Citation:
Luo Shuchang, Sun Xiaoyuan, Zheng Pengfei, Liu Xiangyu, Huang Renyi. Magnetic Studies of Isomorphous Replacement of MII Ions in {GdIIIMII}(M=Cu, Ni, Co, Fe, Mn) Complexes: A Theoretical Perspective[J]. Chemistry,
;2020, 83(5): 464-471.
-
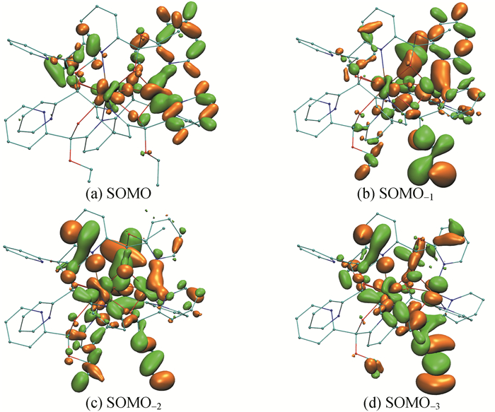
The magnetic properties was studied for a series of {GdIIIMII}(M=Cu, Ni, Co, Fe, Mn) heterobinuclear complexes by the combination of DFT calculations, using the different functional methods and basis sets, with the broken-symmetry approach. The results showed that the calculated values at the level of PBE0/TZVP (Gd is SARC-ZDRA-TZVP) are consistent with the experimental values, and this method can be used to describe its magnetic properties. There is a strong orbital interaction between the paramagnetic centers CuII and GdIII and bridged coordination oxygen atoms. The molecular magnetic orbital of the complex[CuIIGdIII{PyCO(OEt)Py C(OH)(OEt)Py}3]2+ are mainly contributed by 4fz3, 4fz(x2-y2) orbitals of the paramagnetic center GdIII, 3dx2-y2 orbital of CuII ion and p orbitals of the bridging oxygen atoms. Due to the compensation of spin delocalization from CuII ion and spin polarization from GdIII ion, the effect of spin delocalization from CuII ion on bridged oxygen atoms is greater than the spin polarization effect of paramagnetic center GdIII ion. Model calculations were used to examine the influence of the electronic configuration of the MII ions on the magnetic coupling constants. As a result, the increase of unpaired electrons of MII ions, the ρHS2-ρBS2 of the paramagnetic centers GdIII/MIIincreases, the contribution of antiferromagnetic coupling increases, whereas the values of the magnetic coupling constant decreases.
-
-
-
[1]
Dutt N K, Nag K. Inorg. Nucl. Chem., 1968, 30(9): 2493~2499.
-
[2]
Bencini A, Benelli C, Caneschi A, et al. J. Am. Chem. Soc., 1985, 107(26): 8128~8136.
-
[3]
Blagg R J, Ungur L, Tuna F, et al. Nat. Chem., 2013, 5: 673~678.
-
[4]
Li Z Y, Zhang C, Zhai B, et al. CrystEngComm, 2017, 19(19): 2702~2708.
-
[5]
Benelli C, Gatteschi D. Chem. Rev., 2002, 102(6): 2369~2387.
-
[6]
Cremades E, Gómez-Coca S, Aravena D, et al. J. Am. Chem. Soc., 2012, 134(25): 10532~10542.
-
[7]
Huang Y G, Jiang F L, Hong M C. Coord. Chem. Rev., 2009, 253(23/24): 2814~2834.
-
[8]
Cancino P, Santibañez L, Fuentealba P, et al. Dalton Transac., 2018, 47(38): 13360~13367.
-
[9]
Maity S, Mondal A, Konar S, et al. Dalton Transac., 2019, 48(40): 15170~15183.
-
[10]
Andruh M. Chem. Commun., 2018, 54(29): 3559~3577.
-
[11]
Escobedo-Cruz F V, Hughbanks T R. Dalton Transac., 2018, 47(19): 6831~6841.
-
[12]
Ferbinteanu M, Stroppa A, Scarrozza M, et al. Inorg. Chem., 2017, 56(16): 9474~9485.
-
[13]
Layfield R A, Murugesu M. Lanthanides and Actinides in Molecular Magnetism. John Wiley & Sons, 2015..
-
[14]
Sieklucka B, Pinkowicz D. Molecular Magnetic Materials Concepts and Applications. John Wiley & Sons, 2017.
-
[15]
Singh S K, Beg M F, Rajaraman G. Chem. Eur. J., 2016, 22(2): 672~680.
-
[16]
Costes J P, Duhayon C, Mallet-Ladeira S, et al. Chem. Eur. J., 2016, 22(6): 2171~2180.
-
[17]
Gupta T, Rajaraman G. Chem. Commun., 2016, 52(58): 8972~9008.
-
[18]
Singh S K, Tibrewal N K, Rajaraman G. Dalton Transac., 2011, 40(41): 10897~10906.
-
[19]
Paulovič J, Cimpoesu F, Ferbinteanu M, et al. J. Am. Chem. Soc., 2004, 126(10): 3321~3331.
- [20]
-
[21]
Singh S K, Rajaraman G. Dalton Transac., 2013, 42(10): 3623~3630.
-
[22]
Rajaraman G, Totti F, Bencini A, et al. Dalton Transac., 2009(17): 3153~3161.
- [23]
-
[24]
Bar A K, Kalita P, Singh M K, et al. Coord. Chem. Rev., 2018, 367: 163~216.
-
[25]
Georgopoulou A N, Adam R, Raptopoulou C P, et al. Dalton Transac., 2010, 39(20): 5020~5027.
-
[26]
Bazhina E S, Aleksandrov G G, Kiskin M A, et al. Eur. J. Inorg. Chem., 2018, 2018(47): 5075~5090.
-
[27]
Singh S K, Rajeshkumar T, Chandrasekhar V, et al. Polyhedron, 2013, 66: 81~86.
-
[28]
Costes J P, Clemente-Juan J M, Dahan F, et al. Inorg. Chem., 2002, 41(11): 2886~2891.
- [29]
-
[30]
Soda T, Kitagawa Y, Onishi T, et al. Chem. Phys. Lett., 2000, 319(3/4): 223~230.
-
[31]
Adamo C, Barone V. J. Chem. Phys., 1999, 110(13): 6158~6170.
- [32]
- [33]
- [34]
-
[35]
Humphrey W, Dalke A, Schulten K. J. Mol. Graph., 1996, 14(1): 33~38.
-
[36]
Pantazis D A, Neese F. J. Chem. Theory Comput. 2009, 5(9): 2229~2238.
-
[37]
Adamo C, Barone V. J. Chem. Phys., 1999, 110(13): 6158~6170.
- [38]
-
[39]
Lawson D B, DeKock R L. J. Phys. Chem. A, 1999, 103(11): 1627~1633.
-
[40]
Auer A A, Helgaker T, Klopper W. J. Comput. Chem., 2002, 23(3): 420~425.
-
[41]
Cornell W D, Gould I R, Kollman P A. J. Mole. Struct: THEOCHEM, 1997, 392: 101~109.
-
[42]
Costes J P, Dahan F, Dupuis A, et al. Inorg. Chem., 2000, 39(2): 169~173.
-
[43]
Novitchi G, Costes J P, Donnadieu B. Eur. J. Inorg. Chem., 2004, 2004(9): 1808~1812.
-
[44]
Costes J P, Dahan F, Dupuis A, et al. Inorg. Chem., 1996, 35(8): 2400~2402.
-
[45]
Costes J P, Dahan F, Dupuis A, et al. Inorg. Chem., 1997, 36(19): 4284~4286.
-
[46]
Chen Q Y, Luo Q H, Zheng L M, et al. Inorg. Chem., 2002, 41(3): 605~609.
-
[47]
Costes J P, Dahan F, García-Tojal J. Chem. Eur. J., 2002, 8(23): 5430~5434.
-
[48]
Costes J P, Dahan F, Donnadieu B, et al. Eur. J. Inorg. Chem., 2001, 2001(2): 363~365.
- [49]
-
[50]
Bian J Y, Chang Y F, Zhang J P. J. Phys. Chem. A, 2008, 112(14): 3186~3191.
- [51]
-
[52]
Illas F, Caballol R, Castell O, et al. J. Phys. Chem. A, 1997, 101(42): 7860~7866.
-
[53]
Ruiz E, Cano J, Alvarez S, et al. J. Comp. Chem., 1999, 20(13): 1391~1400.
-
[54]
Zhang Y Q, Luo C L. Eur. J. Inorg. Chem., 2008, 2008(13): 2199~2206.
-
[1]
-
-
-
[1]
Anqun LAI , Qiaoyu WU , Qingqing LIANG , Qiyong LI , Guowen DONG , Yongjie DING , Jia′nan CHEN , Qing YAN , Zhonghua PAN , Wangchuan XIAO . Electrocatalytic water oxidation properties of Nd-Co polynuclear complexes. Chinese Journal of Inorganic Chemistry, 2025, 41(12): 2527-2535. doi: 10.11862/CJIC.20250151
-
[2]
Ye Wang , Ruixiang Ge , Xiang Liu , Jing Li , Haohong Duan . An Anion Leaching Strategy towards Metal Oxyhydroxides Synthesis for Electrocatalytic Oxidation of Glycerol. Acta Physico-Chimica Sinica, 2024, 40(7): 2307019-0. doi: 10.3866/PKU.WHXB202307019
-
[3]
Tianyun Chen , Ruilin Xiao , Xinsheng Gu , Yunyi Shao , Qiujun Lu . Synthesis, Crystal Structure, and Mechanoluminescence Properties of Lanthanide-Based Organometallic Complexes. University Chemistry, 2024, 39(5): 363-370. doi: 10.3866/PKU.DXHX202312017
-
[4]
Wenjing ZHANG , Xiaoqing WANG , Zhipeng LIU . Recent developments of inorganic metal complex-based photothermal materials and their applications in photothermal therapy. Chinese Journal of Inorganic Chemistry, 2024, 40(12): 2356-2372. doi: 10.11862/CJIC.20240254
-
[5]
Hong Wu , Yuxi Wang , Hongyan Feng , Xiaokui Wang , Bangkun Jin , Xuan Lei , Qianghua Wu , Hongchun Li . Application of Computational Chemistry in the Determination of Magnetic Susceptibility of Metal Complexes. University Chemistry, 2025, 40(3): 116-123. doi: 10.12461/PKU.DXHX202405141
-
[6]
Ying Xiong , Guangao Yu , Lin Wu , Qingwen Liu , Houjin Li , Shuanglian Cai , Zhanxiang Liu , Xingwen Sun , Yuan Zheng , Jie Han , Xin Du , Chengshan Yuan , Qihan Zhang , Jianrong Zhang , Shuyong Zhang . Basic Operations and Specification Suggestions for Determination of Physical Constants of Organic Compounds. University Chemistry, 2025, 40(5): 106-121. doi: 10.12461/PKU.DXHX202503079
-
[7]
Jing WU , Puzhen HUI , Huilin ZHENG , Pingchuan YUAN , Chunfei WANG , Hui WANG , Xiaoxia GU . Synthesis, crystal structures, and antitumor activities of transition metal complexes incorporating a naphthol-aldehyde Schiff base ligand. Chinese Journal of Inorganic Chemistry, 2024, 40(12): 2422-2428. doi: 10.11862/CJIC.20240278
-
[8]
Jiaxun Wu , Mingde Li , Li Dang . The R eaction of Metal Selenium Complexes with Olefins as a Tutorial Case Study for Analyzing Molecular Orbital Interaction Modes. University Chemistry, 2025, 40(3): 108-115. doi: 10.12461/PKU.DXHX202405098
-
[9]
Lina Guo , Ruizhe Li , Chuang Sun , Xiaoli Luo , Yiqiu Shi , Hong Yuan , Shuxin Ouyang , Tierui Zhang . Effect of Interlayer Anions in Layered Double Hydroxides on the Photothermocatalytic CO2 Methanation of Derived Ni-Al2O3 Catalysts. Acta Physico-Chimica Sinica, 2025, 41(1): 100002-0. doi: 10.3866/PKU.WHXB202309002
-
[10]
Hong RAO , Yang HU , Yicong MA , Chunxin LÜ , Wei ZHONG , Lihua DU . Synthesis and in vitro anticancer activity of phenanthroline-functionalized nitrogen heterocyclic carbene homo- and heterobimetallic silver/gold complexes. Chinese Journal of Inorganic Chemistry, 2024, 40(12): 2429-2437. doi: 10.11862/CJIC.20240275
-
[11]
Zuozhong Liang , Lingling Wei , Yiwen Cao , Yunhan Wei , Haimei Shi , Haoquan Zheng , Shengli Gao . Exploring the Development of Undergraduate Scientific Research Ability in Basic Course Instruction: A Case Study of Alkali and Alkaline Earth Metal Complexes in Inorganic Chemistry. University Chemistry, 2024, 39(7): 247-263. doi: 10.3866/PKU.DXHX202310103
-
[12]
Linjie ZHU , Xufeng LIU . Electrocatalytic hydrogen evolution performance of tetra-iron complexes with bridging diphosphine ligands. Chinese Journal of Inorganic Chemistry, 2025, 41(2): 321-328. doi: 10.11862/CJIC.20240207
-
[13]
Shiyi WANG , Chaolong CHEN , Xiangjian KONG , Lansun ZHENG , Lasheng LONG . Polynuclear lanthanide compound [Ce4ⅢCe6Ⅳ(μ3-O)4(μ4-O)4(acac)14(CH3O)6]·2CH3OH for the hydroboration of amides to amine. Chinese Journal of Inorganic Chemistry, 2025, 41(1): 88-96. doi: 10.11862/CJIC.20240342
-
[14]
Yichang Liu , Li An , Dan Qu , Zaicheng Sun . “双碳”背景下的综合设计实验——以PbCrO4催化甲基蓝的光降解速率常数测定为例. University Chemistry, 2025, 40(6): 222-229. doi: 10.12461/PKU.DXHX202407105
-
[15]
Yongpo Zhang , Xinfeng Li , Yafei Song , Mengyao Sun , Congcong Yin , Chunyan Gao , Jinzhong Zhao . Synthesis of Chlorine-Bridged Binuclear Cu(I) Complexes Based on Conjugation-Driven Cu(II) Oxidized Secondary Amines. University Chemistry, 2024, 39(5): 44-51. doi: 10.3866/PKU.DXHX202309092
-
[16]
Xin Feng , Kexin Guo , Chunguang Jia , Bowen Liu , Suqin Ci , Junxiang Chen , Zhenhai Wen . Hydrogen Generation Coupling with High-Selectivity Electrocatalytic Glycerol Valorization into Formate in an Acid-Alkali Dual-Electrolyte Flow Electrolyzer. Acta Physico-Chimica Sinica, 2024, 40(5): 2303050-0. doi: 10.3866/PKU.WHXB202303050
-
[17]
Yingchun ZHANG , Yiwei SHI , Ruijie YANG , Xin WANG , Zhiguo SONG , Min WANG . Dual ligands manganese complexes based on benzene sulfonic acid and 2, 2′-bipyridine: Structure and catalytic properties and mechanism in Mannich reaction. Chinese Journal of Inorganic Chemistry, 2024, 40(8): 1501-1510. doi: 10.11862/CJIC.20240078
-
[18]
Shuang Cao , Bo Zhong , Chuanbiao Bie , Bei Cheng , Feiyan Xu . Insights into Photocatalytic Mechanism of H2 Production Integrated with Organic Transformation over WO3/Zn0.5Cd0.5S S-Scheme Heterojunction. Acta Physico-Chimica Sinica, 2024, 40(5): 2307016-0. doi: 10.3866/PKU.WHXB202307016
-
[19]
Peiran ZHAO , Yuqian LIU , Cheng HE , Chunying DUAN . A functionalized Eu3+ metal-organic framework for selective fluorescent detection of pyrene. Chinese Journal of Inorganic Chemistry, 2024, 40(4): 713-724. doi: 10.11862/CJIC.20230355
-
[20]
Jia-He Li , Yu-Ze Liu , Jia-Hui Ma , Qing-Xiao Tong , Jian-Ji Zhong , Jing-Xin Jian . 洛芬碱衍生物的合成、化学发光与重金属离子检测. University Chemistry, 2025, 40(6): 230-237. doi: 10.12461/PKU.DXHX202407080
-
[1]
Metrics
- PDF Downloads(10)
- Abstract views(1622)
- HTML views(232)
Login In
DownLoad: