Citation: Hongyan Ma, Xia Li. Syntheses and Applications of Ionic Liquid Functionalized Cyclodextrin Compound[J]. Chemistry, ;2021, 84(4): 322-329. shu

Syntheses and Applications of Ionic Liquid Functionalized Cyclodextrin Compound

  • Corresponding author: Xia Li, lixia200688@126.com
  • Received Date: 10 September 2020
    Accepted Date: 29 December 2020

Figures(7)

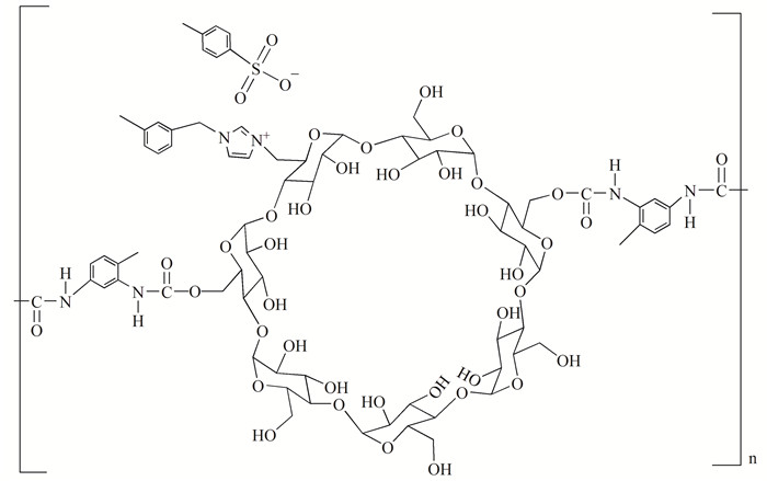
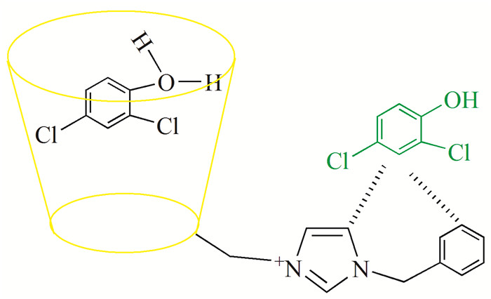
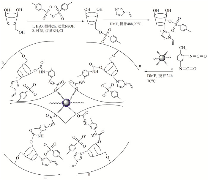
  • The ionic liquid functionalized cyclodextrin compound (ILs-CD) combines the "internally hydrophobic and externally hydrophilic" cavities of cyclodextrin and the low toxicity, low vapor pressure, wide electrochemical window, thermal stability and high chemical stability from ILs. So ILs-CD is a new type of macrocyclic compound with great development potential. This article mainly classifies the synthesized ILs-CD compounds ascording to their different cations, and introduces their synthesis methods. Meanwhile, the applications of ILs-CD in different fields such as in electrochemistry, environment, food, medicine, catalysis, molecular imprinting technology and separation analysis were elaborated. The current situation and development of ILs-CD were summarized. This will provide the help for the preparation and application of ILs-CD in the future.
  • 加载中
    1. [1]

      Toshikazu T. ACS Central Sci., 2020, 6(2): 129~143. 

    2. [2]

      Kosiorek S, Rad N. ChemCatChem, 2020, 12(10): 2776~2782. 

    3. [3]

    4. [4]

      Guillaumot D, Issawi M, Silva A D, et al. J. Photochem. Photobiol. B, 2016, 156: 69~78. 

    5. [5]

    6. [6]

    7. [7]

      Liu K, Ma C, Wu T Y, et al. Curr. Opin. Colloid Interf. Sci., 2020, 45: 44~56. 

    8. [8]

      Tang W Y, Zou C J, Da C, et al. Carbohyd. Polym., 2020, 240: 116321. 

    9. [9]

      Menezes P D P, Andrade T D A, Frank L A, et al. Int. J. Pharm., 2019, 559: 312~328. 

    10. [10]

    11. [11]

      Nasrin A K, Irina P, Rokni M M. Int. J. Hydrogen Energy, 2020, 45(33): 16337~16354. 

    12. [12]

      Yang G, Song Y S, Wang Q, et al. Mater. Design, 2020, 190, 108563.

    13. [13]

      Hejazifar M, Lanaridi O, Bica-Schröder K. J. Mol. Liq., 2020, 303: 112264. 

    14. [14]

      Hui B Y, Zain N N M, Mohamad S, et al. J. Mol. Struct., 2020, 1206, 127675.

    15. [15]

      Yu X W, Chen Y K, Chang L P, et al. Sens. Actuat. B, 2013, 186: 648~656. 

    16. [16]

    17. [17]

      Bahadorikhalili S, Ansari S, Hamedifar H, et al. Int. J. Biol. Macromol., 2019, 135: 453~461. 

    18. [18]

      Zhao L, Wang X L, Ma L, et al. Eur. Polym. J., 2019, 116: 275~282. 

    19. [19]

      Yao X B, Zheng H, Zhang Y, et al. Anal. Chem., 2016, 88(9): 4955~4964. 

    20. [20]

      Li X, Nie X J, Zhu Y N, et al. Colloids Surf. A, 2019, 578: 123582. 

    21. [21]

      Boon Y H, Zain N N M, Mohamad S, et al. Food Chem., 2019, 278: 322~332. 

    22. [22]

      Sadjadi S, Heravi M M, Daraie M. J. Mol. Liq., 2017, 231: 98~105. 

    23. [23]

      Hodyna D, Bardeau J F, Metelytsia L, et al. Chem. Eng. J., 2016, 284: 1136~1145. 

    24. [24]

      Yang M Y, Wu X L, Xi X F, et al. Food Chem., 2016, 197: 1064~1072. 

    25. [25]

      Mahlambi M M, Malefetse T J, Mamba B B, et al. J. Polym. Res., 2010, 17(4): 589~600. 

    26. [26]

      Wang R Q, Ong T T, Ng S C. Tetrahed. Lett., 2012, 53(18): 2312~2315. 

    27. [27]

    28. [28]

    29. [29]

      Wang R Q, Ong T T, Ng S C. J. Chromatogr. A, 2012, 1224: 97~103. 

    30. [30]

      Li X, Zhou Z M. Anal. Chim. Acta, 2014, 819: 122~129. 

    31. [31]

      Huang K, Zhang X T, Armstrong D W. J. Chromatogr. A, 2010, 1217(32): 5261~5273. 

    32. [32]

      Li S Y, Xing P Y, Hou Y H, et al. J. Mol. Liq., 2013, 188: 74~80. 

    33. [33]

      Zhang H C, Gruner G, Zhao Y L. J. Mater. Chem. B, 2013, 1(20): 2542~2567. 

    34. [34]

      Zhang H C, Ma X, Nguyen K T, et al. ACS Nano, 2013, 7(9): 7853~7863. 

    35. [35]

      Atta N F, El-Ads E H, Ahmed Y M, et al. Electrochim. Acta, 2016, 199: 319~331. 

    36. [36]

      Li J T, Yu T, Xu G F, et al. J. Chromatogr. A, 2018, 1559: 178~185. 

    37. [37]

      Gupta V K, Jain R, Radhapyari K, et al. Anal. Biochem., 2011, 408(2): 179~196. 

    38. [38]

      Gupta V K, Jain R, Agarwal S, et al. Anal. Biochem., 2011, 410(2): 266~271. 

    39. [39]

      Hallett J P, Welton T. Chem. Rev., 2011, 111(5): 3508~3576. 

    40. [40]

      Pandey G P, Hashmi S A. J. Mater. Chem. A, 2013, 1(10): 3372~3378. 

    41. [41]

      Sinniah S, Mohamad S, Manan N S A. Appl. Surf. Sci., 2015, 357: 543~550. 

    42. [42]

      Mohamad S, Chandrasekaram K, Rasdi F L M, et al. J. Mol. Liq., 2015, 212: 850~856. 

    43. [43]

      Zhang J, Zhang W, Guo J N, et al. Electrochim. Acta, 2015, 165: 98~104. 

    44. [44]

      Raoov M, Mohamad S, Abas M R B, et al. Talanta, 2014, 130: 155~163. 

    45. [45]

      Zhou C Y, Deng J J, Shi G Y, et al. Electrophoresis, 2017, 38(7): 1060~1067. 

    46. [46]

      Mahgoub H A. Int. J. Curr. Res., 2015, 7(12): 23603~23606.

    47. [47]

      Patricia P B, Frenich A G, Vidal J L M. J. Chromatogr. A, 2010, 1217(41): 6303~6326. 

    48. [48]

      Hui B Y, Zain N N M, Mohamad S, et al. Food Chem., 2020, 314, 126214.

    49. [49]

      Cao S R, Chen J Y, Lai G Y, et al. Talanta, 2018, 194: 14~25.

    50. [50]

      Liu F, Yang X L, Wu X L, et al. Food Chem., 2018, 268: 485~491. 

    51. [51]

      Han J, Wang T, Feng S Q, et al. Green Chem., 2016, 18(14): 4092~4097. 

    52. [52]

      Sadjadi S, Koohestani F. Int. J. Biol. Macromol., 2020, 147: 399~407. 

    53. [53]

      Sadjadi S, Koohestani F. J. Mol. Liq., 2020, 301: 112414. 

    54. [54]

      Zhang X Y, Zhang N, Du C B, et al. Chem. Eng. J., 2017, 317: 988~998. 

    55. [55]

      Duan H M, Wang X J, Wang Y H, et al. Anal. Chim. Acta, 2016, 918: 89~96. 

    56. [56]

      Rahim N Y, Tay K S, Mohamad S. Chromatographia, 2016, 79: 1445~1455. 

    57. [57]

  • 加载中
    1. [1]

      Ying Chen Ronghua Yan Weiyan Yin . Research Progress on the Synthesis of Metal Single-Atom Catalysts and Their Applications in Electrocatalytic Hydrogen Evolution Reactions. University Chemistry, 2025, 40(9): 344-353. doi: 10.12461/PKU.DXHX202503066

    2. [2]

      Jing WUPuzhen HUIHuilin ZHENGPingchuan YUANChunfei WANGHui WANGXiaoxia GU . Synthesis, crystal structures, and antitumor activities of transition metal complexes incorporating a naphthol-aldehyde Schiff base ligand. Chinese Journal of Inorganic Chemistry, 2024, 40(12): 2422-2428. doi: 10.11862/CJIC.20240278

    3. [3]

      Xinting XIONGZhiqiang XIONGPanlei XIAOXuliang NIEXiuying SONGXiuguang YI . Synthesis, crystal structures, Hirshfeld surface analysis, and antifungal activity of two complexes Na(Ⅰ)/Cd(Ⅱ) assembled by 5-bromo-2-hydroxybenzoic acid ligands. Chinese Journal of Inorganic Chemistry, 2024, 40(9): 1661-1670. doi: 10.11862/CJIC.20240145

    4. [4]

      Lifang HEWenjie TANGYaoze LUOMingsheng LIANGJianxin TANGYuxuan WUFuxing ZHANGXiaoming ZHU . Synthesis, structure, and anticancer activity of two dialkyltin complexes constructed based on 2, 2′-bipyridin-6, 6′-dicarboxylic acid. Chinese Journal of Inorganic Chemistry, 2025, 41(8): 1601-1609. doi: 10.11862/CJIC.20250012

    5. [5]

      Jiaming Xu Yu Xiang Weisheng Lin Zhiwei Miao . Research Progress in the Synthesis of Cyclic Organic Compounds Using Bimetallic Relay Catalytic Strategies. University Chemistry, 2024, 39(3): 239-257. doi: 10.3866/PKU.DXHX202309093

    6. [6]

      Yameen AhmedXiangxiang FengYuanji GaoYang DingCaoyu LongMustafa HaiderHengyue LiZhuan LiShicheng HuangMakhsud I. SaidaminovJunliang Yang . Interface Modification by Ionic Liquid for Efficient and Stable FAPbI3 Perovskite Solar Cells. Acta Physico-Chimica Sinica, 2024, 40(6): 2303057-0. doi: 10.3866/PKU.WHXB202303057

    7. [7]

      Cheng-an Tao Jian Huang Yujiao Li . Exploring the Application of Artificial Intelligence in University Chemistry Laboratory Instruction. University Chemistry, 2025, 40(9): 5-10. doi: 10.12461/PKU.DXHX202408132

    8. [8]

      Lixing ZHANGYaowen WANGXu HANJunhong ZHOUJinghui WANGLiping LIGuangshe LI . Research progress in the synthesis of fluorine-containing perovskites and their derivatives. Chinese Journal of Inorganic Chemistry, 2025, 41(9): 1689-1701. doi: 10.11862/CJIC.20250007

    9. [9]

      Bin SUNHeyan JIANG . Glucose-modified bis-Schiff bases: Synthesis and bio-activities in Alzheimer′s disease therapy. Chinese Journal of Inorganic Chemistry, 2025, 41(7): 1338-1350. doi: 10.11862/CJIC.20240428

    10. [10]

      Qiang ZhangYuanbiao HuangRong Cao . Imidazolium-Based Materials for CO2 Electroreduction. Acta Physico-Chimica Sinica, 2024, 40(4): 2306040-0. doi: 10.3866/PKU.WHXB202306040

    11. [11]

      Wenjun Zheng . Application in Inorganic Synthesis of Ionic Liquids. University Chemistry, 2024, 39(8): 163-168. doi: 10.3866/PKU.DXHX202401020

    12. [12]

      Tiantian Zheng Huiyi Wang Huimin Li Xuanhe Liu Hong Shang . Anti-Counterfeiting National Salvation Chronicle of 006. University Chemistry, 2024, 39(9): 254-258. doi: 10.3866/PKU.DXHX202307032

    13. [13]

      Wenli FENGLu ZHAOYunfeng BAIFeng FENG . Research progress on ultralong room temperature phosphorescent carbon dots. Chinese Journal of Inorganic Chemistry, 2025, 41(5): 833-846. doi: 10.11862/CJIC.20240308

    14. [14]

      Yuanyin CuiJinfeng ZhangHailiang ChuLixian SunKai Dai . Rational Design of Bismuth Based Photocatalysts for Solar Energy Conversion. Acta Physico-Chimica Sinica, 2024, 40(12): 2405016-0. doi: 10.3866/PKU.WHXB202405016

    15. [15]

      Lin′an CAODengyue MAGang XU . Research advances in electrically conductive metal-organic frameworks-based electrochemical sensors. Chinese Journal of Inorganic Chemistry, 2025, 41(10): 1953-1972. doi: 10.11862/CJIC.20250160

    16. [16]

      Yu LiuPengfei LiYize LiuZaicheng Sun . Recent advances in carbon dots as a single photocatalyst. Acta Physico-Chimica Sinica, 2026, 42(2): 100167-0. doi: 10.1016/j.actphy.2025.100167

    17. [17]

      Xinyi ZhangKai RenYanning LiuZhenyi GuZhixiong HuangShuohang ZhengXiaotong WangJinzhi GuoIgor V. ZatovskyJunming CaoXinglong Wu . Progress on Entropy Production Engineering for Electrochemical Catalysis. Acta Physico-Chimica Sinica, 2024, 40(7): 2307057-0. doi: 10.3866/PKU.WHXB202307057

    18. [18]

      Lei FengZe-Min ZhuYing YangZongbin HeJiafeng ZouMan-Bo LiYan ZhaoZhikun Wu . Long-Pursued Structure of Au23(S-Adm)16 and the Unexpected Doping Effects. Acta Physico-Chimica Sinica, 2024, 40(5): 2305029-0. doi: 10.3866/PKU.WHXB202305029

    19. [19]

      Chunling QinShuang ChenHassanien GomaaMohamed A. ShenashenSherif A. El-SaftyQian LiuCuihua AnXijun LiuQibo DengNing Hu . Regulating HER and OER Performances of 2D Materials by the External Physical Fields. Acta Physico-Chimica Sinica, 2024, 40(9): 2307059-0. doi: 10.3866/PKU.WHXB202307059

    20. [20]

      Miaomiao He Zhiqing Ge Qiang Zhou Jiaqing He Hong Gong Lingling Li Pingping Zhu Wei Shao . Exploring the Fascinating Realm of Quantum Dots. University Chemistry, 2024, 39(6): 231-237. doi: 10.3866/PKU.DXHX202310040

Metrics
  • PDF Downloads(7)
  • Abstract views(1359)
  • HTML views(230)

通讯作者: 陈斌, bchen63@163.com
  • 1. 

    沈阳化工大学材料科学与工程学院 沈阳 110142

  1. 本站搜索
  2. 百度学术搜索
  3. 万方数据库搜索
  4. CNKI搜索
Address:Zhongguancun North First Street 2,100190 Beijing, PR China Tel: +86-010-82449177-888
Powered By info@rhhz.net

/

DownLoad:  Full-Size Img  PowerPoint
Return