Citation:
. Syntheses and Anti-Platelet Aggregation Activities Evaluation of Ligustrazine Derivatives[J]. Chemistry,
;2018, 81(6): 543-547.
-
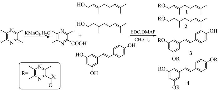
Using ligustrazine (TMP) and o-phenylenediamine as raw materials, seven derivatives were synthesized via KMnO4 oxidation, esterification, cyclization and reduction. The structures were confirmed by 1H NMR, 13C NMR and HRMS. The in vitro anti-platelet aggregation activities of the target compounds have been preliminarily tested by the Born turbidimetric method, and the experimental results showed that compounds 3 (IC50=0.23mmol/L) and 7 (IC50=0.27mmol/L) have significant inhibitory activity for adenosine diphosphate (ADP) induced platelet aggregation, higher than that of ligustrazine (IC50=0.42 mmol/L).
-
-
-
-
[1]
Lixing ZHANG , Yaowen WANG , Xu HAN , Junhong ZHOU , Jinghui WANG , Liping LI , Guangshe LI . Research progress in the synthesis of fluorine-containing perovskites and their derivatives. Chinese Journal of Inorganic Chemistry, 2025, 41(9): 1689-1701. doi: 10.11862/CJIC.20250007
-
[2]
Yonghui ZHOU , Rujun HUANG , Dongchao YAO , Aiwei ZHANG , Yuhang SUN , Zhujun CHEN , Baisong ZHU , Youxuan ZHENG . Synthesis and photoelectric properties of fluorescence materials with electron donor-acceptor structures based on quinoxaline and pyridinopyrazine, carbazole, and diphenylamine derivatives. Chinese Journal of Inorganic Chemistry, 2024, 40(4): 701-712. doi: 10.11862/CJIC.20230373
-
[3]
Jianfeng Yan , Yating Xiao , Xin Zuo , Caixia Lin , Yaofeng Yuan . Comprehensive Chemistry Experimental Design of Ferrocenylphenyl Derivatives. University Chemistry, 2024, 39(4): 329-337. doi: 10.3866/PKU.DXHX202310005
-
[4]
Jia-He Li , Yu-Ze Liu , Jia-Hui Ma , Qing-Xiao Tong , Jian-Ji Zhong , Jing-Xin Jian . 洛芬碱衍生物的合成、化学发光与重金属离子检测. University Chemistry, 2025, 40(6): 230-237. doi: 10.12461/PKU.DXHX202407080
-
[5]
Ping Song , Nan Zhang , Jie Wang , Rui Yan , Zhiqiang Wang , Yingxue Jin . Experimental Teaching Design on Synthesis and Antitumor Activity Study of Cu-Pyropheophorbide-a Methyl Ester. University Chemistry, 2024, 39(6): 278-286. doi: 10.3866/PKU.DXHX202310087
-
[6]
Siran Wang , Yinuo Wang , Yilong Zhao , Dazhen Xu . Advances in the Application and Preparation of Rhodanine and Its Derivatives. University Chemistry, 2025, 40(5): 318-327. doi: 10.12461/PKU.DXHX202407033
-
[7]
Wenxu Liu , Feng Han , Boxuan Wang , Huayi Liu , Xiaobin Gu , Xin Zhang , Yao Liu . Comprehensive Chemical Experiment: Design, Synthesis, and Photoelectronic Properties Study of Fully Non-Fused Ring Electron Acceptors. University Chemistry, 2025, 40(10): 263-275. doi: 10.12461/PKU.DXHX202412021
-
[8]
Zhongyan Cao , Shengnan Jin , Yuxia Wang , Yiyi Chen , Xianqiang Kong , Yuanqing Xu . Advances in Highly Selective Reactions Involving Phenol Derivatives as Aryl Radical Precursors. University Chemistry, 2025, 40(4): 245-252. doi: 10.12461/PKU.DXHX202405186
-
[9]
Xiaofei Liu , He Wang , Li Tao , Weimin Ren , Xiaobing Lu , Wenzhen Zhang . Electrocarboxylation of Benzylic Phosphates and Phosphinates with Carbon Dioxide. Acta Physico-Chimica Sinica, 2024, 40(9): 2307008-0. doi: 10.3866/PKU.WHXB202307008
-
[10]
Haitang WANG , Yanni LING , Xiaqing MA , Yuxin CHEN , Rui ZHANG , Keyi WANG , Ying ZHANG , Wenmin WANG . Construction, crystal structures, and biological activities of two LnⅢ3 complexes. Chinese Journal of Inorganic Chemistry, 2024, 40(8): 1474-1482. doi: 10.11862/CJIC.20240188
-
[11]
Yikai Wang , Xiaolin Jiang , Haoming Song , Nan Wei , Yifan Wang , Xinjun Xu , Cuihong Li , Hao Lu , Yahui Liu , Zhishan Bo . Thickness-Insensitive, Cyano-Modified Perylene Diimide Derivative as a Cathode Interlayer Material for High-Efficiency Organic Solar Cells. Acta Physico-Chimica Sinica, 2025, 41(3): 100027-0. doi: 10.3866/PKU.WHXB202406007
-
[12]
Caixia Lin , Zhaojiang Shi , Yi Yu , Jianfeng Yan , Keyin Ye , Yaofeng Yuan . Ideological and Political Design for the Electrochemical Synthesis of Benzoxathiazine Dioxide Experiment. University Chemistry, 2024, 39(2): 61-66. doi: 10.3866/PKU.DXHX202309005
-
[13]
Bin SUN , Heyan JIANG . Glucose-modified bis-Schiff bases: Synthesis and bio-activities in Alzheimer′s disease therapy. Chinese Journal of Inorganic Chemistry, 2025, 41(7): 1338-1350. doi: 10.11862/CJIC.20240428
-
[14]
Xin MA , Ya SUN , Na SUN , Qian KANG , Jiajia ZHANG , Ruitao ZHU , Xiaoli GAO . A Tb2 complex based on polydentate Schiff base: Crystal structure, fluorescence properties, and biological activity. Chinese Journal of Inorganic Chemistry, 2024, 40(7): 1347-1356. doi: 10.11862/CJIC.20230357
-
[15]
Jingjing QING , Fan HE , Zhihui LIU , Shuaipeng HOU , Ya LIU , Yifan JIANG , Mengting TAN , Lifang HE , Fuxing ZHANG , Xiaoming ZHU . Synthesis, structure, and anticancer activity of two complexes of dimethylglyoxime organotin. Chinese Journal of Inorganic Chemistry, 2024, 40(7): 1301-1308. doi: 10.11862/CJIC.20240003
-
[16]
Jing WU , Puzhen HUI , Huilin ZHENG , Pingchuan YUAN , Chunfei WANG , Hui WANG , Xiaoxia GU . Synthesis, crystal structures, and antitumor activities of transition metal complexes incorporating a naphthol-aldehyde Schiff base ligand. Chinese Journal of Inorganic Chemistry, 2024, 40(12): 2422-2428. doi: 10.11862/CJIC.20240278
-
[17]
Hong RAO , Yang HU , Yicong MA , Chunxin LÜ , Wei ZHONG , Lihua DU . Synthesis and in vitro anticancer activity of phenanthroline-functionalized nitrogen heterocyclic carbene homo- and heterobimetallic silver/gold complexes. Chinese Journal of Inorganic Chemistry, 2024, 40(12): 2429-2437. doi: 10.11862/CJIC.20240275
-
[18]
Yurong Tang , Yunren Shi , Yi Xu , Bo Qin , Yanqin Xu , Yunfei Cai . Innovative Experiment and Course Transformation Practice of Visible-Light-Mediated Photocatalytic Synthesis of Isoquinolinone. University Chemistry, 2024, 39(5): 296-306. doi: 10.3866/PKU.DXHX202311087
-
[19]
Fei Liu , Dong-Yang Zhao , Kai Sun , Ting-Ting Yu , Xin Wang . Comprehensive Experimental Design for Photochemical Synthesis, Analysis, and Characterization of Seleno-Containing Medium-Sized N-Heterocycles. University Chemistry, 2024, 39(3): 369-375. doi: 10.3866/PKU.DXHX202309047
-
[20]
Tingting Yu , Si Chen , Lianglong Sun , Tongtong Shi , Kai Sun , Xin Wang . Comprehensive Experimental Design for the Photochemical Synthesis, Analysis, and Characterization of Difluoropyrroles. University Chemistry, 2024, 39(11): 196-203. doi: 10.3866/PKU.DXHX202401022
-
[1]
Metrics
- PDF Downloads(4)
- Abstract views(346)
- HTML views(36)
Login In
DownLoad: