiping, zhaicuiping@henu.edu.cn
  • Received Date: 19 October 2017
    Accepted Date: 12 December 2017

Figures(10)

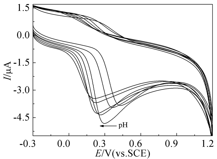
  • The interactions of glucose and inositol respectively with ascorbic acid (AA) were studied by electrochemistry, density functional theory methods and atoms in molecules analysis. The electrochemical results of the two mixed systems in aqueous solution and phosphate buffer saline (PBS) solution showed that the hydrogen atoms on the enediol of AA can form hydrogen bonds with the oxygen atoms on hydroxyl of glucose/inositol, making the electro-oxidation reaction of AA more difficult, which is further confirmed by quantum chemical calculation.
  • 加载中
    1. [1]

      J Du, J J Cullen, G R Buettner. Biochim. Biophys. Acta, 2012, 1826(2):443~457.

    2. [2]

      S J Padayatty, A Katz, Y H Wang et al. J. Am. Coll. Nutr., 2003, 22(1):18~35. 

    3. [3]

      I F Hu, T Kuwana. Anal. Chem., 1986, 58(14):3235~3239. 

    4. [4]

      J Rozgaité, A Pocius, J Kuly. J. Electroanal. Chem., 1983, 154(1-2):121~128. 

    5. [5]

      Y M Chen, H Li. J. Phys. Chem. A, 2010, 114(43):11719~11724. 

    6. [6]

      I B Afanasev, V V Grabovetskii, N S Kuprianova. J. Chem. Soc. Perk. Transac., 1987, (3):281~285.

    7. [7]

      Y Dimitrova. Spectrochim. Acta A, 2006, 63(2):427~437. 

    8. [8]

    9. [9]

      P Li, Y Z Zhai, W H Wang et al. Struct. Chem., 2011, 22(4):783~793. 

    10. [10]

      E A Kazoyan, A M Terzyan, S A Markaryan. Russ. J. Phys. Chem. A, 2011, 85(4):612~616. 

    11. [11]

      N Niazazari, A L Zatikyan, S A Markarian. Spectrochim. Acta A, 2013, 110:217~225. 

    12. [12]

      D Martín-Yerga, J Carrasco-Rodríguez, J L G Fierro et al. Electrochim. Acta, 2017, 229:102~111. 

    13. [13]

      S Sharma, M Goodarzi, J Delanghe et al. Appl. Spectrosc., 2014, 68(4):398~405. 

    14. [14]

      G M Steil, K Rebrin, J Mastrototaro et al. Diabetes Technol. The., 2003, 5(1):27~31. 

    15. [15]

      A I Gopalan, N Muthuchamy, S Komathi et al. Biosens. Bioelectron., 2016, 84:53~63. 

    16. [16]

      C P Zhai, F Sun, P Zhang et al. J. Mol. Liq., 2016, 223:420~426. 

    17. [17]

      M Rahimi-Nasrabadi, F Mizani, M Hosseini et al. Spectrochim. Acta A, 2017, 186:82~88. 

    18. [18]

      E Fisher, S V McLennan, H Tada et al. Diabetes, 1991, 40(3):371~376. 

    19. [19]

      J J Li, H Q An, J Zhu et al. Sens. Actuat. B, 2016, 235:663~669. 

    20. [20]

      P K Banipal, M Sharma, N Aggarwal et al. J. Chem. Thermodyn., 2016, 102:322~332. 

    21. [21]

       

    22. [22]

      S P Jengathe, S S Dhondge, L J Paliwal et al. J. Chem. Thermodyn., 2015, 87:78~87. 

    23. [23]

       

    24. [24]

      M J Frisch, G W Trucks, H B Schlegel et al. Gaussian 09, Revision D.01; Gaussian, Inc.:Wallingford, CT, 2009.

    25. [25]

    26. [26]

      T Matsui, Y Kitagawa, M Okumura et al. J. Phys. Chem. A, 2015, 119(2):369~376.

    27. [27]

       

    28. [28]

    29. [29]

       

    30. [30]

      R N Singh, V Baboo, P Rawat et al. Spectrochim. Acta A, 2012, 94:288~301. 

    31. [31]

      U Koch, P L A Popelier. J. Phys. Chem., 1995, 99(24):9747~9754. 

    32. [32]

      M Zahedi-Tabrizi, F Ektefa. Monatshefte für Chemie-Chemical Monthly, 2015, 146(11):1837~1843. 

    33. [33]

      I Rozas, I Alkorta, J Elguero. J. Am. Chem. Soc., 2000, 122:11154~11161. 

  • 加载中
    1. [1]

      Huiying Xu Minghui Liang Zhi Zhou Hui Gao Wei Yi . Application of Quantum Chemistry Computation and Visual Analysis in Teaching of Weak Interactions. University Chemistry, 2025, 40(3): 199-205. doi: 10.12461/PKU.DXHX202407011

    2. [2]

      Xueli Mu Lingli Han Tao Liu . Quantum Chemical Calculation Study on the E2 Elimination Reaction of Halohydrocarbon: Designing a Computational Chemistry Experiment. University Chemistry, 2025, 40(3): 68-75. doi: 10.12461/PKU.DXHX202404057

    3. [3]

      Aili Feng Xin Lu Peng Liu Dongju Zhang . Computational Chemistry Study of Acid-Catalyzed Esterification Reactions between Carboxylic Acids and Alcohols. University Chemistry, 2025, 40(3): 92-99. doi: 10.12461/PKU.DXHX202405072

    4. [4]

      Zihan Lin Wanzhen Lin Fa-Jie Chen . Electrochemical Modifications of Native Peptides. University Chemistry, 2025, 40(3): 318-327. doi: 10.12461/PKU.DXHX202406089

    5. [5]

      Bin SUNHeyan JIANG . Glucose-modified bis-Schiff bases: Synthesis and bio-activities in Alzheimer′s disease therapy. Chinese Journal of Inorganic Chemistry, 2025, 41(7): 1338-1350. doi: 10.11862/CJIC.20240428

    6. [6]

      Xuefei Zhao Xuhong Hu Zhenhua Jia . 理论与计算化学在傅-克烷基化反应教学中的应用. University Chemistry, 2025, 40(8): 360-367. doi: 10.12461/PKU.DXHX202410008

    7. [7]

      Cen Zhou Biqiong Hong Yiting Chen . Application of Electrochemical Techniques in Supramolecular Chemistry. University Chemistry, 2025, 40(3): 308-317. doi: 10.12461/PKU.DXHX202406086

    8. [8]

      Yongming Zhu Huili Hu Yuanchun Yu Xudong Li Peng Gao . Construction and Practice on New Form Stereoscopic Textbook of Electrochemistry for Energy Storage Science and Engineering: Taking Basic Course of Electrochemistry as an Example. University Chemistry, 2024, 39(8): 44-47. doi: 10.3866/PKU.DXHX202312086

    9. [9]

      Yongjian Zhang Fangling Gao Hong Yan Keyin Ye . Electrochemical Transformation of Organosulfur Compounds. University Chemistry, 2025, 40(5): 311-317. doi: 10.12461/PKU.DXHX202407035

    10. [10]

      Tinghui ANDong XIANGJiaqi LIJiawei WANGShuming YUNan WANGKedi CAI . Research progress on the application of laser synthesis technology for electrochemical functional materials. Chinese Journal of Inorganic Chemistry, 2025, 41(9): 1731-1754. doi: 10.11862/CJIC.20240412

    11. [11]

      Linbao Zhang Weisi Guo Shuwen Wang Ran Song Ming Li . Electrochemical Oxidation of Sulfides to Sulfoxides. University Chemistry, 2024, 39(11): 204-209. doi: 10.3866/PKU.DXHX202401009

    12. [12]

      Zhaoyu WenNa HanYanguang Li . Recent Progress towards the Production of H2O2 by Electrochemical Two-Electron Oxygen Reduction Reaction. Acta Physico-Chimica Sinica, 2024, 40(2): 2304001-0. doi: 10.3866/PKU.WHXB202304001

    13. [13]

      Feng Lin Zhongxin Jin Caiying Li Cheng Shao Yang Xu Fangze Li Siqi Liu Ruining Gu . Preparation and Electrochemical Properties of Nickel Foam-Supported Ni(OH)2-NiMoO4 Electrode Material. University Chemistry, 2025, 40(10): 225-232. doi: 10.12461/PKU.DXHX202412017

    14. [14]

      Shuhui Li Rongxiuyuan Huang Yingming Pan . Electrochemical Synthesis of 2,5-Diphenyl-1,3,4-Oxadiazole: A Recommended Comprehensive Organic Chemistry Experiment. University Chemistry, 2025, 40(5): 357-365. doi: 10.12461/PKU.DXHX202407028

    15. [15]

      Hongyi LIAimin WULiuyang ZHAOXinpeng LIUFengqin CHENAikui LIHao HUANG . Effect of Y(PO3)3 double-coating modification on the electrochemical properties of Li[Ni0.8Co0.15Al0.05]O2. Chinese Journal of Inorganic Chemistry, 2024, 40(7): 1320-1328. doi: 10.11862/CJIC.20230480

    16. [16]

      Jianfeng Yan Yating Xiao Xin Zuo Caixia Lin Yaofeng Yuan . Comprehensive Chemistry Experimental Design of Ferrocenylphenyl Derivatives. University Chemistry, 2024, 39(4): 329-337. doi: 10.3866/PKU.DXHX202310005

    17. [17]

      Supin Zhao Jing Xie . Understanding the Vibrational Stark Effect of Water Molecules Using Quantum Chemistry Calculations. University Chemistry, 2025, 40(3): 178-185. doi: 10.12461/PKU.DXHX202406024

    18. [18]

      Yanan Jiang Yuchen Ma . Brief Discussion on the Electronic Exchange Interaction in Quantum Chemistry Computations. University Chemistry, 2025, 40(3): 10-15. doi: 10.12461/PKU.DXHX202402058

    19. [19]

      Chuanming GUOKaiyang ZHANGYun WURui YAOQiang ZHAOJinping LIGuang LIU . Performance of MnO2-0.39IrOx composite oxides for water oxidation reaction in acidic media. Chinese Journal of Inorganic Chemistry, 2024, 40(6): 1135-1142. doi: 10.11862/CJIC.20230459

    20. [20]

      Zhaoyue Lü Zhehao Chen Yi Ni Duanbin Luo Xianfeng Hong . Multi-Level Teaching Design and Practice Exploration of Raman Spectroscopy Experiment. University Chemistry, 2024, 39(11): 304-312. doi: 10.12461/PKU.DXHX202402047

Metrics
  • PDF Downloads(5)
  • Abstract views(2342)
  • HTML views(922)

通讯作者: 陈斌, bchen63@163.com
  • 1. 

    沈阳化工大学材料科学与工程学院 沈阳 110142

  1. 本站搜索
  2. 百度学术搜索
  3. 万方数据库搜索
  4. CNKI搜索
Address:Zhongguancun North First Street 2,100190 Beijing, PR China Tel: +86-010-82449177-888
Powered By info@rhhz.net

/

DownLoad:  Full-Size Img  PowerPoint
Return