Citation: ZHAI Xue-jiao, LI Chuang, DI Xin, YIN Dong-dong, LIANG Chang-hai. Preparation of Cu/MgO catalysts for γ-valerolactone hydrogenation to 1, 4-pentanediol by MOCVD[J]. Journal of Fuel Chemistry and Technology, ;2017, 45(5): 537-546. shu

Preparation of Cu/MgO catalysts for γ-valerolactone hydrogenation to 1, 4-pentanediol by MOCVD

  • Corresponding author: LIANG Chang-hai, changhai@dlut.edu.cn
  • Received Date: 15 February 2017
    Revised Date: 6 April 2017

    Fund Project: the Fundamental Research Funds for the Central Universities DUT15ZD106the National Natural Science Foundation of China 21428301the National Natural Science Foundation of China 21573031Program for Excellent Talents in Dalian City 2016RD09

Figures(10)

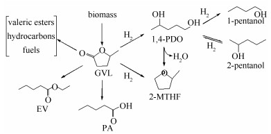
  • The laminar MgO with high specific area and the organometallic precursor Cu (acac)2 were used for the successful synthesis of Cu/MgO catalysts by metal-organic chemical vapor deposition (MOCVD) method. The copper supported on MgO catalysts were characterized by means of X-ray diffraction, Fourier-transform infrared (FT-IR) spectroscopy, field emission scanning electron microscopy (FE-SEM), transmission electron microscopy (TEM) and N2-physisorption. Characterization results indicated that the organic precursor was successfully deposited onto MgO and the crystal structure of MgO remained intact after deposition. The hydrogenation of γ-valerolactone (γ-GVL) was employed to evaluate the catalytic performance of the Cu/MgO catalysts. It was found that the 18% Cu/MgO catalyst exhibited excellent catalytic activity (90.5%) and selectivity (94.4%) for 1, 4-PDO at 473 K and 10 MPa, and the catalytic activity of Cu/MgO did not diminish significantly after cycling for three times.
  • 加载中
    1. [1]

      BESSON M, GALLEZOT P, PINEL C. Conversion of biomass into chemicals over metal catalysts[J]. Chem Rev, 2014,114(3):1827-1870. doi: 10.1021/cr4002269

    2. [2]

      AL-SHAAL M G, DZIERBINSKI A, PALKOVITS R. Solvent-free γ-valerolactone hydrogenation to 2-methyltetrahydrofuran catalysed by Ru/C: A reaction network analysis[J]. Green Chem, 2014,16(3):1358-1364. doi: 10.1039/C3GC41803K

    3. [3]

      GEBOERS J A, VAN DE VYVER S, OOMS R, OP DE BEECK B, JACOBS P A, SELS B F. Chemocatalytic conversion of cellulose: Opportunities, advances and pitfalls[J]. Catal Sci Technol, 2011,1(5):714-726. doi: 10.1039/c1cy00093d

    4. [4]

      LIANG D, LIU C W, DENG S P, ZHU Y L, LV C X. Aqueous phase hydrogenolysis of glucose to 1, 2-propanediol over copper catalysts supported by sulfated spherical carbon[J]. Catal Commun, 2014,54:108-113. doi: 10.1016/j.catcom.2014.05.027

    5. [5]

      MAI E F, MACHADO M A, DAVIES T E, LOPEZ-SANCHEZ J A, SILVA V T. Molybdenum carbide nanoparticles within carbon nanotubes as superior catalysts for γ-valerolactone production via levulinic acid hydrogenation[J]. Green Chem, 2014,16(9):4092-4097. doi: 10.1039/C4GC00920G

    6. [6]

      VARKOLU M, VELPULA V, GANJI S, BURRI D R, KAMARAJU S R R. Ni nanoparticles supported on mesoporous silica (2D, 3D) architectures: Highly efficient catalysts for the hydrocyclization of biomass-derived levulinic acid[J]. RSC Adv, 2015,5(70):57201-57210. doi: 10.1039/C5RA10857H

    7. [7]

      WANG J, JAENICKE S, CHUAH G K. Zirconium-Beta zeolite as a robust catalyst for the transformation of levulinic acid to γ-valerolactone via Meerwein-Ponndorf-Verley reduction[J]. RSC Adv, 2014,4(26):13481-13489. doi: 10.1039/c4ra01120a

    8. [8]

      DU X L, BI Q Y, LIU Y M, CAO Y, HE H Y, FAN K N. Tunable copper-catalyzed chemoselective hydrogenolysis of biomass-derived γ-valerolactone into 1, 4-pentanediol or 2-methyltetrahydrofuran[J]. Green Chem, 2012,14(4):935-939. doi: 10.1039/c2gc16599f

    9. [9]

      PACE V, HOYOS P, FERNANDEZ M, SINISTERRA J V, ALCANTARA A R. 2-methyltetrahydrofuran as a suitable green solvent for phthalimide functionalization promoted by supported KF[J]. Green Chem, 2010,12(8):1380-1382. doi: 10.1039/c0gc00113a

    10. [10]

      BOND J Q, ALONSO D M, WEST R M, DUMESIC J A. γ-valerolactone ring-opening and decarboxylation over SiO2/Al2O3 in the presence of water[J]. Langmuir, 2010,26(21):16291-16298. doi: 10.1021/la101424a

    11. [11]

      GEILEN F M, ENGENDAHL B, HOLSCHER M, KLANKERMAYER J, LEITNER W. Selective homogeneous hydrogenation of biogenic carboxylic acids with[Ru (TriPhos) H]+: A mechanistic study[J]. J Am Chem Soc, 2011,133(36):14349-14358. doi: 10.1021/ja2034377

    12. [12]

      TUKACS J M, NOVAK M, DIBO G, MIKA L T. An improved catalytic system for the reduction of levulinic acid to γ-valerolactone[J]. Catal Sci Technol, 2014,4(9):2908-2912. doi: 10.1039/C4CY00719K

    13. [13]

      GEILEN F M, ENGENDAHL B, HARWARDT A, MARQUARDT W, KLANKERMAYER J, LEITNER W. Selective and flexible transformation of biomass-derived platform chemicals by a multifunctional catalytic system[J]. Angew Chem Int Ed, 2010,49(32):5510-5514. doi: 10.1002/anie.201002060

    14. [14]

      MEHDI H, FABOS V, TUBA R, BODOR A, MIKA L T, HORVATH I T. Integration of homogeneous and heterogeneous catalytic processes for a multi-step conversion of biomass: From sucrose to levulinic acid, γ-valerolactone, 1, 4-pentanediol, 2-methyl-tetrahydrofuran, and alkanes[J]. Top Catal, 2008,48(1/4):49-54.

    15. [15]

      PHANOPOULOS A, WHITE A J P, LONG N J, MILLER P W. Catalytic transformation of levulinic acid to 2-methyl-tetrahydrofuran using ruthenium-N-triphos complexes[J]. ACS Catal, 2015,5(4):2500-2512. doi: 10.1021/cs502025t

    16. [16]

      MIZUGAKI T, NAGATSU Y, TOGO K, MAENO Z, MITSUDOME T, JITSUKAWA K, KANEDA K. Selective hydrogenation of levulinic acid to 1, 4-pentanediol in water using a hydroxyapatite-supported Pt-Mo bimetallic catalyst[J]. Green Chem, 2015,17(12):5136-5139. doi: 10.1039/C5GC01878A

    17. [17]

      BUITRAGO S R, SERRANO R J C, RODRIGUEZ R F, SEPULVEDA E A, DUMESIC J A. Ce promoted Pd-Nb catalysts for γ-valerolactone ring-opening and hydrogenation[J]. Green Chem, 2012,14(12):3318-3324. doi: 10.1039/c2gc36161b

    18. [18]

      LI M, LI G, LI N, WANG A Q, DONG W J, WANG X D, CONG Y. Aqueous phase hydrogenation of levulinic acid to 1, 4-pentanediol[J]. Chem Commun, 2014,50(12):1414-1416. doi: 10.1039/c3cc48236g

    19. [19]

      BERMUDEZ J M, MENENDEZ J A, ROMERO A A, SERRANO E, GARCIA M J, LUQUE R. Continuous flow nanocatalysis: Reaction pathways in the conversion of levulinic acid to valuable chemicals[J]. Green Chem, 2013,15(10):2786-2792. doi: 10.1039/c3gc41022f

    20. [20]

      XU Q, LI X, PAN T, YU C G, DENG J, GUO Q X, FU Y. Supported copper catalysts for highly efficient hydrogenation of biomass-derived levulinic acid and γ-valerolactone[J]. Green Chem, 2016,18(5):1287-1294. doi: 10.1039/C5GC01454A

    21. [21]

      LIU C W, ZHANG C H, LIU K K, WANG Y, FAN G X, SUN S K, XU J, ZHU Y L, LI Y W. Aqueous-phase hydrogenolysis of glucose to value-added chemicals and biofuels: A comparative study of active metals[J]. Biomass Bioenergy, 2015,72:189-199. doi: 10.1016/j.biombioe.2014.11.005

    22. [22]

      MILANOV A P, THIEDE T B, DEVI A, FISCHER R A. Homoleptic gadolinium guanidinate: A single source precursor for metal-organic chemical vapor deposition of gadolinium nitride thin films[J]. J Am Chem Soc, 2009,131(47):17062-17063. doi: 10.1021/ja907952g

    23. [23]

      JIANG M M, ZHANG M M, LI C, WILLIAMS C T, LIANG C H. CVD of Pt (C5H9)2 to synthesize highly dispersed Pt/SBA-15 catalysts for hydrogenation of chloronitrobenzene[J]. Chem Vap Deposition, 2014,20(4/5/6):146-151.

    24. [24]

      ZHAO A Q, CHEN X, GUAN J C, WILLIAMS C T, LIANG C H. The formation mechanism of cobalt silicide on silica from Co (SiCl3)(CO)4 by in situ Fourier transform infrared spectroscopy[J]. Phys Chem Chem Phys, 2011,13(20):9432-9438. doi: 10.1039/c1cp20197b

    25. [25]

      GUAN J C, JIN J H, CHEN X, ZHANG B S, SU D S, LIANG C H. Preparation and formation mechanism of highly dispersed manganese silicide on silica by MOCVD of Mn (CO)5SiCl3[J]. Chem Vap Deposition, 2013,19(1/3):68-73.

    26. [26]

      ZHANG Y, LAM F L Y, HU X J, YAN Z F, SHENG P. Fabrication of copper nanowire encapsulated in the pore channels of SBA-15 by metal organic chemical vapor deposition[J]. J Phys Chem C, 2007,111(34):12536-12541. doi: 10.1021/jp073786x

    27. [27]

      NASIBULIN A G, MOISALA A, BROWN D P, KAUPPINEN E I. Carbon nanotubes and onions from carbon monoxide using Ni (acac)2 and Cu (acac)2 as catalyst precursors[J]. Carbon, 2003,41(14):2711-2724. doi: 10.1016/S0008-6223(03)00333-6

    28. [28]

      MULLER M, LEBEDEV O I, FISCHER R A. Gas-phase loading of[Zn4O (btb)2] (MOF-177) with organometallic CVD-precursors: Inclusion compounds of the type[LnM]a@MOF-177 and the formation of Cu and Pd nanoparticles inside MOF-177[J]. J Mater Chem, 2008,18(43):5274-5281. doi: 10.1039/b810989c

    29. [29]

      BECKER M, D'ALNONCOURT R N, KAHLER K, SEKULIC J, FISCHER R A, MUHLER M. The synthesis of highly loaded Cu/Al2O3and Cu/ZnO/Al2O3 catalysts by the two-step CVD of Cu (Ⅱ) diethylamino-2-propoxide in a fluidized-bed reactor[J]. Chem Vap Deposition, 2010,16(1/3):85-92.

    30. [30]

      NAUMANN D R, BECKER M, SEKULIC J, FISCHER R A, MUHLER M. The preparation of Cu/Al2O3 catalysts via CVD in a fluidized-bed reactor[J]. Surf Coat Technol, 2007,201(22/23):9035-9040.

    31. [31]

      BECKER R, PARALA H, HIPLER F, TKACHENKO O P, KLEMENTIEV K V, GRUNERT W, WILMER H, HINRICHSEN O, MUHLER M, BIRKNER A, WOLL C, SCHAFER S, FISCHER R A. MOCVD-loading of mesoporous siliceous matrices with Cu/ZnO: Supported catalysts for methanol synthesis[J]. Angew Chem Int Ed, 2004,43(21):2839-2842. doi: 10.1002/(ISSN)1521-3773

    32. [32]

      ZHANG G Y, WANG X X, LONG J J, XIE L L, DING Z X, WU L, LI Z H, FU X Z. Deposition cemistry of Cu[OCH (Me) CH2NMe2]2 over mesoporous slica[J]. Chem Mater, 2008,20(14):4565-4575. doi: 10.1021/cm7027228

    33. [33]

      ZHANG G Y, LONG J J, WANG X X, DAI W X, LI Z H, WU L, FU X Z. Controlled synthesis of pure and highly dispersive Cu (Ⅱ), Cu (Ⅰ), and Cu (0)/MCM-41 with Cu[OCHMeCH2NMe2]2/MCM-41 as precursor[J]. New J Chem, 2009,33(10):2044-2050. doi: 10.1039/b906352h

    34. [34]

      LIAN J B, ZHANG C H, WANG P, NG D H L. Template-free hydrothermal synthesis of mesoporous MgO nanostructures and their applications in water treatment[J]. Chem Asian J, 2012,7(11):2650-2655. doi: 10.1002/asia.201200665

    35. [35]

      ZHANG M M, GUAN J C, ZHANG B S, SU D S, WILLIAMS C T, LIANG C H. Chemical vapor deposition of Pd (C3H5)(C5H5) to synthesize Pd@MOF-5 catalysts for suzuki coupling reaction[J]. Catal Lett, 2012,142(3):313-318. doi: 10.1007/s10562-012-0767-7

    36. [36]

      VERTOPRAKHOV V N, KRUPODER S A. Preparation of thin copper films from the vapour phase of volatile copper (Ⅰ) and copper (Ⅱ) derivatives by the CVD method[J]. Russ Chem Rev, 2000,69(12):1057-1082. doi: 10.1070/RC2000v069n12ABEH000572

    37. [37]

      JIANG K, SHENG D, ZHANG Z H, FU J, HOU Z Y, LU X Y. Hydrogenation of levulinic acid to γ-valerolactone in dioxane over mixed MgO-Al2O3 supported Ni catalyst[J]. Catal Today, 2016,274:55-59. doi: 10.1016/j.cattod.2016.01.056

    38. [38]

      HENGNE A M, RODE C V. Cu-ZrO2 nanocomposite catalyst for selective hydrogenation of levulinic acid and its ester to γ-valerolactone[J]. Green Chem, 2012,14(4):1064-1072. doi: 10.1039/c2gc16558a

    39. [39]

      SADABA L, GRANADOS M L, RIISAGER A, TAARNING E. Deactivation of solid catalysts in liquid media: The case of leaching of active sites in biomass conversion reactions[J]. Green Chem, 2015,17(8):4133-4145. doi: 10.1039/C5GC00804B

  • 加载中
    1. [1]

      Rui HUANGShengjie LIUQingyuan WUNanfeng ZHENG . Enhanced selectivity of catalytic hydrogenation of halogenated nitroaromatics by interfacial effects. Chinese Journal of Inorganic Chemistry, 2025, 41(1): 201-212. doi: 10.11862/CJIC.20240356

    2. [2]

      Zixuan ZhuXianjin ShiYongfang RaoYu Huang . Recent progress of MgO-based materials in CO2 adsorption and conversion: Modification methods, reaction condition, and CO2 hydrogenation. Chinese Chemical Letters, 2024, 35(5): 108954-. doi: 10.1016/j.cclet.2023.108954

    3. [3]

      Jinyuan Cui Tingting Yang Teng Xu Jin Lin Kunlong Liu Pengxin Liu . Hydrogen spillover enhances the selective hydrogenation of α,β-unsaturated aldehydes on the Cu-O-Ce interface. Chinese Journal of Structural Chemistry, 2025, 44(1): 100438-100438. doi: 10.1016/j.cjsc.2024.100438

    4. [4]

      Ming HuangXiuju CaiYan LiuZhuofeng Ke . Base-controlled NHC-Ru-catalyzed transfer hydrogenation and α-methylation/transfer hydrogenation of ketones using methanol. Chinese Chemical Letters, 2024, 35(7): 109323-. doi: 10.1016/j.cclet.2023.109323

    5. [5]

      Minghui ZhangNa ZhangQian ZhaoChao WangAlexander SteinerJianliang XiaoWeijun Tang . Cobalt pincer complex-catalyzed highly enantioselective hydrogenation of quinoxalines. Chinese Chemical Letters, 2025, 36(4): 110081-. doi: 10.1016/j.cclet.2024.110081

    6. [6]

      Mengjun Zhao Yuhao Guo Na Li Tingjiang Yan . Deciphering the structural evolution and real active ingredients of iron oxides in photocatalytic CO2 hydrogenation. Chinese Journal of Structural Chemistry, 2024, 43(8): 100348-100348. doi: 10.1016/j.cjsc.2024.100348

    7. [7]

      Shaoming DongYiming NiuYinghui PuYongzhao WangBingsen Zhang . Subsurface carbon modification of Ni-Ga for improved selectivity in acetylene hydrogenation reaction. Chinese Chemical Letters, 2024, 35(12): 109525-. doi: 10.1016/j.cclet.2024.109525

    8. [8]

      Sanmei WangDengxin YanWenhua ZhangLiangbing Wang . Graphene-supported isolated platinum atoms and platinum dimers for CO2 hydrogenation: Catalytic activity and selectivity variations. Chinese Chemical Letters, 2025, 36(4): 110611-. doi: 10.1016/j.cclet.2024.110611

    9. [9]

      Danfeng ZhaoJing LinRushuo LiLiang ChuZhaokun WangXiubing HuangGe Wang . Constructing frustrated Lewis pairs on porous Ce-based metal-organic frameworks with improved dicyclopentadiene hydrogenation activity. Chinese Chemical Letters, 2025, 36(7): 110172-. doi: 10.1016/j.cclet.2024.110172

    10. [10]

      Jiaxuan YANGChenfa DENGJingyang LIUChenzexi XUHongxin CHENYahui ZHUYing LIShuhua WANGRongping ZHOUChao CHEN . Advances in selective hydrogenation of α, β-unsaturated aldehydes/ketones catalyzed by metal-organic frameworks and their derivatives: A review. Chinese Journal of Inorganic Chemistry, 2025, 41(10): 1973-2010. doi: 10.11862/CJIC.20250175

    11. [11]

      Huihua GONGTianhua CUILi JIJichuan ZHANGLiyuan ZHANGYan CHENZhenye WANGJiaqi XURuixiang LI . Hydrogenation of CO2 to formate catalyzed by N-heterocyclic carbene-nitrogen-phosphine chelated iridium(Ⅰ) complexes. Chinese Journal of Inorganic Chemistry, 2025, 41(12): 2609-2620. doi: 10.11862/CJIC.20250170

    12. [12]

      Bofei JIAZhihao LIUZongyuan GAOShuai ZHOUMengxiang WUQian ZHANGXiamei ZHANGShuzhong CHENXiaohan YANGYahong LI . Cu(Ⅱ) and Cu(Ⅰ) complexes based on derivatives of imidazo[1,5-a]pyridine: Synthesis, structures, in situ metal-ligand reactions, and catalytic activity. Chinese Journal of Inorganic Chemistry, 2025, 41(5): 1020-1036. doi: 10.11862/CJIC.20240317

    13. [13]

      Wujun JianMong-Feng ChiouYajun LiHongli BaoSong Yang . Cu-catalyzed regioselective diborylation of 1,3-enynes for the efficient synthesis of 1,4-diborylated allenes. Chinese Chemical Letters, 2024, 35(5): 108980-. doi: 10.1016/j.cclet.2023.108980

    14. [14]

      Ruixue LiuXiaobing DingQiwei LangGen-Qiang ChenXumu Zhang . Enantioselective and divergent construction of chiral amino alcohols and oxazolidin-2-ones via Ir-f-phamidol-catalyzed dynamic kinetic asymmetric hydrogenation. Chinese Chemical Letters, 2025, 36(3): 110037-. doi: 10.1016/j.cclet.2024.110037

    15. [15]

      Hua LiuJian ZhaoQi LiXiang-Yu ZhangZhi-Wei ZhengKun HuangDa-Bin QinBin Zhao . Indium-captured zirconium-porphyrin frameworks displaying rare multi-selectivity for catalytic transfer hydrogenation of aldehydes and ketones. Chinese Chemical Letters, 2025, 36(6): 110593-. doi: 10.1016/j.cclet.2024.110593

    16. [16]

      Jiang GongFengling ZhengHanqing ZhangWeihan ShuHao WangNi ZhangPengbing HuangChuancai ZhangBin Dai . The interfacial effect of SiO2-Ni3Mo3N efficiently catalyzes the low-temperature hydrogenation of dimethyl oxalate to ethanol. Chinese Chemical Letters, 2025, 36(8): 111122-. doi: 10.1016/j.cclet.2025.111122

    17. [17]

      Yihu Ke Shuai Wang Fei Jin Guangbo Liu Zhiliang Jin Noritatsu Tsubaki . Charge transfer optimization: Role of Cu-graphdiyne/NiCoMoO4 S-scheme heterojunction and Ohmic junction. Chinese Journal of Structural Chemistry, 2024, 43(12): 100458-100458. doi: 10.1016/j.cjsc.2024.100458

    18. [18]

      Gangsheng LiXiang YuanFu LiuZhihua LiuXujie WangYuanyuan LiuYanmin ChenTingting WangYanan YangPeicheng Zhang . Three-step synthesis of flavanostilbenes with a 2-cyclohepten-1-one core by Cu-mediated [5 + 2] cycloaddition/decarboxylation cascade. Chinese Chemical Letters, 2025, 36(2): 109880-. doi: 10.1016/j.cclet.2024.109880

    19. [19]

      Feng-Fan YangYin-Kang DingLin-Kai WuJiayue TianShuai DouWenjing WangLinfeng Liang . A 1,3,5-triazine μ3-bridged neutral Cu(Ⅰ) framework with enhanced stability and CO2 capture selectivity. Chinese Chemical Letters, 2025, 36(12): 110550-. doi: 10.1016/j.cclet.2024.110550

    20. [20]

      Zhen Shi Wei Jin Yuhang Sun Xu Li Liang Mao Xiaoyan Cai Zaizhu Lou . Interface charge separation in Cu2CoSnS4/ZnIn2S4 heterojunction for boosting photocatalytic hydrogen production. Chinese Journal of Structural Chemistry, 2023, 42(12): 100201-100201. doi: 10.1016/j.cjsc.2023.100201

Metrics
  • PDF Downloads(6)
  • Abstract views(629)
  • HTML views(63)

通讯作者: 陈斌, bchen63@163.com
  • 1. 

    沈阳化工大学材料科学与工程学院 沈阳 110142

  1. 本站搜索
  2. 百度学术搜索
  3. 万方数据库搜索
  4. CNKI搜索
Address:Zhongguancun North First Street 2,100190 Beijing, PR China Tel: +86-010-82449177-888
Powered By info@rhhz.net

/

DownLoad:  Full-Size Img  PowerPoint
Return