Citation: Fan Lingling, Luo Zhongfu, Luo Bilan, Tang Lei, Li Yong. Optimization of Synthetic Process for the CRBN Regulator Avadomide[J]. Chemistry, ;2019, 82(9): 837-841. shu

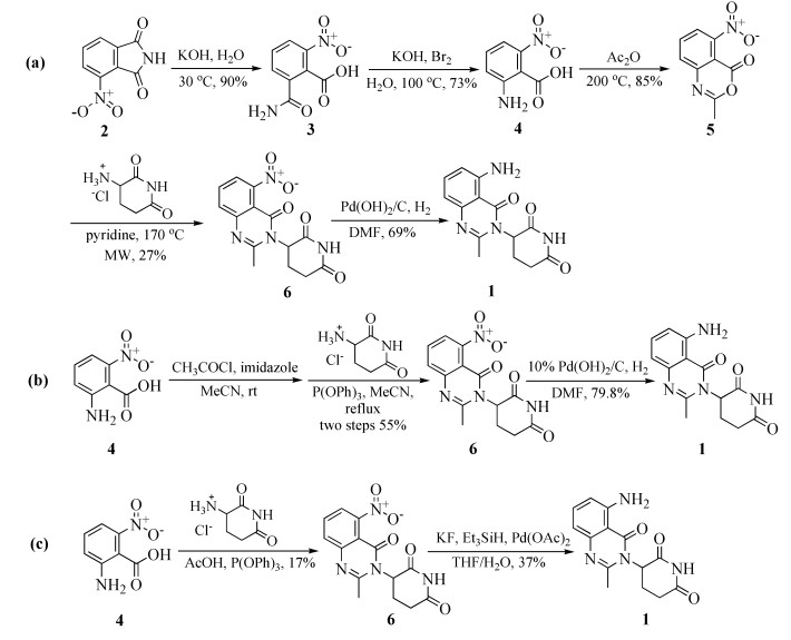
Optimization of Synthetic Process for the CRBN Regulator Avadomide

  • Corresponding author: Li Yong, liyong19851016@126.com
  • Received Date: 26 June 2019
    Accepted Date: 18 July 2019

Figures(2)

Metrics
  • PDF Downloads(10)
  • Abstract views(994)
  • HTML views(174)

通讯作者: 陈斌, bchen63@163.com
  • 1. 

    沈阳化工大学材料科学与工程学院 沈阳 110142

  1. 本站搜索
  2. 百度学术搜索
  3. 万方数据库搜索
  4. CNKI搜索
Address:Zhongguancun North First Street 2,100190 Beijing, PR China Tel: +86-010-82449177-888
Powered By info@rhhz.net

/

DownLoad:  Full-Size Img  PowerPoint
Return