Citation: ZHANG Yan-jie, CHEN Chong-qi, ZHAN Ying-ying, YE Yuan-song, LOU Ben-yong, ZHENG Guo-cai, LIN Qi. CuO/ZrO2 catalysts for the production of H2 through the water-gas shift reaction: Effect of calcination temperature of ZrO2[J]. Journal of Fuel Chemistry and Technology, ;2019, 47(4): 464-473. shu

CuO/ZrO2 catalysts for the production of H2 through the water-gas shift reaction: Effect of calcination temperature of ZrO2

  • Corresponding author: ZHANG Yan-jie, yanjiezhang@mju.edu.cn LIN Qi, qlin1990@163.com
  • Received Date: 17 December 2018
    Revised Date: 27 December 2018

    Fund Project: Natural Science Foundation of Fujian Province 2017J01584Project for Outstanding Young Talents of Fujian Provincial Universities 2016Natural Science Foundation of Fujian Province 2017J05025JK Project of the Education Department of Fujian Province JK2015038the National Natural Science Foundation of China 21503105Scientific Research Foundation from Minjiang University MJY17003The project was supported by the National Natural Science Foundation of China (21503105), Natural Science Foundation of Fujian Province (2017J05025, 2017J01584), Project for Outstanding Young Talents of Fujian Provincial Universities (2016), JK Project of the Education Department of Fujian Province (JK2015038) and Scientific Research Foundation from Minjiang University (MJY17003)

Figures(7)

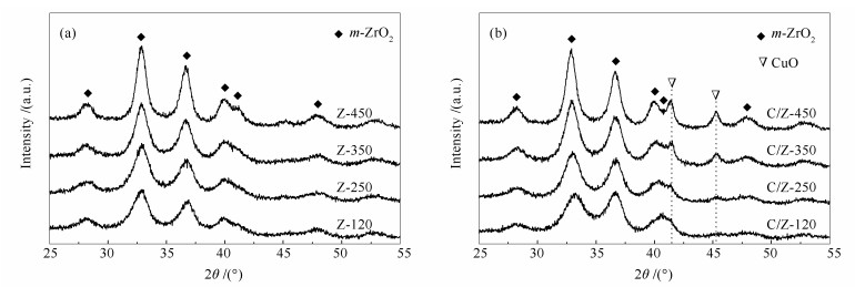
  • A series of CuO/ZrO2 catalysts were prepared by a deposition-precipitation method using ZrO2 calcined at various temperatures (120, 250, 350 and 450℃) as supports. The water-gas shift (WGS) reaction was carried out on these catalysts using H2 rich reactant gas (15% CO, 55% H2, 23% N2, 7% CO2). It was shown that the catalytic activity of the catalysts increased at first and then decreased with increasing calcination temperature of ZrO2. The catalyst supported on ZrO2 calcined at 250℃ showed the highest catalytic activity. The structure and reducibility of CuO/ZrO2 catalysts were studied by various techniques, such as XRD, N2-physisorption, N2O titration, H2-TPR and CO-TPR-MS. The results show that the Cu dispersion and the proportion of catalytically active Cu-[O]-Zr species ("[]" represents an oxygen vacancy on ZrO2 support) decrease with the increase of ZrO2 calcination temperature. The calcination of ZrO2 at higher temperature leads to an improvement of the reducibility of Cu-[O]-Zr species and hydroxyl groups on the CuO/ZrO2 catalysts, resulting in an easier onset of the surface WGS reaction between surface hydroxyl groups and CO reductant. The two factors reach a balance for the catalyst supported on ZrO2 calcined at 250℃ (moderate temperature), as is thought to be responsible for the highest WGS activity of this catalyst.
  • 加载中
    1. [1]

      LEVALLEY T L, RICHARD A R, FAN M. The progress in water gas shift and steam reforming hydrogen production technologies-A review[J]. Int J Hydrogen Energy, 2014,39(30):16983-17000. doi: 10.1016/j.ijhydene.2014.08.041

    2. [2]

      YAO S, ZHANG X, ZHOU W, GAO R, XU W, YE Y, LIN L, WEN X, LIU P, CHEN B, CRUMLIN E, GUO J, ZUO Z, LI W, XIE J, LU L, KIELY C J, GU L, SHI C, RODRIGUEZ J A, MA D. Atomic-layered Au clusters on α-MoC as catalysts for the low-temperature water-gas shift reaction[J]. Science, 2017,357(6349):389-393. doi: 10.1126/science.aah4321

    3. [3]

      STERE C E, ANDERSON J A, CHANSAI S, DELGADO J J, GOGUET A, GRAHAM W G, HARDACRE C, TAYLOR S F R, TU X, WANG Z Y, YANG H. Non-thermal plasma activation of gold-based catalysts for low-temperature water-gas shift catalysis[J]. Angew Chem Int Ed, 2017,56(20):5579-5583. doi: 10.1002/anie.201612370

    4. [4]

      PAL D B, CHAND R, UPADHYAY S N, MISHRA P K. Performance of water gas shift reaction catalysts:A review[J]. Renewable Sustainable Energy Rev, 2018,93:549-565. doi: 10.1016/j.rser.2018.05.003

    5. [5]

      ABDEL-MAGEED A M, KUCEROVA G, BANSMANN J, BEHM R J. Active Au species during the low-temperature water gas shift reaction on Au/CeO2:A time-resolved operando XAS and DRIFTS study[J]. ACS Catal, 2017,7(10):6471-6484. doi: 10.1021/acscatal.7b01563

    6. [6]

      PALMA V, PISANO D, MARTINO M. Structured noble metal-based catalysts for the WGS process intensification[J]. Int J Hydrogen Energy, 2018,43(26):11745-11754. doi: 10.1016/j.ijhydene.2018.01.085

    7. [7]

      AMMAL S C, HEYDEN A. Water-gas shift activity of atomically dispersed cationic platinum versus metallic platinum clusters on titania supports[J]. ACS Catal, 2017,7(1):301-309. doi: 10.1021/acscatal.6b02764

    8. [8]

      GUAN H L, LIN J, QIAO B T, MIAO S, WANG A Q, WANG X D, ZHANG T. Enhanced performance of Rh1/TiO2 catalyst without methanation in water-gas shift reaction[J]. AIChE J, 2017,63(6):2081-2088. doi: 10.1002/aic.v63.6

    9. [9]

      MA Y J, LIU B, JING M M, ZHANG R Y, CHEN J Y, ZHANG Y H, LI J L. Promoted potassium salts based Ru/AC catalysts for water gas shift reaction[J]. Chem Eng J, 2016,287:155-161. doi: 10.1016/j.cej.2015.10.119

    10. [10]

      LIN J, WANG A Q, QIAO B T, LIU X Y, YANG X F, WANG X D, LIANG J X, LI J X, LIU J Y, ZHANG T. Remarkable performance of Ir1/FeOx single-atom catalyst in water gas shift reaction[J]. J Am Chem Soc, 2013,135(41):15314-15317. doi: 10.1021/ja408574m

    11. [11]

      XU M, YAO S, RAO D, NIU Y, LIU N, PENG M, ZHAI P, MAN Y, ZHENG L, WANG B, ZHANG B, MA D, WEI M. Insights into interfacial synergistic catalysis over Ni@TiO2-x catalyst toward water-gas shift reaction[J]. J Am Chem Soc, 2018,140(36):11241-11251. doi: 10.1021/jacs.8b03117

    12. [12]

      ZHANG Z, WANG S S, SONG R, CAO T, LUO L, CHEN X, GAO Y, LU J, LI W X, HUANG W. The most active Cu facet for low-temperature water gas shift reaction[J]. Nat Commun, 2017,8488. doi: 10.1038/s41467-017-00620-6

    13. [13]

      YAN H, QIN X T, YIN Y, TENG Y F, JIN Z, JIA C J. Promoted Cu-Fe3O4 catalysts for low-temperature water gas shift reaction:Optimization of Cu content[J]. Appl Catal B:Environ, 2018,226:182-193. doi: 10.1016/j.apcatb.2017.12.050

    14. [14]

      CHEN C, ZHAN Y, LI D, ZHANG Y, LIN X, JIANG L, ZHENG Q. Preparation of CuO/CeO2 catalyst with enhanced catalytic performance for water-gas shift reaction in hydrogen production[J]. Energy Technol, 2018,6(6):1096-1103. doi: 10.1002/ente.201700750

    15. [15]

      CHEN C, ZHAN Y, ZHOU J, LI D, ZHANG Y, LIN X, JIANG L, ZHENG Q. Cu/CeO2 catalyst for water-gas shift reaction:Effect of CeO2 pretreatment[J]. ChemPhysChem, 2018,19(12):1448-1455. doi: 10.1002/cphc.v19.12

    16. [16]

      MA Y J, LIU B, OUYANG B, LI J L. Production of hydrogen from water-gas shift reaction over Ru-[J]. Int J Hydrogen Energy, 2017,42(7):4146-4154. doi: 10.1016/j.ijhydene.2016.10.111

    17. [17]

      LI J, TA N, SONG W, ZHAN E, SHEN W. Au/ZrO2 catalysts for low-temperature water gas shift reaction:Influence of particle sizes[J]. Gold Bull, 2009,42(1):48-60. doi: 10.1007/BF03214905

    18. [18]

      CERÍN M L, HERRERA B, ARAYA P, GRACIA F, TORO-LABBÉ A. Influence of the monoclinic and tetragonal zirconia phases on the water gas shift reaction. A theoretical study[J]. J Mol Model, 2013,19(7):2885-2891. doi: 10.1007/s00894-012-1706-7

    19. [19]

      KOUVA S, HONKALA K, LEFFERTS L, KANERVO J. Review:Monoclinic zirconia, its surface sites and their interaction with carbon monoxide[J]. Catal Sci Technol, 2015,5:3473-3490. doi: 10.1039/C5CY00330J

    20. [20]

      KAUPPIK E I, HONKALA K, KRAUSE A O I, KANERVO J M, LEFFERTS L. ZrO2 acting as a redox catalyst[J]. Top Catal, 2016,59(8/9):823-832.  

    21. [21]

      DOW W P, HUANG T J. Effects of oxygen vacancy of yttria-stabilized zirconia support on carbon monoxide oxidation over copper catalyst[J]. J Catal, 1994,147(1):322-332. doi: 10.1006/jcat.1994.1143

    22. [22]

      KO J B, BAE C M, JUNG Y S, KIM D H. Cu-ZrO2 catalysts for water-gas-shift reaction at low temperatures[J]. Catal Lett, 2005,105(3/4):157-161.  

    23. [23]

      CHEN C, RUAN C, ZHAN Y, LIN X, ZHENG Q, WEI K. The significant role of oxygen vacancy in Cu/ZrO2 catalyst for enhancing water-gas-shift performance[J]. Int J Hydrogen Energy, 2014,39(1):317-324. doi: 10.1016/j.ijhydene.2013.10.074

    24. [24]

      AGUILA G, VALENZUELA A, GUERRERO S, ARAY P. WGS activity of a novel Cu-ZrO2 catalyst prepared by a reflux method. Comparison with a conventional impregnation method[J]. Catal Commun, 2013,39:82-85. doi: 10.1016/j.catcom.2013.05.007

    25. [25]

      TANG Q L, LIU Z P. Identification of the active Cu phase in the water-gas shift reaction over Cu/ZrO2 from first principles[J]. J Phys Chem C, 2010,114(18):8423-8430. doi: 10.1021/jp100864j

    26. [26]

      ZHANG Yan-jie, CHEN Chong-qi, ZHAN Ying-ying, LIN Qi, LOU Ben-yong, ZHENG Guo-cai, ZHENG Qi. Highly active Y-promoted CuO/ZrO2 catalysts for the production of hydrogen through water-gas shift reaction[J]. J Fuel Chem Technol, 2017,45(9):1137-1145. doi: 10.3969/j.issn.0253-2409.2017.09.015 

    27. [27]

      SONG L, CAO X B, LI L. Engineering stable surface oxygen vacancies on ZrO2 by hydrogen-etching technology:An efficient support of gold catalysts for water-gas shift reaction[J]. ACS Appl Mater Interfaces, 2018,10(37):31249-31259. doi: 10.1021/acsami.8b07007

    28. [28]

      ZHANG Y, ZHAN Y, CHEN C, CAO Y, LIN X, ZHENG Q. Highly efficient Au/ZrO2 catalysts for low-temperature water-gas shift reaction:Effect of pre-calcination temperature of ZrO2[J]. Int J Hydrogen Energy, 2012,37(17):12292-12300. doi: 10.1016/j.ijhydene.2012.06.025

    29. [29]

      ZHANG Y, CHEN C, LIN X, LI D, CHEN X, ZHAN Y, ZHENG Q. CuO/ZrO2 catalysts for water-gas shift reaction:Nature of catalytically active copper species[J]. Int J Hydrogen Energy, 2014,39(8):3746-3754. doi: 10.1016/j.ijhydene.2013.12.161

    30. [30]

      ZOU Z Q, MENG M, GUO L H, ZHA Y Q. Synthesis and characterization of CuO/Ce1-xTixO2 catalysts used for low-temperature CO oxidation[J]. J Hazard Mater, 2009,163(2/3):835-842.

    31. [31]

      JACKSON S D, HARGREAVES J S J. Metal oxide catalysis (Vol.2)[M]. Weinheim:Wiley-VCH Verlag GmbH & Co. KGaA, 2009.

    32. [32]

      KWAK J H, HU J, MEI D, YI C, KIM D H, PEDEN C H F, ALLARD L F, SZANYI J. Coordinatively unsaturated Al3+ centers as binding sites for active catalyst phases of platinum on gamma-Al2O3[J]. Science, 2009,325(5948):1670-1673. doi: 10.1126/science.1176745

    33. [33]

      SING K S W, EVERETT D H, HAUL R A W, MOSCOU L, PIEROTTI R A, ROUQUÉROL J, SIEMIENIEWSKA T. Reporting physisorption date for gas/solid systems with special reference to the determination of surface area and porosity[J]. Pure Appl Chem, 1985,57(4):603-619. doi: 10.1351/pac198557040603

    34. [34]

      WITOON T, CHALORNGTHAM J, DUMRONGBUNDITKUL P, CHAREONPANICH M, LIMTRAKUL J. CO2 hydrogenation to methanol over Cu/ZrO2 catalysts:Effects of zirconia phases[J]. Chem Eng J, 2016,293:327-336. doi: 10.1016/j.cej.2016.02.069

    35. [35]

      HEEMEIER M, FRANK M, LIBUDA J, WOLTER K, KUHLENBECK H, BAUMER M, FREUND H J. The influence of OH groups on the growth of rhodium on alumina:A model study[J]. Catal Lett, 2000,68(1/2):19-24. doi: 10.1023/A:1019058714724

    36. [36]

      ZHANG X, SHI H, XU B. Vital roles of hydroxyl groups and gold oxidation states in Au/ZrO2 catalysts for 1, 3-butadiene hydrogenation[J]. J Catal, 2011,279(1):75-87. doi: 10.1016/j.jcat.2011.01.002

    37. [37]

      ZHAI Y, PIERRE D, SI R, DENG W, FERRIN P, NILEKAR A U, PENG G, HERRON J A, BELL D C, SALTSBURG H, FLYTZANI-STEPHANOPOULOS M. Alkali-stabilized Pt-OHx species catalyze low-temperature water-gas shift reactions[J]. Science, 2010,329(5999):1633-1636. doi: 10.1126/science.1192449

    38. [38]

      SI R, RAITANO J, YI N, ZHANG L, CHAN S, FLYTZANI-STEPHANOPOULOS M. Structure sensitivity of the low-temperature water-gas shift reaction on Cu-CeO2 catalysts[J]. Catal Today, 2012,180(1):68-80. doi: 10.1016/j.cattod.2011.09.008

  • 加载中
    1. [1]

      Shiqi PengYongfang RaoTan LiYufei ZhangJun-ji CaoShuncheng LeeYu Huang . Regulating the electronic structure of Ir single atoms by ZrO2 nanoparticles for enhanced catalytic oxidation of formaldehyde at room temperature. Chinese Chemical Letters, 2024, 35(7): 109219-. doi: 10.1016/j.cclet.2023.109219

    2. [2]

      Kun WANGWenrui LIUPeng JIANGYuhang SONGLihua CHENZhao DENG . Hierarchical hollow structured BiOBr-Pt catalysts for photocatalytic CO2 reduction. Chinese Journal of Inorganic Chemistry, 2024, 40(7): 1270-1278. doi: 10.11862/CJIC.20240037

    3. [3]

      Xueting FengZiang ShangRong QinYunhu Han . Advances in Single-Atom Catalysts for Electrocatalytic CO2 Reduction. Acta Physico-Chimica Sinica, 2024, 40(4): 2305005-0. doi: 10.3866/PKU.WHXB202305005

    4. [4]

      Yulian Hu Xin Zhou Xiaojun Han . A Virtual Simulation Experiment on the Design and Property Analysis of CO2 Reduction Photocatalyst. University Chemistry, 2025, 40(3): 30-35. doi: 10.12461/PKU.DXHX202403088

    5. [5]

      Ruizhi DuanXiaomei WangPanwang ZhouYang LiuCan Li . The role of hydroxyl species in the alkaline hydrogen evolution reaction over transition metal surfaces. Acta Physico-Chimica Sinica, 2025, 41(9): 100111-0. doi: 10.1016/j.actphy.2025.100111

    6. [6]

      Yi YANGShuang WANGWendan WANGLimiao CHEN . Photocatalytic CO2 reduction performance of Z-scheme Ag-Cu2O/BiVO4 photocatalyst. Chinese Journal of Inorganic Chemistry, 2024, 40(5): 895-906. doi: 10.11862/CJIC.20230434

    7. [7]

      Haoyu SunDun LiYuanyuan MinYingying WangYanyun MaYiqun ZhengHongwen Huang . Hierarchical Palladium-Copper-Silver Porous Nanoflowers as Efficient Electrocatalysts for CO2 Reduction to C2+ Products. Acta Physico-Chimica Sinica, 2024, 40(6): 2307007-0. doi: 10.3866/PKU.WHXB202307007

    8. [8]

      Wenlong LIXinyu JIAJie LINGMengdan MAAnning ZHOU . Photothermal catalytic CO2 hydrogenation over a Mg-doped In2O3-x catalyst. Chinese Journal of Inorganic Chemistry, 2024, 40(5): 919-929. doi: 10.11862/CJIC.20230421

    9. [9]

      Zelong LIANGShijia QINPengfei GUOHang XUBin ZHAO . Synthesis and electrocatalytic CO2 reduction performance of metal-organic framework catalysts loaded with silver particles. Chinese Journal of Inorganic Chemistry, 2025, 41(1): 165-173. doi: 10.11862/CJIC.20240409

    10. [10]

      Xue DongXiaofu SunShuaiqiang JiaShitao HanDawei ZhouTing YaoMin WangMinghui FangHaihong WuBuxing Han . Electrochemical CO2 Reduction to C2+ Products with Ampere-Level Current on Carbon-Modified Copper Catalysts. Acta Physico-Chimica Sinica, 2025, 41(3): 100024-0. doi: 10.3866/PKU.WHXB202404012

    11. [11]

      Lina GuoRuizhe LiChuang SunXiaoli LuoYiqiu ShiHong YuanShuxin OuyangTierui Zhang . Effect of Interlayer Anions in Layered Double Hydroxides on the Photothermocatalytic CO2 Methanation of Derived Ni-Al2O3 Catalysts. Acta Physico-Chimica Sinica, 2025, 41(1): 100002-0. doi: 10.3866/PKU.WHXB202309002

    12. [12]

      Xiting Zhou Zhipeng Han Xinlei Zhang Shixuan Zhu Cheng Che Liang Xu Zhenyu Sun Leiduan Hao Zhiyu Yang . Dual Modulation via Ag-Doped CuO Catalyst and Iodide-Containing Electrolyte for Enhanced Electrocatalytic CO2 Reduction to Multi-Carbon Products: A Comprehensive Chemistry Experiment. University Chemistry, 2025, 40(7): 336-344. doi: 10.12461/PKU.DXHX202412070

    13. [13]

      Dong XiangKunzhen LiKanghua MiaoRan LongYujie XiongXiongwu Kang . Amine-Functionalized Copper Catalysts: Hydrogen Bonding Mediated Electrochemical CO2 Reduction to C2 Products and Superior Rechargeable Zn-CO2 Battery Performance. Acta Physico-Chimica Sinica, 2024, 40(8): 2308027-0. doi: 10.3866/PKU.WHXB202308027

    14. [14]

      Qinhui GuanYuhao GuoNa LiJing LiTingjiang Yan . Molecular sieve-mediated indium oxide catalysts for enhancing photocatalytic CO2 hydrogenation. Acta Physico-Chimica Sinica, 2025, 41(11): 100133-0. doi: 10.1016/j.actphy.2025.100133

    15. [15]

      Feifei YangWei ZhouChaoran YangTianyu ZhangYanqiang Huang . Enhanced Methanol Selectivity in CO2 Hydrogenation by Decoration of K on MoS2 Catalyst. Acta Physico-Chimica Sinica, 2024, 40(7): 2308017-0. doi: 10.3866/PKU.WHXB202308017

    16. [16]

      Yangrui XuYewei RenXinlin LiuHongping LiZiyang Lu . NH2-UIO-66 Based Hydrophobic Porous Liquid with High Mass Transfer and Affinity Surface for Enhancing CO2 Photoreduction. Acta Physico-Chimica Sinica, 2024, 40(11): 2403032-0. doi: 10.3866/PKU.WHXB202403032

    17. [17]

      Tieping CAOYuejun LIDawei SUN . Surface plasmon resonance effect enhanced photocatalytic CO2 reduction performance of S-scheme Bi2S3/TiO2 heterojunction. Chinese Journal of Inorganic Chemistry, 2025, 41(5): 903-912. doi: 10.11862/CJIC.20240366

    18. [18]

      Wen YANGDidi WANGZiyi HUANGYaping ZHOUYanyan FENG . La promoted hydrotalcite derived Ni-based catalysts: In situ preparation and CO2 methanation performance. Chinese Journal of Inorganic Chemistry, 2024, 40(3): 561-570. doi: 10.11862/CJIC.20230276

    19. [19]

      Ruolin CHENGHaoran WANGJing RENYingying MAHuagen LIANG . Efficient photocatalytic CO2 cycloaddition over W18O49/NH2-UiO-66 composite catalyst. Chinese Journal of Inorganic Chemistry, 2024, 40(3): 523-532. doi: 10.11862/CJIC.20230349

    20. [20]

      Doudou LiuWeiwei GuoGuoliang MeiYoupeng DanRong YangChao HuangYanling ZhaiXiaoquan Lu . Application of catalyst Cu-t-ZrO2 based on the electronic metal-support interaction in electrocatalytic nitrate reduction. Chinese Chemical Letters, 2025, 36(8): 110578-. doi: 10.1016/j.cclet.2024.110578

Metrics
  • PDF Downloads(13)
  • Abstract views(2148)
  • HTML views(293)

通讯作者: 陈斌, bchen63@163.com
  • 1. 

    沈阳化工大学材料科学与工程学院 沈阳 110142

  1. 本站搜索
  2. 百度学术搜索
  3. 万方数据库搜索
  4. CNKI搜索
Address:Zhongguancun North First Street 2,100190 Beijing, PR China Tel: +86-010-82449177-888
Powered By info@rhhz.net

/

DownLoad:  Full-Size Img  PowerPoint
Return