Citation: ZHAO Kun, HE Fang, HUANG Zhen, WEI Guo-qiang, ZHEN GAn-qing, LI Hai-bin, ZHAO Zeng-li. CaO/MgO modified perovskite type oxides for chemical-looping steam reforming of methane[J]. Journal of Fuel Chemistry and Technology, ;2016, 44(6): 680-688. shu

CaO/MgO modified perovskite type oxides for chemical-looping steam reforming of methane

  • Corresponding author: HE Fang, hefang@ms.giec.ac.cn
  • Received Date: 7 January 2016
    Revised Date: 7 March 2016

    Fund Project: The project was supprted by the National Natural Science Foundation of China 51406208,51406214and the Science & Technology Research Project of Guangdong Province  2013B050800008

Figures(9)

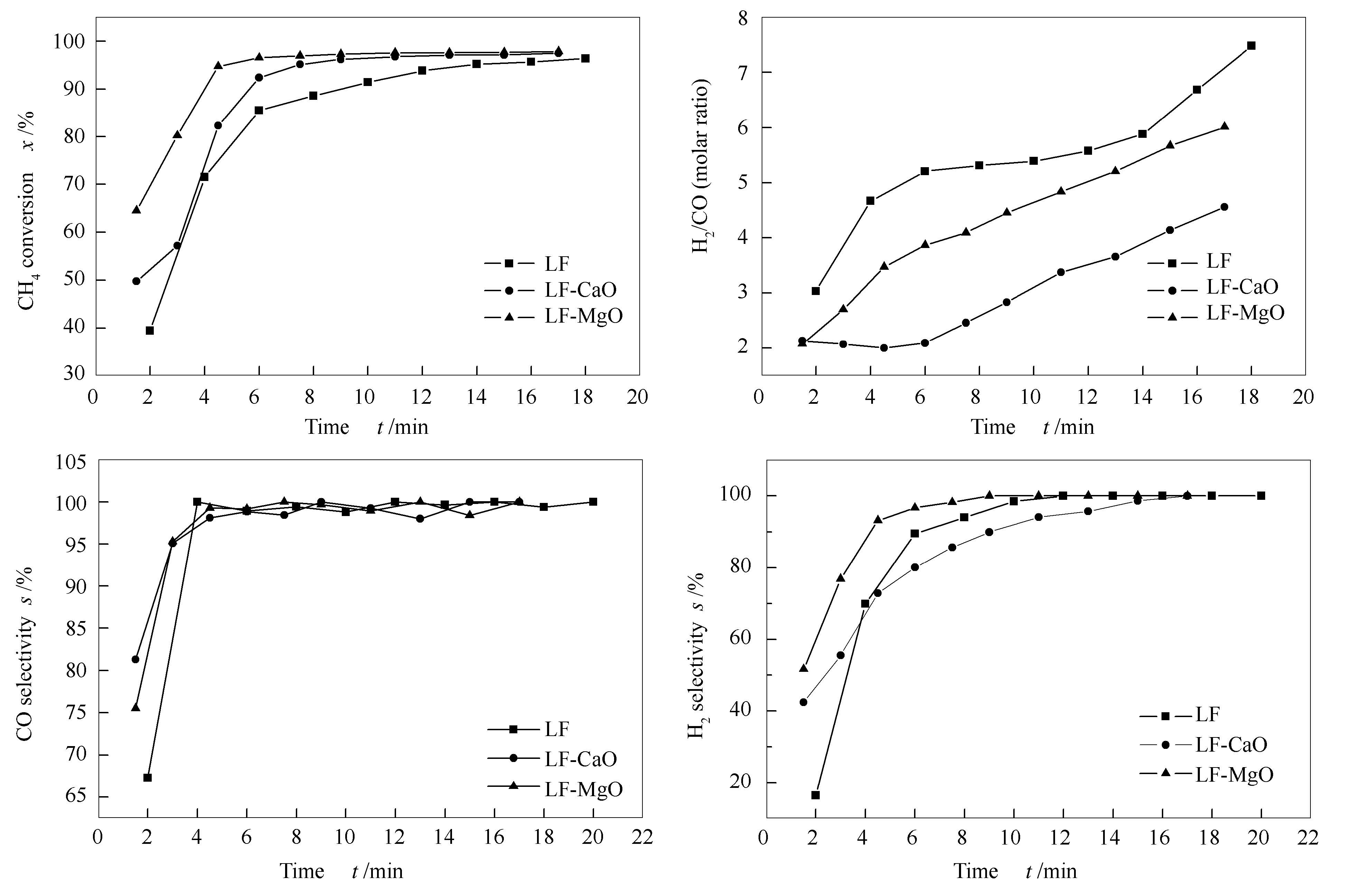
  • Chemical-looping steam methane reforming (CL-SMR) is a novel method proposed on the base of chemical looping combustion (CLC) technology. In the CL-SMR scheme, methane is partially oxidized to syngas (H2/CO(molar ratio)=2.0) by the lattice oxygen in reformer reactor in the absence of gaseous oxidant, and then the reduced oxygen carrier is oxidized by steam to produce hydrogen in steam reactor. The use of perovskite type oxide LaFeO3 as an oxygen carrier in CL-SMR was studied. While the basicity of CaO/MgO modified oxygen carriers, LaFeO3-CaO and LaFeO3-MgO, were also synthesized aiming to increase specific surface area, thermostability, and resistance to coke formation. The synthesized oxides were characterized by X-ray diffraction (XRD), H2-temperature-programmed reduction (H2-TPR), Brunauer-Emmett-Teller (BET) surface area and X-ray photoelectron spectroscopy (XPS). Three oxygen carriers exhibited high active and selective for syngas production from methane, and maintained perovskite type over cyclic redox operations. The LF-CaO sample is the best candidate for the CL-SMR of the three samples judging from the reactivity, selectivity, and resistance to carbon formation. It showed good regenerability during 5 redox reactions.
  • 加载中
    1. [1]

      GO K S, SON S R, KIM S D, KANG K S, PARK C S. Hydrogen production from two-step steam methane reforming in a fluidized bed reactor[J]. Int J Hydrogen Energy, 2009,34:1301-1309. doi: 10.1016/j.ijhydene.2008.11.062

    2. [2]

      ZHU X, WANG H, WEI Y G, LI K Z, CHENG X M. Hydrogen and syngas production from two-step steam reforming of methane using CeO2 as oxygen carrier[J]. J Nat Gas Chem, 2011,20(3):281-286. doi: 10.1016/S1003-9953(10)60185-5

    3. [3]

      LI Ran-jia, YU Chang-chun, DAI Xiao-ping, SHEN Shi-kong. Partial oxidation of methane to synthesis gas using lattice oxygen instead of molecular oxygen[J]. Chin J Catal, 2002,23(4):381-387.  

    4. [4]

      LI R J, YU C C, ZHU G R, SHEN S K, ZHANG Z X. Partial oxidation of natural gas to synthesis gas using lattice oxygen from A FeO3 (A=La, Nd, Sm, Eu) perovskite[J]. Chem Eng Oil Gas, 2004,33:5-8.  

    5. [5]

      DAI X P, YU C C, LI R J, WU Q, SHI K J, HAO Z P. Effect of calcination temperature and reaction conditions on methane partial oxidation using lanthanum-based perovskite as oxygen donor[J]. J Rare Earths, 2008,26(3):341-346. doi: 10.1016/S1002-0721(08)60092-7

    6. [6]

      MAGNUS R, ANDERS L, TOBIAS M, CHEN D, ANDERS H and ERLEND B. Novel oxygen-carrier materials for chemical-looping combustion and chemical-looping reforming; LaxSr1-xFeyCo1-yO3-δ perovskites and mixed-metal oxides of NiO, Fe2O3 and Mn3O4[J]. Int J Greenh Gas Con, 2008,2(1):21-36. doi: 10.1016/S1750-5836(07)00107-7

    7. [7]

      DAI X P, YU C C, WU Q. Comparison of LaFeO3, La0.8Sr0.2FeO3, and La0.8Sr0.2Fe0.9Co0.1O3 perovskite oxides as oxygen carrier for partial oxidation of methane[J]. J Nat Gas Chem, 2008,17(4):415-418. doi: 10.1016/S1003-9953(09)60019-0

    8. [8]

      ZHAO K, HE F, HUANG Z, ZHENG A Q, ZHAO Z L. La1-xSrxFeO3 perovskites as oxygen carriers for the partial oxidation of methane to syngas[J]. Chin J Catal, 2014,35(7):1196-1205. doi: 10.1016/S1872-2067(14)60084-X

    9. [9]

      ZHAO K, HE F, HUANG Z, ZHENG A Q, LI H B, ZHAO Z L. Three-dimensionally ordered macroporous LaFeO3 perovskites for chemical-looping steam reforming of methane[J]. Int J Hydrogen Energy, 2014,39(7):3243-3252. doi: 10.1016/j.ijhydene.2013.12.046

    10. [10]

      LI K Z, WANG H, WEI Y G, YAN D X. Partial oxidation of methane to syngas with air by lattice oxygen transfer over ZrO2-modified Ce-Fe mixed oxides[J]. Chem Eng J, 2011,173(2):574-582. doi: 10.1016/j.cej.2011.08.006

    11. [11]

      ARYA S, NATHAN G, HUANG Y, CHEN Y, LI F. Fe2O3@LaxSr1-xFeO3 core-shell redox catalyst for methane partial oxidation[J]. Chem Cat Chem, 2014,6:790-799.

    12. [12]

      ROSSETTI I, FORNI L. Catalytic flameless combustion of methane over perovskites prepared by flame-hydrolysis[J]. Appl Catal B:Environ, 2001,33(4):345-352. doi: 10.1016/S0926-3373(01)00194-1

    13. [13]

      HE F, LI X A, ZHAO K, HUANG Z, WEI G Q, LI H B. Catalytic flameless combustion of methane over perovskites prepared by flame-hydrolysis[J]. Fuel, 2013,108:465-473. doi: 10.1016/j.fuel.2012.11.035

    14. [14]

      LI K Z, WANG H, WEI Y G, YAN D X. Direct conversion of methane to synthesis gas using lattice oxygen of CeO2-Fe2O3 complex oxides[J]. Chem Eng J, 2010,156(3):512-518. doi: 10.1016/j.cej.2009.04.038

    15. [15]

      PRITI V G, RAJESH B B. Pure phase LaFeO3 perovskite with improved surface area synthesized using different routes and its characterization[J]. Mater Chem Phys, 2010,119(1/2):324-329.  

    16. [16]

      MA H Q, TAN X, ZHU H M, ZHANG J Y, ZHANG L. XPS Characterization of La1-xCexFeO3 perovskite as high-temperture water-gas shift catalysts[J]. J Chin Rare Earth Soc, 2003,21(4):445-448.

    17. [17]

      LI X, ZHANG H B, LIU X X, LI S J, ZHAO M Y. XPS study on O(1s) and Fe(2p) for nanocrystalline composite oxide LaFeO3 with the perovskite structure[J]. Mater Chem Phys, 1994,38:355-362. doi: 10.1016/0254-0584(94)90213-5

    18. [18]

      KEE Y K, HYUN S R, YU T S, DONG J S, WANG L Y, SEUNG B P. Coke study on MgO-promoted Ni/Al2O3 catalyst in combined H2O and CO2 reforming of methane for gas to liquid (GTL) process[J]. Appl Catal A:Gen, 2008,340(2):183-190. doi: 10.1016/j.apcata.2008.02.009

    19. [19]

      QUINCOCES C E, DICUNDO S, ALVAREZ A M, GONZALEZ M G. Effect of addition of CaO on Ni/Al2O3 catalysts over CO2 reforming of methane[J]. Mater Lett, 2001,50(1):21-27. doi: 10.1016/S0167-577X(00)00406-7

    20. [20]

      CHOUDHARY V R, UPHADE B S, MAMMAN A S. Large enhancement in methane-to-syngas conversion activity of supported Ni catalysts due to precoating of catalyst supports with MgO, CaO or rare-earth oxide[J]. Catal Lett, 1995,32(3-4):387-390. doi: 10.1007/BF00813233

    21. [21]

      DUANE D M, RANJANI S. Fluidized-bed and fixed-bed reactor testing of methane chemical looping combustion with MgO-promoted hematite James Poston[J]. Appl Energy, 2015,146:111-121. doi: 10.1016/j.apenergy.2015.02.047

    22. [22]

      HU J B, YU C L, ZHOU X C. Research progress of carbon deposition on catalysts during the partial oxidation of methane[J]. Nonferrous Met Sci Eng, 2012,3(2):5-11.

    23. [23]

      YU C L, XU H Y, GE Q J. Characterization of the metallicphase of Zn-doped Pt and Pt-Sn catalysts for propane dehydrogenation[J]. J Mol Catal A, 2007,266:80-89. doi: 10.1016/j.molcata.2006.10.025

  • 加载中
    1. [1]

      Junchuan Sun Lu Wang . Carbon exchange enabled supra-photothermal methane dry reforming. Chinese Journal of Structural Chemistry, 2024, 43(10): 100330-100330. doi: 10.1016/j.cjsc.2024.100330

    2. [2]

      Cheng PENGJianwei WEIYating CHENNan HUHui ZENG . First principles investigation about interference effects of electronic and optical properties of inorganic and lead-free perovskite Cs3Bi2X9 (X=Cl, Br, I). Chinese Journal of Inorganic Chemistry, 2024, 40(3): 555-560. doi: 10.11862/CJIC.20230282

    3. [3]

      Lixing ZHANGYaowen WANGXu HANJunhong ZHOUJinghui WANGLiping LIGuangshe LI . Research progress in the synthesis of fluorine-containing perovskites and their derivatives. Chinese Journal of Inorganic Chemistry, 2025, 41(9): 1689-1701. doi: 10.11862/CJIC.20250007

    4. [4]

      Nian LIUBiao ZHENGKun WANGChunbao ZHENGQingyan HANEnjie HESaidong XUE . Synthesis and spectroscopic performance of double perovskite Li0.5La0.5MgSrWO6∶Mn4+ phosphors for plant growth lighting. Chinese Journal of Inorganic Chemistry, 2026, 42(1): 129-140. doi: 10.11862/CJIC.20250069

    5. [5]

      Yanling YangZhenfa DingHuimin WangJianhui LiYanping ZhengHongquan GuoLi ZhangBing YangQingqing GuHaifeng XiongYifei Sun . Dynamic tracking of exsolved PdPt alloy/perovskite catalyst for efficient lean methane oxidation. Chinese Chemical Letters, 2024, 35(4): 108585-. doi: 10.1016/j.cclet.2023.108585

    6. [6]

      Zhuwei Yang Linsen Li Yijie Lin Xinyuan Tao Xiao Liu Lei Chen Ming Ma Li Lin Riguang Zhang Jiayuan Li Zhao Jiang . Regulating the Oxygen Vacancies in Ni-CexZr1-xO2/ZSM-5 to Improve the Long-term Stability for Methane Dry Reforming. Chinese Journal of Structural Chemistry, 2025, 44(8): 100632-100632. doi: 10.1016/j.cjsc.2025.100632

    7. [7]

      Huipeng Zhao Xiaoqiang Du . Polyoxometalates as the redox anolyte for efficient conversion of biomass to formic acid. Chinese Journal of Structural Chemistry, 2024, 43(2): 100246-100246. doi: 10.1016/j.cjsc.2024.100246

    8. [8]

      Yaohua Li Qi Cao Xuanhua Li . Tailoring the configuration of polymer passivators in perovskite solar cells. Chinese Journal of Structural Chemistry, 2025, 44(2): 100413-100413. doi: 10.1016/j.cjsc.2024.100413

    9. [9]

      Zhi-Ying Zhao Liang Chen Can-Zhong Lu . Efficient surface and interface passivation for perovskite submodules. Chinese Journal of Structural Chemistry, 2025, 44(6): 100527-100527. doi: 10.1016/j.cjsc.2025.100527

    10. [10]

      Yuanzhe Lu Yuanqin Zhu Linfeng Zhong Dingshan Yu . Long-lifespan aqueous alkaline and acidic batteries enabled by redox conjugated covalent organic polymer anodes. Chinese Journal of Structural Chemistry, 2024, 43(3): 100249-100249. doi: 10.1016/j.cjsc.2024.100249

    11. [11]

      Yiran TaoChunlei DaiZhaoxiang XieXinru YouKaiwen LiJun WuHai Huang . Redox responsive polymeric nanoparticles enhance the efficacy of cyclin dependent kinase 7 inhibitor for enhanced treatment of prostate cancer. Chinese Chemical Letters, 2024, 35(8): 109170-. doi: 10.1016/j.cclet.2023.109170

    12. [12]

      Jing WangZenghui LiXiaoyang LiuBochao SuHonghong GongChao FengGuoping LiGang HeBin Rao . Fine-tuning redox ability of arylene-bridged bis(benzimidazolium) for electrochromism and visible-light photocatalysis. Chinese Chemical Letters, 2024, 35(9): 109473-. doi: 10.1016/j.cclet.2023.109473

    13. [13]

      Hao WANGKun TANGJiangyang SHAOKezhi WANGYuwu ZHONG . Electro-copolymerized film of ruthenium catalyst and redox mediator for electrocatalytic water oxidation. Chinese Journal of Inorganic Chemistry, 2024, 40(11): 2193-2202. doi: 10.11862/CJIC.20240176

    14. [14]

      Jinlong LiRuixin LiJiahui LiuJi-Quan LiuJia XuXianglin ZhouYefan ZhangKairui WangLin LeiGang XieFengmei WangYing YangLiping Cao . A TOC- and deposition-free electrochromic window driven by redox flow battery. Chinese Chemical Letters, 2024, 35(12): 110355-. doi: 10.1016/j.cclet.2024.110355

    15. [15]

      Yanan ZhouLi ShengLanlan ChenWenhua ZhangJinlong Yang . Axial coordinated iron-nitrogen-carbon as efficient electrocatalysts for hydrogen evolution and oxygen redox reactions. Chinese Chemical Letters, 2025, 36(1): 109588-. doi: 10.1016/j.cclet.2024.109588

    16. [16]

      Xin HeFeng LiuTao Tu . Double redox-mediated intrinsic semiconductor photocatalysis: Practical semi-heterogeneous synthesis. Chinese Chemical Letters, 2025, 36(3): 110621-. doi: 10.1016/j.cclet.2024.110621

    17. [17]

      Hui ZhangRong FengWanyi YuHongbei WeiTianhong WuPeng ZhangWenhai BianXin LiDi GaoGuojun WengZhe YangTony D. JamesXiaolong Sun . Evaluating the global thiols redox state in living cells using a reducing sulfur species responsive fluorescence switching platform. Chinese Chemical Letters, 2025, 36(4): 110528-. doi: 10.1016/j.cclet.2024.110528

    18. [18]

      Qihou LiJiamin LiuFulu ChuJinwei ZhouJieshuangyang ChenZengqiang GuanXiyun YangJie LeiFeixiang Wu . Coordinating lithium polysulfides to inhibit intrinsic clustering behavior and facilitate sulfur redox conversion in lithium-sulfur batteries. Chinese Chemical Letters, 2025, 36(5): 110306-. doi: 10.1016/j.cclet.2024.110306

    19. [19]

      Renyuan WangLei KeHouxiang WangYueheng TaoYujie CuiPeipei ZhangMinjie ShiXingbin Yan . Facile synthesis of phenazine-conjugated polymer material with extraordinary proton-storage redox capability. Chinese Chemical Letters, 2025, 36(5): 109920-. doi: 10.1016/j.cclet.2024.109920

    20. [20]

      Xiaoqian WangYanling ShenLong ChenLizhi FangKuppusamy KanagarajMing RaoChunying FanWanhua WuCheng Yang . Azobenzene-winged phenanthroline for supramolecular chirality sensing and multidimensional chiroptical manipulation via solvent, light, temperature, and redox. Chinese Chemical Letters, 2026, 37(2): 111710-. doi: 10.1016/j.cclet.2025.111710

Metrics
  • PDF Downloads(0)
  • Abstract views(1953)
  • HTML views(134)

通讯作者: 陈斌, bchen63@163.com
  • 1. 

    沈阳化工大学材料科学与工程学院 沈阳 110142

  1. 本站搜索
  2. 百度学术搜索
  3. 万方数据库搜索
  4. CNKI搜索
Address:Zhongguancun North First Street 2,100190 Beijing, PR China Tel: +86-010-82449177-888
Powered By info@rhhz.net

/

DownLoad:  Full-Size Img  PowerPoint
Return