Citation: LI Xian-yu, GUO Qing-hua, DING Lu, YU Guang-suo. Investigation on catalytic gasification reaction characteristics of coal char with Na2CO3[J]. Journal of Fuel Chemistry and Technology, ;2016, 44(12): 1422-1429. shu

Investigation on catalytic gasification reaction characteristics of coal char with Na2CO3

  • Corresponding author: YU Guang-suo, gsyu@ecust.edu.cn
  • Received Date: 23 August 2016
    Revised Date: 1 October 2016

Figures(5)

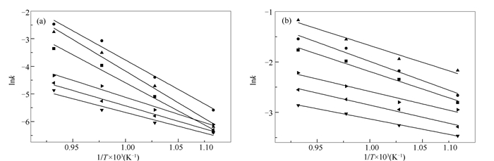
  • The coal char gasification experiments with Na2CO3 as catalyst was investigated on TGA. The pore structure and apparent structure evolution characteristics of char were studied by scanning electron microscopy and pore structure and specific surface area analyzer. The influence of temperature (650-800℃), gasification agent (steam, CO2) and sodium carbonate loadings (Na+ loading amounts 2.2%, 4.4%, 6.6%) on the gasification reactivity of Shenfu bituminous coal (SF) and Zunyi anthracite (ZY) were investigated. The results show that the loading of Na2CO3 stimulates the development of pore structure in pyrolysis process. In the atmosphere of CO2, there was a saturated catalyst capacity for SF and excessive catalyst loading could block internal pore structure of coal, leading to the decrease of gasification reactivity. ZY gasification reactivity increases with catalyst loading, and both SF and ZY gasification reactivity increase with the increase of temperature. In the atmosphere of steam, both SF and ZY gasification reactivity increase with the rise of catalyst loading and temperature. Na2CO3 is favorable for the decrease of reaction temperature and activation energy under the desired gasification rate.
  • 加载中
    1. [1]

      LI Shan. Developing status and research prospect of catalysts for coal catalytic gasification[J]. J Chem Ind Eng, 2013,34(5):10-15.  

    2. [2]

      GAO Xu-xia, GUO Xiao-lei, GONG Xin. Characterization of slag from entrained-flow coal gasification[J]. J East China Univ Sci Technol (Nat Sci Ed), 2009,35(5):677-683.  

    3. [3]

      MENG Lei, ZHOU Min, WANG Fen. Progress of research on catalyst for catalytic gasification of coal[J]. Gas Heat, 2010,30(4):B18-B22.  

    4. [4]

      POPA T, FAN M H, ARGYLE M D, SLIMANE R B, BELL D A, TOWLER B F. Catalytic gasification of a Powder River Basin coal[J]. Fuel, 2013,103:161-170. doi: 10.1016/j.fuel.2012.08.049

    5. [5]

      MONTERROSO R, FAN M H, ZHANG F, GAO Y, POPA T, ARGYLE M D, TOELER B, SUN Q Y. Effects of an environmentally-friendly, inexpensive composite iron-sodium catalyst on coal gasification[J]. Fuel, 2014,116:341-349. doi: 10.1016/j.fuel.2013.08.003

    6. [6]

      KARIMI A, GRAY M R. Effectiveness and mobility of catalysts for gasification of bitumen coke[J]. Fuel, 2011,90(1):120-125. doi: 10.1016/j.fuel.2010.07.032

    7. [7]

      WANG Y, WANG Z, HUANG J, FANG Y. Catalytic gasification activity of Na2CO3 and comparison with K2CO3 for a high-aluminum coal char[J]. Energy Fuels, 2015,29(11):6988-6998. doi: 10.1021/acs.energyfuels.5b01537

    8. [8]

      CHEN Yan, ZHANG Ji-yu. Effects of catalyst loading of Na2CO3 on specific surface area and gasification characteristics of Fujian high-metamorphous anthracite[J]. CIESC J, 2011,62(10):2768-2775.

    9. [9]

      SAMS D A, SHADMAN F. Catalytic effect of potassium on the rate of char-CO2 gasification[J]. Fuel, 1983,62(8):880-882. doi: 10.1016/0016-2361(83)90153-9

    10. [10]

      CHEN Yan, ZHANG Ji-yu. Variation of specific surface area in catalytic gasification process of Fujian anthracite with Na2CO3 catalyst[J]. CIESC J, 2012,63(8):2443-2452.

    11. [11]

      WANG Xi-ming, WANG Xing-jun, CHEN Fan-min, LIU Hai-feng, YU Guang-suo, WANG Fu-chen. Catalytic gasification kinetics of coal with steam at mid-temperature[J]. J Fuel Chem Technol, 2013,41(10):1166-1172.  

    12. [12]

      PANETH H R. The mechanism of self-diffusion in alkali metals[J]. Phys Rev, 1950,80(4):708-711. doi: 10.1103/PhysRev.80.708

    13. [13]

      GODAVARTY A, AGARWAL A. Distribution and catalytic activity of eutectic salts in steam gasification of coal[J]. Energy Fuels, 2000,14(3):558-565. doi: 10.1021/ef990156o

    14. [14]

      WEI X F, HUANG J J, LIU T F, FANG Y T, WANG Y. Transformation of alkali metals during pyrolysis and gasification of a lignite[J]. Energy Fuels, 2008,22(3):1840-1844. doi: 10.1021/ef7007858

    15. [15]

      KANG Shou-guo.Study on catalytic gasification reactivity of coal char supported with K2CO3[D].Tianjin:Hebei University of Technology, 2011.

    16. [16]

      GIL M V, RIAZA J, ÁLVAREZ L, PEVIDA C, RUBIERA F. Biomass devolatilization at high temperature under N2 and CO2:Char morphology and reactivity[J]. Energy, 2015,91:655-662. doi: 10.1016/j.energy.2015.08.074

    17. [17]

      LIU H, LUO C, KANEKO M, KATO S, KOJIMA T. Unification of gasification kinetics of char in CO2 at elevated temperatures with a modified random pore model[J]. Energy Fuels, 2003,17(4):961-97. doi: 10.1021/ef020231m

  • 加载中
    1. [1]

      Fangyan Zhang Yuhan Li Bowen He Meng Lin Ying Ma . Determination of Sodium Carbonate Content: A Conductometric Titration Approach. University Chemistry, 2026, 41(3): 373-380. doi: 10.12461/PKU.DXHX202505023

    2. [2]

      Shiqian WEIXinyu TIANHong LIUMaoxia CHENFan TANGQiang FANWeifeng FANYu HU . Oxygen reduction reaction/oxygen evolution reaction catalytic performances of different active sites on nitrogen-doped graphene loaded with iron single atoms. Chinese Journal of Inorganic Chemistry, 2025, 41(9): 1776-1788. doi: 10.11862/CJIC.20250102

    3. [3]

      Xinting XIONGZhiqiang XIONGPanlei XIAOXuliang NIEXiuying SONGXiuguang YI . Synthesis, crystal structures, Hirshfeld surface analysis, and antifungal activity of two complexes Na(Ⅰ)/Cd(Ⅱ) assembled by 5-bromo-2-hydroxybenzoic acid ligands. Chinese Journal of Inorganic Chemistry, 2024, 40(9): 1661-1670. doi: 10.11862/CJIC.20240145

    4. [4]

      Huiying ZHANGPing LIWeixia DONGZhiwen HUQifu BAOQizheng DONGMingmin BAIWenqi LI . Photocatalytic performance of spheroidal nano Bi4Ti3O12 prepared by surfactant-assisted hydrothermal reaction. Chinese Journal of Inorganic Chemistry, 2026, 42(3): 551-561. doi: 10.11862/CJIC.20250269

    5. [5]

      Yingchun ZHANGYiwei SHIRuijie YANGXin WANGZhiguo SONGMin WANG . Dual ligands manganese complexes based on benzene sulfonic acid and 2, 2′-bipyridine: Structure and catalytic properties and mechanism in Mannich reaction. Chinese Journal of Inorganic Chemistry, 2024, 40(8): 1501-1510. doi: 10.11862/CJIC.20240078

    6. [6]

      Haitang WANGYanni LINGXiaqing MAYuxin CHENRui ZHANGKeyi WANGYing ZHANGWenmin WANG . Construction, crystal structures, and biological activities of two Ln3 complexes. Chinese Journal of Inorganic Chemistry, 2024, 40(8): 1474-1482. doi: 10.11862/CJIC.20240188

    7. [7]

      Jiayi Yang Jianxiu Hao Huacong Zhou Quansheng Liu . “Gorgeous Transformation” of Carbon Dioxide into Cyclic Carbonates: Catalyst Types and Roles. University Chemistry, 2026, 41(2): 178-189. doi: 10.12461/PKU.DXHX202502105

    8. [8]

      Heng Zhang . Determination of All Rate Constants in the Enzyme Catalyzed Reactions Based on Michaelis-Menten Mechanism. University Chemistry, 2024, 39(4): 395-400. doi: 10.3866/PKU.DXHX202310047

    9. [9]

      Fangxuan LiuZiyan LiuGuowei ZhouTingting GaoWenyu LiuBin Sun . 中空结构光催化剂. Acta Physico-Chimica Sinica, 2025, 41(7): 100071-0. doi: 10.1016/j.actphy.2025.100071

    10. [10]

      Jingjing QINGFan HEZhihui LIUShuaipeng HOUYa LIUYifan JIANGMengting TANLifang HEFuxing ZHANGXiaoming ZHU . Synthesis, structure, and anticancer activity of two complexes of dimethylglyoxime organotin. Chinese Journal of Inorganic Chemistry, 2024, 40(7): 1301-1308. doi: 10.11862/CJIC.20240003

    11. [11]

      Changqing MIAOFengjiao CHENWenyu LIShujie WEIYuqing YAOKeyi WANGNi WANGXiaoyan XINMing FANG . Crystal structures, DNA action, and antibacterial activities of three tetranuclear lanthanide-based complexes. Chinese Journal of Inorganic Chemistry, 2024, 40(12): 2455-2465. doi: 10.11862/CJIC.20240192

    12. [12]

      Jing WUPuzhen HUIHuilin ZHENGPingchuan YUANChunfei WANGHui WANGXiaoxia GU . Synthesis, crystal structures, and antitumor activities of transition metal complexes incorporating a naphthol-aldehyde Schiff base ligand. Chinese Journal of Inorganic Chemistry, 2024, 40(12): 2422-2428. doi: 10.11862/CJIC.20240278

    13. [13]

      Jia JITengqi YAOWenqian DENGWenjing SHIXuan LÜLin TIANXiaoyan XINYinling HOU . Structures, antibacterial activities, and interactions with DNA of two nickel complexes. Chinese Journal of Inorganic Chemistry, 2026, 42(1): 78-86. doi: 10.11862/CJIC.20250141

    14. [14]

      Xueqi YangJuntao ZhaoJiawei YeDesen ZhouTingmin DiJun Zhang . 调节NNU-55(Fe)的d带中心以增强CO2吸附和光催化活性. Acta Physico-Chimica Sinica, 2025, 41(7): 100074-0. doi: 10.1016/j.actphy.2025.100074

    15. [15]

      Ziyang LongQuanzheng LiChengliang ZhangHaifeng Shi . BiVO4/WO3-x S-scheme heterojunctions with amplified internal electric field for boosting photothermal-catalytic activity. Acta Physico-Chimica Sinica, 2025, 41(10): 100122-0. doi: 10.1016/j.actphy.2025.100122

    16. [16]

      Yajin LiHuimin LiuLan MaJiaxiong LiuDehua He . Photothermal Synthesis of Glycerol Carbonate via Glycerol Carbonylation with CO2 over Au/Co3O4-ZnO Catalyst. Acta Physico-Chimica Sinica, 2024, 40(9): 2308005-0. doi: 10.3866/PKU.WHXB202308005

    17. [17]

      Ning CHENJingle CHENHongyuan ZHUHuali CHENLiguang WUTing WANG . Mechanism and performance regulation of Co/Zr-doped mesoporous TiO2 catalysts in activating sodium persulfate for tetracycline degradation. Chinese Journal of Inorganic Chemistry, 2026, 42(3): 507-518. doi: 10.11862/CJIC.20250275

    18. [18]

      Jingkun YuXue YongAng CaoSiyu Lu . Bi-Layer Single Atom Catalysts Boosted Nitrate-to-Ammonia Electroreduction with High Activity and Selectivity. Acta Physico-Chimica Sinica, 2024, 40(6): 2307015-0. doi: 10.3866/PKU.WHXB202307015

    19. [19]

      Yue Zhao Yanfei Li Tao Xiong . Copper Hydride-Catalyzed Nucleophilic Additions of Unsaturated Hydrocarbons to Aldehydes and Ketones. University Chemistry, 2024, 39(4): 280-285. doi: 10.3866/PKU.DXHX202309001

    20. [20]

      Hong Lu Yidie Zhai Xingxing Cheng Yujia Gao Qing Wei Hao Wei . Advancements and Expansions in the Proline-Catalyzed Asymmetric Aldol Reaction. University Chemistry, 2024, 39(5): 154-162. doi: 10.3866/PKU.DXHX202310074

Metrics
  • PDF Downloads(2)
  • Abstract views(1211)
  • HTML views(113)

通讯作者: 陈斌, bchen63@163.com
  • 1. 

    沈阳化工大学材料科学与工程学院 沈阳 110142

  1. 本站搜索
  2. 百度学术搜索
  3. 万方数据库搜索
  4. CNKI搜索
Address:Zhongguancun North First Street 2,100190 Beijing, PR China Tel: +86-010-82449177-888
Powered By info@rhhz.net

/

DownLoad:  Full-Size Img  PowerPoint
Return