Citation: GUO Qing-hua, WEI Jun-tao, GONG Yan, YU Guang-suo. Mechanism analysis of synergy behavior during blended char co-gasification of bituminous coal and rice straw[J]. Journal of Fuel Chemistry and Technology, ;2018, 46(4): 399-405. shu

Mechanism analysis of synergy behavior during blended char co-gasification of bituminous coal and rice straw

  • Corresponding author: YU Guang-suo, gsyu@ecust.edu.cn
  • Received Date: 15 January 2018
    Revised Date: 1 March 2018

    Fund Project: The project was supported by National Key R & D Program of China (2017YFB0602601)National Key R & D Program of China 2017YFB0602601

Figures(5)

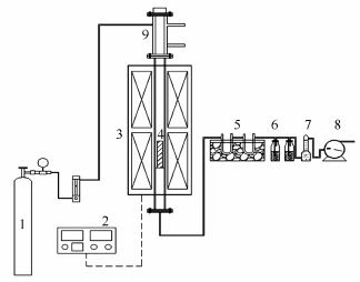
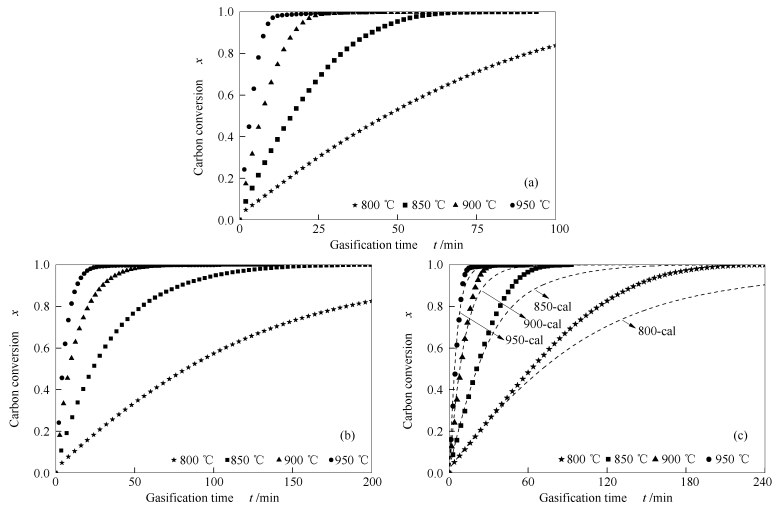
  • The gasification reactivity of Shenfu bituminous coal char, rice straw char and their blended char and the synergy behavior in blend were studied using TGA. Additionally, inductively coupled plasma emission spectrometer and scanning electron microscopy coupled with energy disperse spectroscopy were employed to explore the active AAEM transformation characteristics in co-gasification process, so as to correlate and explain the synergy behavior variations during co-gasification. The results show that the addition of rice straw char to coal char was favorable for promoting the overall char gasification reactivity compared with individual coal char gasification. The synergy behavior at different co-gasification conversions changes from the gradually decreasing inhibition effect at the early stage of co-gasification to the gradually enhanced synergistic effect when reaching a turning conversion that is increased at higher gasification temperature. The synergy behavior variations during blended char co-gasification are attributed to the combined effect of active K and Ca transformation characteristics in co-gasification process. Furthermore, the overall synergy behavior of blended char co-gasification is shown as a positive synergistic effect, and it is weakened with the increase of gasification temperature.
  • 加载中
    1. [1]

      WANG Fu-chen, YU Guang-suo, GONG Xin, LIU Hai-feng, WANG Yi-fei, ZHOU Zhi-jie, CHEN Xue-li. Research and development of large-scale coal gasification technology[J]. Chem Ind Eng Prog, 2009,28(2):173-180.  

    2. [2]

      REN Hai-jun, ZHANG Yong-qi, FANG Yi-tian, WANG Yang. Co-gasification properties of coal char and biomass char[J]. J Fuel Chem Technol, 2012,40(2):143-148.  

    3. [3]

      RIZKIANA J, GUAN G Q, WIDAYATNO W B, HAO X G, HUANG W, TSUTSUMI A, ABUDULA A. Effect of biomass type on the performance of co-gasification of low rank coal with biomass at relatively low temperatures[J]. Fuel, 2014,134:414-419. doi: 10.1016/j.fuel.2014.06.008

    4. [4]

      CHEN Hong-wei, YANG Xin, HAN Yue, ZHAO Zhen-hu. Experimental study on the influence of pyrolysis condition on co-gasification characteristics of rice straw and Datong bituminous coal[J]. J Eng Therm Energ Power, 2017,32(8):94-99.  

    5. [5]

      ZHANG Y, ZHENG Y, YANG M J, SONG Y C. Effect of fuel origin on synergy during co-gasification of biomass and coal in CO2[J]. Bioresour Technol, 2016,200:789-794. doi: 10.1016/j.biortech.2015.10.076

    6. [6]

      DING L, ZHANG Y Q, WANG Z Q, HUANG J J, FANG Y T. Interaction and its induced inhibiting or synergistic effects during co-gasification of coal char and biomass char[J]. Bioresour Technol, 2014,173:11-20. doi: 10.1016/j.biortech.2014.09.007

    7. [7]

      HABIBI R, KOPYSCINSKI J, MASNADI M S, LAM J, GRACE J R, MIMS C A, HILL J M. Co-gasification of biomass and non-biomass feedstocks:Synergistic and inhibition effects of switchgrass mixed with sub-bituminous coal and fluid coke during CO2 gasification[J]. Energy Fuels, 2012,27:494-500.  

    8. [8]

      QIU Peng-hua, DU Chang-shuai, LIU Li. Structural characteristics of char derived from acid-washed coal pyrolysis and its corrections with char reactivity[J]. J China Coal Soc, 2017,42(S1):233-239.  

    9. [9]

      CHEN H D, CHEN X L, QIAO Z, LIU H F. Release and transformation characteristics of K and Cl during straw torrefaction and mild pyrolysis[J]. Fuel, 2016,167:31-39. doi: 10.1016/j.fuel.2015.11.059

    10. [10]

      KANG K, AZARGOHAR R, DALAI A K, WANG H. Hydrogen production from lignin, cellulose and waste biomass via supercritical water gasification:Catalyst activity and process optimization study[J]. Energy Convers Manage, 2016,117:528-537. doi: 10.1016/j.enconman.2016.03.008

    11. [11]

      MARCHAND D J, SCHNEIDER E, WILLIAMS B P, JOO Y L, KIM J, KIM G T, KIM S H. Physical and chemical changes of coal during catalytic fluidized bed gasification[J]. Fuel Process Technol, 2015,130:292-298. doi: 10.1016/j.fuproc.2014.10.039

    12. [12]

      GIL M V, RIAZA J, ÁLVAREZ L, PEVIDA C, RUBIERA F. Biomass devolatilization at high temperature under N2 and CO2:Char morphology and reactivity[J]. Energy, 2015,91:655-662. doi: 10.1016/j.energy.2015.08.074

    13. [13]

      HUO W, ZHOU Z J, CHEN X L, DAI Z H, YU G S. Study on CO2 gasification reactivity and physical characteristics of biomass, petroleum coke and coal chars[J]. Bioresour Technol, 2014,159:143-149. doi: 10.1016/j.biortech.2014.02.117

    14. [14]

      MA Z, BAI J, LI W, BAI Z Q, KONG L X. Mineral transformation in char and its effect on coal char gasification reactivity at high temperatures, Part 1:Mineral transformation in char[J]. Energy Fuels, 2013,27:4545-4554. doi: 10.1021/ef4010626

    15. [15]

      XIANG Yin-hua, WANG Yang, ZHANG Jian-min, DONG Zhong-bing, LI Bin. Study on structural properties and their affecting factors during gasification of chars[J]. J Fuel Chem Technol, 2002,30(2):108-112.  

    16. [16]

      LI S, WHITTY K J. Physical phenomena of char-slag transition in pulverized coal gasification[J]. Fuel Process Technol, 2012,95(2):127-136.  

    17. [17]

      ZHANG Kai, TANG Da-zhen, TAO Shu, LIU Yan-fei, CHEN Shi-da. Study on influence factors of adsorption capacity of different metamorphic degree coals[J]. Coal Sci Technol, 2017,45(5):192-197.  

    18. [18]

      OKUNO T, SONOYAMA N, HAYASHI J, LI C Z, SATHE C, CHIBA T. Primary release of alkali and alkaline earth metallic species during the pyrolysis of pulverized biomass[J]. Energy Fuels, 2005,19:2164-2171. doi: 10.1021/ef050002a

    19. [19]

      LU X C, LI F C, WASTON A T. Adsorption measurements in devomianshales[J]. Fuel, 1995,74:599-603. doi: 10.1016/0016-2361(95)98364-K

  • 加载中
    1. [1]

      Shiyi WANGChaolong CHENXiangjian KONGLansun ZHENGLasheng LONG . Polynuclear lanthanide compound [Ce4Ce6(μ3-O)4(μ4-O)4(acac)14(CH3O)6]·2CH3OH for the hydroboration of amides to amine. Chinese Journal of Inorganic Chemistry, 2025, 41(1): 88-96. doi: 10.11862/CJIC.20240342

    2. [2]

      Zhonghan Xu Yuejia Li Kin Shing Chan . 碳中和新旅程. University Chemistry, 2025, 40(6): 167-171. doi: 10.12461/PKU.DXHX202407075

    3. [3]

      Qianqian ZHULihui XUHong PANChengjian YAOHong ZHAONan MAXiaolin SHIZihan SHENWeijun ZHANGZhongjian WANG . Waste cotton fabric-ased porous carbon materials: Preparation and wave-absorbing properties. Chinese Journal of Inorganic Chemistry, 2025, 41(8): 1555-1564. doi: 10.11862/CJIC.20250040

    4. [4]

      Jiahong WANGZekun XUTianjiao LUJinming HUANG . Performance of N, Mn doped semi-coke activated carbon catalyzed ozone oxidation for the degradation of tetracycline hydrochloride in water. Chinese Journal of Inorganic Chemistry, 2025, 41(12): 2549-2560. doi: 10.11862/CJIC.20250120

    5. [5]

      Chi Zhang Yi Xu Xiaopeng Guo Zian Jie Ling Li . 五彩斑斓的秘密——物质显色机理. University Chemistry, 2025, 40(6): 266-275. doi: 10.12461/PKU.DXHX202407061

    6. [6]

      Dongdong Yao JunweiGu Yi Yan Junliang Zhang Yaping Zheng . Teaching Phase Separation Mechanism in Polymer Blends Using Process Representation Teaching Method: A Teaching Design for Challenging Theoretical Concepts in “Polymer Structure and Properties” Course. University Chemistry, 2025, 40(4): 131-137. doi: 10.12461/PKU.DXHX202408125

    7. [7]

      Kuaibing Wang Feifei Mao Weihua Zhang Bo Lv . Design and Practice of a Comprehensive Teaching Experiment for Preparing Biomass Carbon Dots from Rice Husk. University Chemistry, 2025, 40(5): 342-350. doi: 10.12461/PKU.DXHX202407042

    8. [8]

      Lu ZhuoranLi ShengkaiLu YuxuanWang ShuangyinZou Yuqin . Cleavage of C―C Bonds for Biomass Upgrading on Transition Metal Electrocatalysts. Acta Physico-Chimica Sinica, 2024, 40(4): 2306003-0. doi: 10.3866/PKU.WHXB202306003

    9. [9]

      Xinlong XUChunxue JINGYuzhen CHEN . Bimetallic MOF-74 and derivatives: Fabrication and efficient electrocatalytic biomass conversion. Chinese Journal of Inorganic Chemistry, 2025, 41(8): 1545-1554. doi: 10.11862/CJIC.20250046

    10. [10]

      Weilai YuChuanbiao Bie . Unveiling S-Scheme Charge Transfer Mechanism. Acta Physico-Chimica Sinica, 2024, 40(4): 2307022-0. doi: 10.3866/PKU.WHXB202307022

    11. [11]

      Yahui Ma Leiyang Lv . Pears on the Journey of Fruits. University Chemistry, 2024, 39(9): 64-73. doi: 10.12461/PKU.DXHX202404029

    12. [12]

      Xiaosong PUHangkai WUTaohong LIHuijuan LIShouqing LIUYuanbo HUANGXuemei LI . Adsorption performance and removal mechanism of Cd(Ⅱ) in water by magnesium modified carbon foam. Chinese Journal of Inorganic Chemistry, 2024, 40(8): 1537-1548. doi: 10.11862/CJIC.20240030

    13. [13]

      Heng Zhang . Determination of All Rate Constants in the Enzyme Catalyzed Reactions Based on Michaelis-Menten Mechanism. University Chemistry, 2024, 39(4): 395-400. doi: 10.3866/PKU.DXHX202310047

    14. [14]

      Jiajie Li Xiaocong Ma Jufang Zheng Qiang Wan Xiaoshun Zhou Yahao Wang . Recent Advances in In-Situ Raman Spectroscopy for Investigating Electrocatalytic Organic Reaction Mechanisms. University Chemistry, 2025, 40(4): 261-276. doi: 10.12461/PKU.DXHX202406117

    15. [15]

      Rohit KumarAnita SudhaikAftab Asalam Pawaz KhanVan Huy NeguyenArchana SinghPardeep SinghSourbh ThakurPankaj Raizada . Designing tandem S-scheme photo-catalytic systems: Mechanistic insights, characterization techniques, and applications. Acta Physico-Chimica Sinica, 2025, 41(11): 100150-0. doi: 10.1016/j.actphy.2025.100150

    16. [16]

      Changsheng AnTao Liu . Decoding SEI chemistry at the lithium-metal potential. Acta Physico-Chimica Sinica, 2025, 41(9): 100101-0. doi: 10.1016/j.actphy.2025.100101

    17. [17]

      Yuejiao AnWenxuan LiuYanfeng ZhangJianjun ZhangZhansheng Lu . Revealing Photoinduced Charge Transfer Mechanism of SnO2/BiOBr S-Scheme Heterostructure for CO2 Photoreduction. Acta Physico-Chimica Sinica, 2024, 40(12): 2407021-0. doi: 10.3866/PKU.WHXB202407021

    18. [18]

      Mian WeiChang ChengBowen HeBei ChengKezhen QiChuanbiao Bie . Inorganic-organic CdS/YBTPy S-scheme photocatalyst for efficient hydrogen production and its mechanism. Acta Physico-Chimica Sinica, 2025, 41(12): 100158-0. doi: 10.1016/j.actphy.2025.100158

    19. [19]

      Yingchun ZHANGYiwei SHIRuijie YANGXin WANGZhiguo SONGMin WANG . Dual ligands manganese complexes based on benzene sulfonic acid and 2, 2′-bipyridine: Structure and catalytic properties and mechanism in Mannich reaction. Chinese Journal of Inorganic Chemistry, 2024, 40(8): 1501-1510. doi: 10.11862/CJIC.20240078

    20. [20]

      Ronghao Zhao Yifan Liang Mengyao Shi Rongxiu Zhu Dongju Zhang . Investigation into the Mechanism and Migratory Aptitude of Typical Pinacol Rearrangement Reactions: A Research-Oriented Computational Chemistry Experiment. University Chemistry, 2024, 39(4): 305-313. doi: 10.3866/PKU.DXHX202309101

Metrics
  • PDF Downloads(4)
  • Abstract views(914)
  • HTML views(101)

通讯作者: 陈斌, bchen63@163.com
  • 1. 

    沈阳化工大学材料科学与工程学院 沈阳 110142

  1. 本站搜索
  2. 百度学术搜索
  3. 万方数据库搜索
  4. CNKI搜索
Address:Zhongguancun North First Street 2,100190 Beijing, PR China Tel: +86-010-82449177-888
Powered By info@rhhz.net

/

DownLoad:  Full-Size Img  PowerPoint
Return