Citation: LI Xiao, LIU Xing-wu, JIANG Dong, WEN Xiao-dong. Synthesis and catalytic performance of single phase Co2C catalyst for Fischer-Tropsch synthesis[J]. Journal of Fuel Chemistry and Technology, ;2018, 46(4): 459-464. shu

Synthesis and catalytic performance of single phase Co2C catalyst for Fischer-Tropsch synthesis

  • Corresponding author: JIANG Dong, jdred@sxicc.ac.cn WEN Xiao-dong, wxd@sxicc.ac.cn
  • Received Date: 4 January 2018
    Revised Date: 26 February 2018

    Fund Project: the National Natural Science Foundation of China 21473229The project was supported by the National Natural Science Foundation of China (21473229, 91545121)the National Natural Science Foundation of China 91545121

Figures(7)

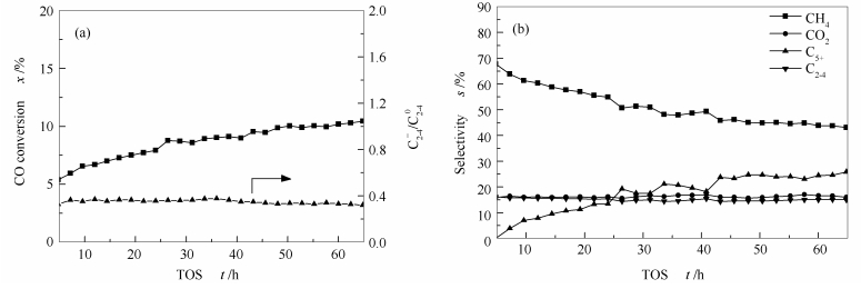
  • Single phase Co2C catalysts were prepared by carburizing Co with CO at 280℃ and 2 MPa for 48 h. X-ray diffraction (XRD), transmission electron microscopy (TEM), H2 temperature-programmed reduction (H2-TPR), and X-ray absorption spectroscopy (XAS) were carried out to explore the structure and composition of the prepared Co2C samples. The Co2C catalysts were also evaluated in the Fischer-Tropsch synthesis to study their stability and catalytic performance. It was interesting to observe that the CO conversion and the selectivity for C5+ products gradually increased, but the selectivity to methane decreased during the reaction. Comparing the fresh catalysts with used catalysts, it was easy to find that the used catalysts were the mixture of metallic Co and Co2C. The newly generated metallic Co may lead to the changes of CO conversion and product selectivity during the reaction.
  • 加载中
    1. [1]

      WEN Xiao-dong, YANG yong, XIANG Hong-wei, JIAO Hai-jun, LI Yong-wang. The design principle of iron-based catalysts for fischer-tropsch synthesis:From theory to practice[J]. Sci Sin Chim, 2017,47(11):1298-1311.  

    2. [2]

      DRY M E. The Fischer-Tropsch process:1950-2000[J]. Catal Today, 2002,71:227-241. doi: 10.1016/S0920-5861(01)00453-9

    3. [3]

      LI Juan, WU Liang-peng, QIU Yong, DING Ming-yue, WANG Tie-jun, LI Xing-jun, MA Long-long. Research advances in catalysts for Fischer-Tropsch synthesis[J]. Chem Ind Eng Prog, 2013,32:100-108.  

    4. [4]

      IGLESIA E. Design, synthesis, and use of cobalt-based Fischer-Tropsch synthesis catalysts[J]. Appl Catal A:Gen, 1997,161:59-78. doi: 10.1016/S0926-860X(97)00186-5

    5. [5]

      SUN Yu-han, CHEN Jian-gang, WANG Jun-gang, JIA Li-tao, HOU Bo, LI De-bao, ZHANG Juan. The development of Co-based catalysts for Fisher-Tropsch synthesis[J]. Chin J Catal, 2010,31(8):919-927.  

    6. [6]

      KHODAKOV A Y, CHU W, FONGARLAND P. Advances in the development of novel cobalt Fischer-Tropsch catalysts for synthesis of long-chain hydrocarbons and clean fuels[J]. Chem Rev, 2007,107:1692-1744. doi: 10.1021/cr050972v

    7. [7]

      JACOBS G, PATTERSON P M, ZHANG Y P, DAS T, LI J C, DAVIS H B. Fischer-Tropsch synthesis:Deactivation of noble metal-promoted Co/Al2O3 catalysts[J]. Appl Catal A:Gen, 2002,233:215-226. doi: 10.1016/S0926-860X(02)00147-3

    8. [8]

      KARACA H, HONG J P, FONGERLAND P, ROUSSEL P, GRIBORAL-CONSTAN A, LAROIX M, HORTMANN K, SAFONOVA O V, KHODAKOV A Y. In situ XRD investigation of the evolution of alumina-supported cobalt catalysts under realistic conditions of Fischer-Tropsch synthesis[J]. Chem Comm, 2010,46:788-790. doi: 10.1039/B920110F

    9. [9]

      KWAK G, KIM D E, PARK H G, KANG S C, HA K S, JUN K W, LEE Y J. Enhanced catalytic activity of cobalt catalysts for Fischer-Tropsch synthesis via carburization and hydrogenation and its application to regeneration[J]. Catal Sci Technol, 2016,6(12):4594-4600. doi: 10.1039/C5CY01399B

    10. [10]

      PEI Y P, DING Y J, ZHU H J, ZANG J, SONG X G, DONG W D, WANG T, YAN L, LU Y. Study on the effect of alkali promoters on the formation of cobalt carbide (Co2C) and on the performance of Co2C via CO hydrogenation reaction[J]. React Kinet Mech Cat, 2013,111(2):505-520.

    11. [11]

      CLAEYS M, DRY M E, STEEN E W, PLESSIS E D, VAN BERGEE P J, SAIB A M, MOODLEY D J. In situ magnetometer study on the formation and stability of cobalt carbide in Fischer-Tropsch synthesis[J]. J Catal, 2014,318:193-202. doi: 10.1016/j.jcat.2014.08.002

    12. [12]

      WELLER S, HOFER L J E, ANDERSON R B. The role of bulk cobalt carbide in the Fischer-Tropsch synthesis[J]. J Am Chem Soc, 1948,70:799-801. doi: 10.1021/ja01182a108

    13. [13]

      MOHANDS J C, GNANAMANI M K, JACOBS G, MA W P, JI Y Y, KHALID S, DAVIS B H. Fischer-Tropsch synthesis:Characterization and reaction testing of cobalt carbide[J]. ACS Catal, 2011,1(11):1581-1588. doi: 10.1021/cs200236q

    14. [14]

      BAHR H A, JESSEN V. Die kohlenoxyd-spaltung am kobalt[J]. Ber Dtsch Chem Ges, 1930,63:2226-2237. doi: 10.1002/cber.v63:8

    15. [15]

      ⅡJIMA Y, MAKUTA F, AGARWALA R P, HIRANO K. Diffusion of carbon in cobalt[J]. Mat Trans JIM, 1989,30(12):984-990. doi: 10.2320/matertrans1989.30.984

    16. [16]

      BROWNING L C, EMMETT P H. Equilibrium measurements in the Ni3C-Ni-CH4-H2 and Co2C-Co-CH4-H2 systems[J]. J Am Chem Soc, 1952,74(7):1680-1682. doi: 10.1021/ja01127a021

    17. [17]

      CHENG J, HU P, ELLICS P, FRENCH S, KELLY G, LOCK C M. Density functional theory study of iron and cobalt carbides for Fischer-Tropsch synthesis[J]. J Phys Chem C, 2010,114:1085-1093. doi: 10.1021/jp908482q

    18. [18]

      KARACA H, SAFONOVA O V, CHAMBREY S, FONGARLAND P, ROUSSEL P, KHODAHOV A Y. Structure and catalytic performance of Pt-promoted alumina-supported cobalt catalysts under realistic conditions of Fischer-Tropsch synthesis[J]. J Catal, 2011,277(1):14-26. doi: 10.1016/j.jcat.2010.10.007

    19. [19]

      ZhAO Z, LU W, ZHU H J, DONG W D, SUN F Y, JIANG Z, LIU TAO, DING Y J. Insight into the formation of Co@Co2C catalysts for direct synthesis of higher alcohols and olefins from syngas[J]. ACS Catal, 2017,8(1):228-241.  

    20. [20]

      LI S W, YANG C, YIN Z, YANG H G, CHEN Y F, LIN L L, LI M Z, LI W Z, HU G, MA D. Wet-chemistry synthesis of cobalt carbide nanoparticles as highly active and stable electrocatalyst for hydrogen evolution reaction[J]. Nano Res, 2017,10(4):1322-1328. doi: 10.1007/s12274-017-1425-6

  • 加载中
    1. [1]

      Yutong Liu Xuemin Jing . Research Progress on the Catalytic Conversion of Methane in the Context of the “Dual Carbon” Goals. University Chemistry, 2025, 40(10): 101-113. doi: 10.12461/PKU.DXHX202412018

    2. [2]

      Xinyi Fan Wancai Shi Zhenyu Sun . 甲烷——温室效应中的“隐形杀手”与绿色转机. University Chemistry, 2025, 40(11): 1-10. doi: 10.12461/PKU.DXHX202412060

    3. [3]

      Feifei YangWei ZhouChaoran YangTianyu ZhangYanqiang Huang . Enhanced Methanol Selectivity in CO2 Hydrogenation by Decoration of K on MoS2 Catalyst. Acta Physico-Chimica Sinica, 2024, 40(7): 2308017-0. doi: 10.3866/PKU.WHXB202308017

    4. [4]

      Guang Huang Lei Li Dingyi Zhang Xingze Wang Yugai Huang Wenhui Liang Zhifen Guo Wenmei Jiao . Cobalt’s Valor, Nickel’s Foe: A Comprehensive Chemical Experiment Utilizing a Cobalt-based Imidazolate Framework for Nickel Ion Removal. University Chemistry, 2024, 39(8): 174-183. doi: 10.3866/PKU.DXHX202311051

    5. [5]

      Hong CAIJiewen WUJingyun LILixian CHENSiqi XIAODan LI . Synthesis of a zinc-cobalt bimetallic adenine metal-organic framework for the recognition of sulfur-containing amino acids. Chinese Journal of Inorganic Chemistry, 2025, 41(1): 114-122. doi: 10.11862/CJIC.20240382

    6. [6]

      Zhiqiang XINGJinling LIUMingmin SULei ZHANGLijun YANG . CoNi dual-single-atom catalyst for electrocatalytic H2O2 production and in situ electro-Fenton degradation of pollutants. Chinese Journal of Inorganic Chemistry, 2025, 41(12): 2479-2490. doi: 10.11862/CJIC.20250181

    7. [7]

      Jingke LIUJia CHENYingchao HAN . Nano hydroxyapatite stable suspension system: Preparation and cobalt adsorption performance. Chinese Journal of Inorganic Chemistry, 2024, 40(9): 1763-1774. doi: 10.11862/CJIC.20240060

    8. [8]

      Bo YANGGongxuan LÜJiantai MA . Corrosion inhibition of nickel-cobalt-phosphide in water by coating TiO2 layer. Chinese Journal of Inorganic Chemistry, 2025, 41(2): 365-384. doi: 10.11862/CJIC.20240063

    9. [9]

      Xue-Peng Zhang Yuchi Long Yushu Pan Jiding Wang Baoyu Bai Rui Ding . 定量构效关系方法学习探索:以钴卟啉活化氧气为例. University Chemistry, 2025, 40(8): 345-359. doi: 10.12461/PKU.DXHX202410107

    10. [10]

      Xinhao Yan Guoliang Hu Ruixi Chen Hongyu Liu Qizhi Yao Jiao Li Lingling Li . Polyethylene Glycol-Ammonium Sulfate-Nitroso R Salt System for the Separation of Cobalt (II). University Chemistry, 2024, 39(6): 287-294. doi: 10.3866/PKU.DXHX202310073

    11. [11]

      Jiahe LIUGan TANGKai CHENMingda ZHANG . Effect of low-temperature electrolyte additives on low-temperature performance of lithium cobaltate batteries. Chinese Journal of Inorganic Chemistry, 2025, 41(4): 719-728. doi: 10.11862/CJIC.20250023

    12. [12]

      Yan LIUJiaxin GUOSong YANGShixian XUYanyan YANGZhongliang YUXiaogang HAO . Exclusionary recovery of phosphate anions with low concentration from wastewater using a CoNi-layered double hydroxide/graphene electronically controlled separation film. Chinese Journal of Inorganic Chemistry, 2024, 40(9): 1775-1783. doi: 10.11862/CJIC.20240043

    13. [13]

      Zhicheng JUWenxuan FUBaoyan WANGAo LUOJiangmin JIANGYueli SHIYongli CUI . MOF-derived nickel-cobalt bimetallic sulfide microspheres coated by carbon: Preparation and long cycling performance for sodium storage. Chinese Journal of Inorganic Chemistry, 2025, 41(4): 661-674. doi: 10.11862/CJIC.20240363

    14. [14]

      Yu PengJiawei ChenYue YinYongjie CaoMochou LiaoCongxiao WangXiaoli DongYongyao Xia . Tailored cathode electrolyte interphase via ethylene carbonate-free electrolytes enabling stable and wide-temperature operation of high-voltage LiCoO2. Acta Physico-Chimica Sinica, 2025, 41(8): 100087-0. doi: 10.1016/j.actphy.2025.100087

    15. [15]

      Jingyi XieQianxi LüWeizhen QiaoChenyu BuYusheng ZhangXuejun ZhaiRenqing LüYongming ChaiBin Dong . Enhancing Cobalt―Oxygen Bond to Stabilize Defective Co2MnO4 in Acidic Oxygen Evolution. Acta Physico-Chimica Sinica, 2024, 40(3): 2305021-0. doi: 10.3866/PKU.WHXB202305021

    16. [16]

      Wuxin BaiQianqian ZhouZhenjie LuYe SongYongsheng Fu . Co-Ni Bimetallic Zeolitic Imidazolate Frameworks Supported on Carbon Cloth as Free-Standing Electrode for Highly Efficient Oxygen Evolution. Acta Physico-Chimica Sinica, 2024, 40(3): 2305041-0. doi: 10.3866/PKU.WHXB202305041

    17. [17]

      Yinuo Wang Siran Wang Yilong Zhao Dazhen Xu . Selective Synthesis of Diarylmethyl Anilines and Triarylmethanes via Multicomponent Reactions: Introduce a Comprehensive Experiment of Organic Chemistry. University Chemistry, 2024, 39(8): 324-330. doi: 10.3866/PKU.DXHX202401063

    18. [18]

      Yanzhe WANGXiaoming GUOQiangsheng GUOLiang LIBin LUPeihang YE . Effect of Ce introduction on the low-temperature performance of NiAl catalyst for CO2 methanation. Chinese Journal of Inorganic Chemistry, 2025, 41(11): 2218-2228. doi: 10.11862/CJIC.20250202

    19. [19]

      Wen YANGDidi WANGZiyi HUANGYaping ZHOUYanyan FENG . La promoted hydrotalcite derived Ni-based catalysts: In situ preparation and CO2 methanation performance. Chinese Journal of Inorganic Chemistry, 2024, 40(3): 561-570. doi: 10.11862/CJIC.20230276

    20. [20]

      Yuhang ZhangYi LiYuehan CaoYingjie ShuaiYu ZhouYing Zhou . Regulating the formation type by Ir of intermediates to suppress product overoxidation in photocatalytic methane conversion. Acta Physico-Chimica Sinica, 2026, 42(2): 100173-0. doi: 10.1016/j.actphy.2025.100173

Metrics
  • PDF Downloads(9)
  • Abstract views(2328)
  • HTML views(1115)

通讯作者: 陈斌, bchen63@163.com
  • 1. 

    沈阳化工大学材料科学与工程学院 沈阳 110142

  1. 本站搜索
  2. 百度学术搜索
  3. 万方数据库搜索
  4. CNKI搜索
Address:Zhongguancun North First Street 2,100190 Beijing, PR China Tel: +86-010-82449177-888
Powered By info@rhhz.net

/

DownLoad:  Full-Size Img  PowerPoint
Return