Citation: WANG Fang, WANG Xue-qin, CHENG Kai, WANG Jun-lei, SONG Hua. Effect of MoS2 loading on the photocatalytic performance of MoS2/TiO2 nanocomposites in phenol degradation and the corresponding reaction mechanism analysis[J]. Journal of Fuel Chemistry and Technology, ;2017, 45(8): 1001-1008. shu

Effect of MoS2 loading on the photocatalytic performance of MoS2/TiO2 nanocomposites in phenol degradation and the corresponding reaction mechanism analysis

  • Corresponding author: SONG Hua, songhua2004@sina.com
  • Received Date: 10 April 2017
    Revised Date: 31 May 2017

    Fund Project: The project was supported by the Province Postdoctoral Fund (LBH-Z15032) and Youth Fund of Northeast Petroleum University (NEPUBS201508)the Province Postdoctoral Fund LBH-Z15032Youth Fund of Northeast Petroleum University NEPUBS201508

Figures(9)

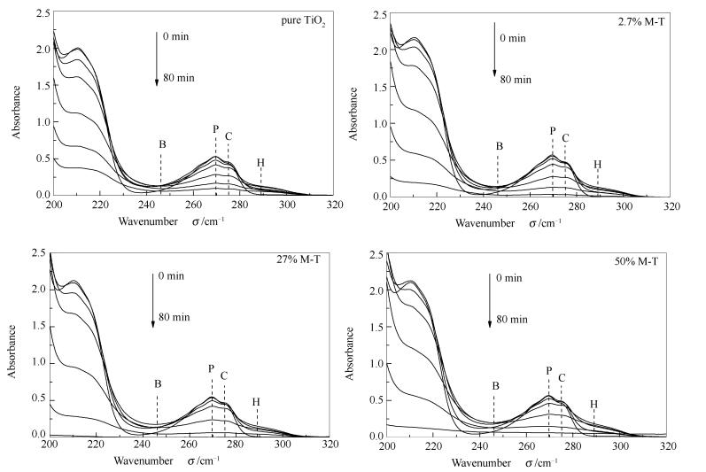
  • MoS2/TiO2 nanocomposites was prepared by mixing MoS2 with hydrothermally synthesized TiO2; the effects of MoS2 loading on the photocatalytic performance of MoS2/TiO2 in phenol degradation were investigated. The XRD, SEM, EDS, FT-IR and UV-vis DRS characterization results show that for the MoS2/TiO2 nanocomposites, lamellar MoS2 is uniformly dispersed around the TiO2 nanoparticles. The increase of MoS2 loading is beneficial to the photocatalytic degradation of phenol; with a MoS2 loading of 27%, the MoS2/TiO2 nanoparticles exhibited the highest photocatalytic activity, over which phenol can be completely degraded in 80 min. The intermediates during reaction are further tracked to investigate the reaction kinetics of photodegradation of phenol over MoS2/TiO2 nanocomposties. The results reveal that an increase in MoS2 loading is able to promote the formation of various intermediates such as benzoquinone, hydroquinone and catechol, which can further enhance the overall photodegradation efficiency.
  • 加载中
    1. [1]

      AHMED S, RASUL M G, MARTENS W N, BROWN R, HASHIB M A. Heterogeneous photocatalytic degradation of phenols in wastewater: a review on current status and developments[J]. Desalination, 2010,261(1):3-18.  

    2. [2]

      GAO F, WANG Y, SHI D, ZHANG J, WANG M, JING X, HUMPHRY-Baker R, WANG P, ZAKEERUDDIN SM, GRÄTZEL M. Enhance the optical absorptivity of nanocrystalline TiO2 film with high molar extinction coefficient ruthenium sensitizers for high performance dye-sensitized solar cells[J]. J Am Chem Soc, 2008,130(32):10720-10728. doi: 10.1021/ja801942j

    3. [3]

      WANG Guang-jian, LI Jia-jia, WU Chun-ze, WANG Fang. Study on the preparation of TiO2-Al2O3 composite support and its application in Co-Mo/TiO2-Al2O3 catalyst for hydro-desulfurization[J]. J Fuel Chem Technol, 2016,44(12):1518-1522. doi: 10.3969/j.issn.0253-2409.2016.12.016 

    4. [4]

      RIYAPAN, ZHANG, WONGKAEW, PONGTHAWORNSAKUN, MONNIER, PANPRANOT. Preparation of improved Ag-Pd/TiO2 catalysts using the combined strong electrostatic adsorption and electroless deposition methods for the selective hydrogenation of acetylene[J]. Catal Sci Technol, 2013,6(14):5608-5617.  

    5. [5]

      FEI J, LI J. Controlled preparation of porous TiO2-Ag nanostructures through supramolecular assembly for plasmon-enhanced photocatalysis[J]. Adv Mater, 2015,27(2):314-319. doi: 10.1002/adma.v27.2

    6. [6]

      WANG P, YAP P S, LIM T T. C-N-S tridoped TiO2 for photocatalytic degradation of tetracycline under visible-light irradiation[J]. Appl Catal A: Gen, 2011,399(1):252-261.  

    7. [7]

      HAO Rui-peng, YANG Peng-ju, WANG Zhi-jian, ZHU Zhen-ping. Effect of noble metals loaded TiO2 on the selectivity of photocatalytic CO2 reduction[J]. J Fuel Chem Technol, 2015,43(1):94-99.  

    8. [8]

      WEI X, SHAO C, LI X, LU N, WANG K, ZHANG Z, LIU Y. Facile in situ synthesis of plasmonicnanoparticles-decorated g-C3N4/TiO2 heterojunction nanofibers and comparison study of their photosynergistic effects for efficient photocatalytic H2 evolution[J]. Nanoscale, 2016,8(21):11034-11043. doi: 10.1039/C6NR01491G

    9. [9]

      KAYACI F, VEMPATI S, OZGIT Akgun C, DONMEZ I, BIYIKLI N, UYAR T. Selective isolation of the electron or hole in photocatalysis: ZnO-TiO2 and TiO2-ZnO core-shell structured heterojunction nanofibers via electrospinning and atomic layer deposition[J]. Nanoscale, 2014,6(11):5735-5745. doi: 10.1039/c3nr06665g

    10. [10]

      ZHENG L, HAN S, LIU H, YU P, FANG X. Hierarchical MoS2 Nanosheet@TiO2 Nanotube Array Composites with Enhanced Photocatalytic and Photocurrent Performances[J]. Small, 2016,12(11):1527-1536. doi: 10.1002/smll.v12.11

    11. [11]

      XIE J, ZHANG H, LI S, WANG R, SUN X, ZHOU M. Defect-rich MoS2 ultrathin nanosheets with additional active edge sites for enhanced electrocatalytic hydrogen evolution[J]. Adv Mater, 2013,25(40):5807-5813. doi: 10.1002/adma.v25.40

    12. [12]

      YOON Y, GANAPATHI K, SALAHUDDIN S. How good can monolayer MoS2 transistors be?[J]. Nano Lett, 2011,11(9):3768-3773. doi: 10.1021/nl2018178

    13. [13]

      BANG G S, NAM K W, KIM J Y, SHIN J, CHOU J W, CHOI S Y. Effective liquid-phase exfoliation and sodium ion battery application of MoS2 nanosheets[J]. Acs Appl Mater Inter, 2014,6(10):7084-7089. doi: 10.1021/am4060222

    14. [14]

      ZHOU K G, MAO N N, WANG H X, PENG Y, ZHANG H L. A Mixed-Solvent Strategy for Efficient Exfoliation of Inorganic Graphene Analogues[J]. Angew Chem Int Edit, 2011,123(46):11031-11034. doi: 10.1002/ange.v123.46

    15. [15]

      MA J, TAN X, YU T, LI X. Fabrication of g-C3N4/TiO2 hierarchical spheres with reactive {001} TiO2 crystal facets and its visible-light photocatalytic activity[J]. Int J Hydrogen Energ, 2016,41(6):3877-3887. doi: 10.1016/j.ijhydene.2015.12.191

    16. [16]

      WANG C, ZHU W, XU Y, XU H, ZHANG M, CHAO Y, YIN S, LI H, WANG J. Preparation of TiO2/g-C3N4 composites and their application in photocatalytic oxidative desulfurization[J]. Ceram Int, 2014,40(8):11627-11635. doi: 10.1016/j.ceramint.2014.03.156

    17. [17]

      TOBILE K. Symmetric pseudocapacitors based on molybdenum disulfide (MoS2)-modified carbon nanospheres: correlating physicochemistry and synergistic interaction on energy storage[J]. J Mater Chem A, 2016,4:6411-6425. doi: 10.1039/C6TA00114A

    18. [18]

      LI J G, ISHIGAKI T, SUN X. Anatase, brookite, and rutile nanocrystals via redox reactions under mild hydrothermal conditions: phase-selective synthesis and physicochemical properties[J]. J Phys Chem C, 2007,111(13):4969-4976. doi: 10.1021/jp0673258

    19. [19]

      ZHU Y, LING Q, LIU Y, WANG H, ZHU Y. Photocatalytic H2 evolution on MoS2-TiO2 catalysts synthesized via mechanochemistry[J]. Phys Chem Chem Phys, 2015,17(2):933-940. doi: 10.1039/C4CP04628E

    20. [20]

      WU Si-zhan. Synthesis, Processing and modification of graphitic carbon nitride with enhanced photocatalytic activity[D]. South China University Technol, 2014. 

    21. [21]

      WANG X, SØ L, REN S, WENDT S, HALD P, MAMAKHEL A. The influence of crystallite size and crystallinity of anatase nanoparticles on the photo-degradation of phenol[J]. J Catal, 2014,310:100-108. doi: 10.1016/j.jcat.2013.04.022

    22. [22]

      CHEN B, LIU E, HE F, SHI C, HE C, LI J. 2D sandwich-like carbon-coated ultrathin TiO2@defect-rich MoS2 hybrid nanosheets: Synergistic-effect-promoted electrochemical performance for lithium ion batteries[J]. Nano Energy, 2016,26:541-549. doi: 10.1016/j.nanoen.2016.06.003

  • 加载中
    1. [1]

      Bowen LiuJianjun ZhangHan LiBei ChengChuanbiao Bie . MOF-derived ZnO/PANI S-scheme heterojunction for efficient photocatalytic phenol mineralization coupled with H2O2 generation. Acta Physico-Chimica Sinica, 2025, 41(10): 100121-0. doi: 10.1016/j.actphy.2025.100121

    2. [2]

      Guoqiang ChenZixuan ZhengWei ZhongGuohong WangXinhe Wu . Molten Intermediate Transportation-Oriented Synthesis of Amino-Rich g-C3N4 Nanosheets for Efficient Photocatalytic H2O2 Production. Acta Physico-Chimica Sinica, 2024, 40(11): 2406021-0. doi: 10.3866/PKU.WHXB202406021

    3. [3]

      Xinyu YinHaiyang ShiYu WangXuefei WangPing WangHuogen Yu . Spontaneously Improved Adsorption of H2O and Its Intermediates on Electron-Deficient Mn(3+δ)+ for Efficient Photocatalytic H2O2 Production. Acta Physico-Chimica Sinica, 2024, 40(10): 2312007-0. doi: 10.3866/PKU.WHXB202312007

    4. [4]

      Yuanqing WangYusong PanHongwu ZhuYanlei XiangRong HanRun HuangChao DuChengling Pan . Enhanced Catalytic Activity of Bi2WO6 for Organic Pollutants Degradation under the Synergism between Advanced Oxidative Processes and Visible Light Irradiation. Acta Physico-Chimica Sinica, 2024, 40(4): 2304050-0. doi: 10.3866/PKU.WHXB202304050

    5. [5]

      Yuhang ZhangYi LiYuehan CaoYingjie ShuaiYu ZhouYing Zhou . Regulating the formation type by Ir of intermediates to suppress product overoxidation in photocatalytic methane conversion. Acta Physico-Chimica Sinica, 2026, 42(2): 100173-0. doi: 10.1016/j.actphy.2025.100173

    6. [6]

      Jingyu Cai Xiaoyu Miao Yulai Zhao Longqiang Xiao . Exploratory Teaching Experiment Design of FeOOH-RGO Aerogel for Photocatalytic Benzene to Phenol. University Chemistry, 2024, 39(4): 169-177. doi: 10.3866/PKU.DXHX202311028

    7. [7]

      Qin HuLiuyun ChenXinling XieZuzeng QinHongbing JiTongming Su . Construction of Electron Bridge and Activation of MoS2 Inert Basal Planes by Ni Doping for Enhancing Photocatalytic Hydrogen Evolution. Acta Physico-Chimica Sinica, 2024, 40(11): 2406024-0. doi: 10.3866/PKU.WHXB202406024

    8. [8]

      Kun WANGWenrui LIUPeng JIANGYuhang SONGLihua CHENZhao DENG . Hierarchical hollow structured BiOBr-Pt catalysts for photocatalytic CO2 reduction. Chinese Journal of Inorganic Chemistry, 2024, 40(7): 1270-1278. doi: 10.11862/CJIC.20240037

    9. [9]

      Xia ZHANGYushi BAIXi CHANGHan ZHANGHaoyu ZHANGLiman PENGShushu HUANG . Preparation and photocatalytic degradation performance of rhodamine B of BiOCl/polyaniline. Chinese Journal of Inorganic Chemistry, 2025, 41(5): 913-922. doi: 10.11862/CJIC.20240255

    10. [10]

      Qinhui GuanYuhao GuoNa LiJing LiTingjiang Yan . Molecular sieve-mediated indium oxide catalysts for enhancing photocatalytic CO2 hydrogenation. Acta Physico-Chimica Sinica, 2025, 41(11): 100133-0. doi: 10.1016/j.actphy.2025.100133

    11. [11]

      Zhuo WANGJunshan ZHANGShaoyan YANGLingyan ZHOUYedi LIYuanpei LAN . Preparation and photocatalytic performance of CeO2-reduced graphene oxide by thermal decomposition. Chinese Journal of Inorganic Chemistry, 2024, 40(9): 1708-1718. doi: 10.11862/CJIC.20240067

    12. [12]

      Xuejiao WangSuiying DongKezhen QiVadim PopkovXianglin Xiang . Photocatalytic CO2 Reduction by Modified g-C3N4. Acta Physico-Chimica Sinica, 2024, 40(12): 2408005-0. doi: 10.3866/PKU.WHXB202408005

    13. [13]

      Jianyin HeLiuyun ChenXinling XieZuzeng QinHongbing JiTongming Su . Construction of ZnCoP/CdLa2S4 Schottky Heterojunctions for Enhancing Photocatalytic Hydrogen Evolution. Acta Physico-Chimica Sinica, 2024, 40(11): 2404030-0. doi: 10.3866/PKU.WHXB202404030

    14. [14]

      Menglan WeiXiaoxia OuYimeng WangMengyuan ZhangFei TengKaixuan Wang . S-scheme heterojunction g-C3N4/Bi2WO6 highly efficient degradation of levofloxacin: performance, mechanism and degradation pathway. Acta Physico-Chimica Sinica, 2025, 41(9): 100105-0. doi: 10.1016/j.actphy.2025.100105

    15. [15]

      Ruolin CHENGHaoran WANGJing RENYingying MAHuagen LIANG . Efficient photocatalytic CO2 cycloaddition over W18O49/NH2-UiO-66 composite catalyst. Chinese Journal of Inorganic Chemistry, 2024, 40(3): 523-532. doi: 10.11862/CJIC.20230349

    16. [16]

      Yulian Hu Xin Zhou Xiaojun Han . A Virtual Simulation Experiment on the Design and Property Analysis of CO2 Reduction Photocatalyst. University Chemistry, 2025, 40(3): 30-35. doi: 10.12461/PKU.DXHX202403088

    17. [17]

      Ronghui LI . Photocatalysis performance of nitrogen-doped CeO2 thin films via ion beam-assisted deposition. Chinese Journal of Inorganic Chemistry, 2025, 41(6): 1123-1130. doi: 10.11862/CJIC.20240440

    18. [18]

      Jingjing LiuAoqi WeiHao ZhangShuwang Duo . SnS2-based heterostructures: advances in photocatalytic and gas-sensing applications. Acta Physico-Chimica Sinica, 2025, 41(12): 100185-0. doi: 10.1016/j.actphy.2025.100185

    19. [19]

      Yingqi BAIHua ZHAOHuipeng LIXinran RENJun LI . Perovskite LaCoO3/g-C3N4 heterojunction: Construction and photocatalytic degradation properties. Chinese Journal of Inorganic Chemistry, 2025, 41(3): 480-490. doi: 10.11862/CJIC.20240259

    20. [20]

      Yadan LuoHao ZhengXin LiFengmin LiHua TangXilin She . Modulating reactive oxygen species in O, S co-doped C3N4 to enhance photocatalytic degradation of microplastics. Acta Physico-Chimica Sinica, 2025, 41(6): 100052-0. doi: 10.1016/j.actphy.2025.100052

Metrics
  • PDF Downloads(3)
  • Abstract views(3793)
  • HTML views(592)

通讯作者: 陈斌, bchen63@163.com
  • 1. 

    沈阳化工大学材料科学与工程学院 沈阳 110142

  1. 本站搜索
  2. 百度学术搜索
  3. 万方数据库搜索
  4. CNKI搜索
Address:Zhongguancun North First Street 2,100190 Beijing, PR China Tel: +86-010-82449177-888
Powered By info@rhhz.net

/

DownLoad:  Full-Size Img  PowerPoint
Return