Citation: LI Jun-hua, WANG Li-na, ZHANG Dan, QIAN Jian-hua, LIU Lin, XING Jin-juan. Effect of ZSM-5 acid modification on aromatization performance of methanol[J]. Journal of Fuel Chemistry and Technology, ;2019, 47(8): 957-963. shu

Effect of ZSM-5 acid modification on aromatization performance of methanol

  • Corresponding author: ZHANG Dan, bestzhangdan@163.com
  • Received Date: 20 March 2019
    Revised Date: 18 June 2019

    Fund Project: The project was supported by National Natural Science Foundation of China(21606117), Liaoning Natural Science Foundation(2015020623, 201602380), Liaoning Innovation Team Project(2018-479-14, LT2015001)and Bohai University Doctoral Start-up Fund(0518bs016, 0518bs019)Liaoning Natural Science Foundation 201602380Liaoning Natural Science Foundation 2015020623Bohai University Doctoral Start-up Fund 0518bs019Bohai University Doctoral Start-up Fund 0518bs016Liaoning Innovation Team Project LT2015001National Natural Science Foundation of China 21606117Liaoning Innovation Team Project 2018-479-14

Figures(7)

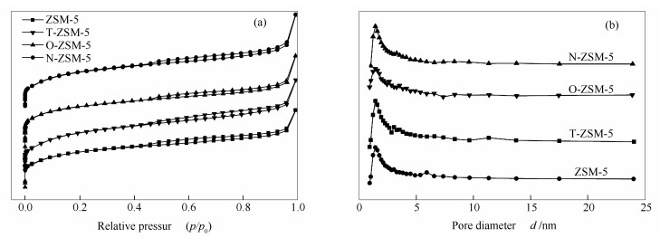
  • ZSM-5 zeolites were modified with tartaric acid, oxalic acid and nitric acid. The physicochemical properties of ZSM-5 zeolites, such as crystal structure, acid content, surface area and pore volume, were characterized by XRD, SEM, NH3-TPD, XRF, 27Al MAS NMR, pyridine adsorption infrared spectroscopy and N2 adsorption-desorption isotherms. The catalytic activity of ZSM-5 zeolites were investigated under the condition of reaction temperature 422 ℃ and methanol mass space velocity of 4.74 h-1. The specific surface area, acidity, pore volume and catalytic performance of the catalyst are affected by acid modification. The acid-modified zeolites show good catalytic activity in methanol aromatization (MTA) reaction, and oxalic acid modified catalyst shows higher catalytic activity and selectivity. The yield of aromatic hydrocarbons and BTX reaches 57.40% and 39.40% for reaction time at 8 h, respectively.
  • 加载中
    1. [1]

      LIU B, LU S W, LIU E Z, HU X Y, FAN J. Methanol aromatization over CrZn-modified HZSM-5 catalysts[J]. Korean J Chem Eng, 2018,35(4):867-874. doi: 10.1007/s11814-017-0345-1

    2. [2]

      ZHANG G Q, BAI T, CHEN T F, FAN W T, ZHANG X. Conversion of methanol to light aromatics on Zn-modified nano-HZSM-5 zeolite catalysts[J]. Ind Eng Chem Res, 2014,53(39):14932-14940. doi: 10.1021/ie5021156

    3. [3]

      BI Y, WANG Y L, CHEN X, YU Z X, XU L. Methanol aromatization over HZSM-5 catalysts modified with different zinc salts[J]. Chin J Catal, 2014,35(10):1740-1751. doi: 10.1016/S1872-2067(14)60145-5

    4. [4]

      LI J H, CHAO H, TONG K, XIANG H, ZHU Z R, HU Z H. CO2 atmosphere-enhanced methanol aromatization over the NiO-HZSM-5catalyst[J]. RSC Adv, 2014,4(84):44377-44385. doi: 10.1039/C4RA06572G

    5. [5]

      WANG N, QIAN W Z, SHEN K, SU C, WEI F. Bayberry-like ZnO/MFI zeolite as high performance methanol-to-aromatics catalyst[J]. Chem Commun, 2016,52(10):2011-2014. doi: 10.1039/C5CC08471G

    6. [6]

      ZAIDI H K, PANT K K. Catalytic conversion of mathanol to gasoline rang hydrocarbons[J]. Catal Today, 2004,96(3):155-160. doi: 10.1016/j.cattod.2004.06.123

    7. [7]

      ZHANG Jin-gui, QIAN Wei-zhong, TANG Xiao-ping, SHEN Kui, WANG Tong, HUANG Xiao-fan, WEI Fei. Influence of catalyst acidity on dealkylation, isomerization and alkylation in MTA process[J]. Acta Phys-Chim Sin, 2013,29(6):1281-1288. doi: 10.3866/PKU.WHXB201304101

    8. [8]

      DUAN Chao, QI Xiao-feng, ZHANG Rui, WANG Hong-mei, XIE Xiao-li, PAN Rui-juan. Methanol aromatization over ZSM-5 catalysts prepared with different oxides[J]. Ind Catal, 2014,22(6):437-442. doi: 10.3969/j.issn.1008-1143.2014.06.006

    9. [9]

      GENG Rui, DONG Mei, WANG Hao, NIU Xian-jun, FAN Wei-bin, WANG Jian-guo, QIN Zhang-feng. An investigation on the catalytic performance of 10 MR zeolites in methanol aromatization reaction[J]. J Fuel Chem Technol, 2014,42(9):1119-1127. doi: 10.3969/j.issn.0253-2409.2014.09.013 

    10. [10]

      SHEN X Q, KANG J C, NIU W, WANG M G, ZHANG Q H, WANG Y. Impact of hierarchical pore structure on catalytic performances of MFI zeolites modified by ZnO for the conversion of methanol to aromatics[J]. Catal Sci Technol, 2017,7(16):3598-3612. doi: 10.1039/C7CY01041A

    11. [11]

      WANG Xiao-xing, ZHANG Tao, ZHANG Jun-feng, XIE Hong-jian, HAN Yi-zhuo, TAN Yi-sheng. Synthesis of mesoporous HZnZSM-5 zeolite and its catalytic performance in methanol aromatization[J]. Acta Pet Sin (Pet Process Sect), 2014,30(2):336-342. doi: 10.3969/j.issn.1001-8719.2014.02.022

    12. [12]

      BARBER K, BONINO F, BORDIGA S, JANSSENS T V W, BEATO P. Structure-deactivation relationship for ZSM-5 catalysts governed by framework defects[J]. J Catal, 2011,280(2):196-205. doi: 10.1016/j.jcat.2011.03.016

    13. [13]

      WANG Lu, XU Li-xing, LI Jian, REN Hao-nan, CHU Shuang, WANG Li-juan, YANG Li-na. Studies on micro-bimodal mesoporous core-shell HZSM-5@BMMs catalyst for methanol to aromatics[J]. Fine Chem, 2018,35(9):1562-1566.  

    14. [14]

      WANG P F, HUANG L Z, LI J F, DONG M, WANG J G, TATSUMI T, FAN W B. Catalytic properties and deactivation behavior of H-MCM-22 in the conversion of methanol tohydrocarbons[J]. RSC Adv, 2015,5(36):28794-28802. doi: 10.1039/C5RA00048C

    15. [15]

      MENG F J, WANG Y Q, WANG S H. Methanol to gasoline over zeolite ZSM-5:Improved catalyst performance by treatment with HF[J]. RSC Adv, 2016,6(63):58586-58593. doi: 10.1039/C6RA14513B

    16. [16]

      ZHOU J, TENG J W, REN L P, WANG Y D, LIU Z C, LIU W, YANG W M, XIE Z K. Full-crystalline hierarchical monolithic ZSM-5 zeolites as superiorly active and long-lived practical catalysts in methanol-to-hydrocarbons reaction[J]. J Catal, 2016,340:166-176. doi: 10.1016/j.jcat.2016.05.009

    17. [17]

      YOU S J, PARK E D. Effects of dealumination and desilication of H-ZSM-5 on xylose dehydration[J]. Microporous Mesoporous Mater, 2014,186:121-129. doi: 10.1016/j.micromeso.2013.11.042

    18. [18]

      ZHOU F, GAO Y, WU G, MA F W, LIU C T. Improved catalytic performance and decreased coke formation in post-treated ZSM-5 zeolites for methanol aromatization[J]. Microporous Mesoporous Mater, 2017,240:96-107. doi: 10.1016/j.micromeso.2016.11.014

    19. [19]

      FENG R, YAN X L, HU X Y, WANG Y L, LI Z, HOU K, LIU J W. Hierarchical ZSM-5 zeolite designed by combining desilication and dealumination with related study of n-heptane cracking performance[J]. J Porous Mater, 2018,25(6):1743-1756. doi: 10.1007/s10934-018-0587-2

    20. [20]

      SKLENAK S, DEDECEK J, LI C B, WICHTERLOVA B, GABOVA V, SIERKA M, SAUER T. Aluminium siting in the ZSM-5 framework by combination of high resolution 27Al NMR and DFT/MM calculations[J]. Phys Chem Chem Phys, 2009,11(8):1237-1247. doi: 10.1039/B807755J

    21. [21]

      WU Tao, YUAN Gui-mei, CHEN Sheng-li, XUE Yang, LI Shu-juan. Synthesis of ZSM-5 and its application in butylene catalytic cracking[J]. J Fuel Chem Technol, 2017,45(2):182-188. doi: 10.3969/j.issn.0253-2409.2017.02.007 

    22. [22]

      TOPSØE N Y, PEDERSEN K, DEROUAN E G. Infrared and temperature-programmed desorption study of the acidic properties of ZSM-5-type zeolites[J]. J Catal, 1981,70:41-52. doi: 10.1016/0021-9517(81)90315-8

    23. [23]

      CHEN Xiao-di, LI Xue-gang, LI Hu, ZHANG Yu-ling, HAN Jia-ji, XIAO Wen-de. Organic acid-modified high silica HZSM-5 zeolite and application thereof in methanol to propylene[J]. Petrochem Technol, 2018,47(5):408-414. doi: 10.3969/j.issn.1000-8144.2018.05.002

    24. [24]

      WEI Z H, XIA T F, LIU M H, CAO Q S, XU Y R, ZHU K, ZHU X D. Alkaline modification of ZSM-5 catalysts for methanol aromatization:The effect of the alkaline concentration[J]. Front Chem Sci Eng, 2015,9(4):450-460. doi: 10.1007/s11705-015-1542-2

    25. [25]

      JIA Y M, WANG J W, ZHANG K, LIU S B, CHEN G L, YANG Y F, DING C M, LIU P. Catalytic conversion of methanol to aromatics over nanosized HZSM-5 zeolite modified by ZnSiF6·6H2O[J]. Catal Sci Technol, 2017,7(8):1776-1791. doi: 10.1039/C7CY00143F

    26. [26]

      NI Y M, SUN A M, WU X L, HAI G L, HU J L, LI T, LI G X. The preparation of nano-sized H[J]. Microporous Mesoporous Mater, 2011,143(2/3):435-442.  

  • 加载中
    1. [1]

      Yi RUTao MENGZhaoteng XUEDongsen MAO . Synergistic catalysis of Al distribution and pore structure in ZSM-5 zeolite for bioethanol-to-propylene. Chinese Journal of Inorganic Chemistry, 2026, 42(2): 247-262. doi: 10.11862/CJIC.20250255

    2. [2]

      Yufang GAONan HOUYaning LIANGNing LIYanting ZHANGZelong LIXiaofeng LI . Nano-thin layer MCM-22 zeolite: Synthesis and catalytic properties of trimethylbenzene isomerization reaction. Chinese Journal of Inorganic Chemistry, 2024, 40(6): 1079-1087. doi: 10.11862/CJIC.20240036

    3. [3]

      Mengxiu LiJiahui MaoJiangfeng NiLiang Li . Three birds with one stone: modification of Li5FeO4 with thermal induction of Lewis acid. Acta Physico-Chimica Sinica, 2026, 42(4): 100189-0. doi: 10.1016/j.actphy.2025.100189

    4. [4]

      Xingyang LITianju LIUYang GAODandan ZHANGYong ZHOUMeng PAN . A superior methanol-to-propylene catalyst: Construction via synergistic regulation of pore structure and acidic property of high-silica ZSM-5 zeolite. Chinese Journal of Inorganic Chemistry, 2024, 40(7): 1279-1289. doi: 10.11862/CJIC.20240026

    5. [5]

      Junke LIUKungui ZHENGWenjing SUNGaoyang BAIGuodong BAIZuwei YINYao ZHOUJuntao LI . Preparation of modified high-nickel layered cathode with LiAlO2/cyclopolyacrylonitrile dual-functional coating. Chinese Journal of Inorganic Chemistry, 2024, 40(8): 1461-1473. doi: 10.11862/CJIC.20240189

    6. [6]

      Xinyu You Xin Zhang Shican Jiang Yiru Ye Lin Gu Hexun Zhou Pandong Ma Jamal Ftouni Abhishek Dutta Chowdhury . Efficacy of Ca/ZSM-5 zeolites derived from precipitated calcium carbonate in the methanol-to-olefin process. Chinese Journal of Structural Chemistry, 2024, 43(4): 100265-100265. doi: 10.1016/j.cjsc.2024.100265

    7. [7]

      Yong Shu Xing Chen Sai Duan Rongzhen Liao . How to Determine the Equilibrium Bond Distance of Homonuclear Diatomic Molecules: A Case Study of H2. University Chemistry, 2024, 39(7): 386-393. doi: 10.3866/PKU.DXHX202310102

    8. [8]

      Shanyuan BiJin ZhangDengchao PengDanhong ChengJianping ZhangLupeng HanDengsong Zhang . Improved N2 selectivity for low-temperature NOx reduction over etched ZSM-5 supported MnCe oxide catalysts. Chinese Chemical Letters, 2025, 36(5): 110295-. doi: 10.1016/j.cclet.2024.110295

    9. [9]

      Zhuwei Yang Linsen Li Yijie Lin Xinyuan Tao Xiao Liu Lei Chen Ming Ma Li Lin Riguang Zhang Jiayuan Li Zhao Jiang . Regulating the Oxygen Vacancies in Ni-CexZr1-xO2/ZSM-5 to Improve the Long-term Stability for Methane Dry Reforming. Chinese Journal of Structural Chemistry, 2025, 44(8): 100632-100632. doi: 10.1016/j.cjsc.2025.100632

    10. [10]

      Yuhao SUNQingzhe DONGLei ZHAOXiaodan JIANGHailing GUOXianglong MENGYongmei GUO . Synthesis and antibacterial properties of silver-loaded sod-based zeolite. Chinese Journal of Inorganic Chemistry, 2024, 40(4): 761-770. doi: 10.11862/CJIC.20230169

    11. [11]

      Jiali CHENGuoxiang ZHAOYayu YANWanting XIAQiaohong LIJian ZHANG . Machine learning exploring the adsorption of electronic gases on zeolite molecular sieves. Chinese Journal of Inorganic Chemistry, 2025, 41(1): 155-164. doi: 10.11862/CJIC.20240408

    12. [12]

      Yiping HUANGLiqin TANGYufan JICheng CHENShuangtao LIJingjing HUANGXuechao GAOXuehong GU . Hollow fiber NaA zeolite membrane for deep dehydration of ethanol solvent by vapor permeation. Chinese Journal of Inorganic Chemistry, 2025, 41(2): 225-234. doi: 10.11862/CJIC.20240224

    13. [13]

      Pei LiYuenan ZhengZhankai LiuAn-Hui Lu . Boron-Containing MFI Zeolite: Microstructure Control and Its Performance of Propane Oxidative Dehydrogenation. Acta Physico-Chimica Sinica, 2025, 41(4): 100034-0. doi: 10.3866/PKU.WHXB202406012

    14. [14]

      Qinhui GuanYuhao GuoNa LiJing LiTingjiang Yan . Molecular sieve-mediated indium oxide catalysts for enhancing photocatalytic CO2 hydrogenation. Acta Physico-Chimica Sinica, 2025, 41(11): 100133-0. doi: 10.1016/j.actphy.2025.100133

    15. [15]

      Mengyang LIHao XUZhonghao NIUChunhua GONGWeihui ZHONGJingli XIE . Highly effective catalytic synthesis of β-amino alcohols by using viologen-polyoxometalate hybrid materials. Chinese Journal of Inorganic Chemistry, 2025, 41(7): 1294-1300. doi: 10.11862/CJIC.20250080

    16. [16]

      Hanxue LIUShijie LIMeng RENXuling XUEHongke LIU . Design and antitumor properties of dehydroabietic acid functionalized cyclometalated iridium(Ⅲ) complex. Chinese Journal of Inorganic Chemistry, 2025, 41(8): 1483-1494. doi: 10.11862/CJIC.20250031

    17. [17]

      Jingxuan Zhang Weihao Jiang Siyuan Zhang Hongye Tian Ziye Huang Lin Huang Qikun Wu Jing Yang Yibin Jiang Cheng Wang . Automation and AI-Assisted Investigation of the Chemical Reactivity of Sulfosalicylic Acid. University Chemistry, 2026, 41(1): 332-345. doi: 10.12461/PKU.DXHX202505108

    18. [18]

      Shanghua LiMalin LiXiwen ChiXin YinZhaodi LuoJihong Yu . High-Stable Aqueous Zinc Metal Anodes Enabled by an Oriented ZnQ Zeolite Protective Layer with Facile Ion Migration Kinetics. Acta Physico-Chimica Sinica, 2025, 41(1): 100003-0. doi: 10.3866/PKU.WHXB202309003

    19. [19]

      Wenjun Yang Qiaoling Tan Wenjiao Xie Xiaoyu Pan Youyong Yuan . Construction and Characterization of Calcium Alginate Microparticle Drug Delivery System: A Novel Design and Teaching Practice in Polymer Experiments. University Chemistry, 2025, 40(3): 371-380. doi: 10.12461/PKU.DXHX202405150

    20. [20]

      Xiaosong PUHangkai WUTaohong LIHuijuan LIShouqing LIUYuanbo HUANGXuemei LI . Adsorption performance and removal mechanism of Cd(Ⅱ) in water by magnesium modified carbon foam. Chinese Journal of Inorganic Chemistry, 2024, 40(8): 1537-1548. doi: 10.11862/CJIC.20240030

Metrics
  • PDF Downloads(21)
  • Abstract views(2407)
  • HTML views(385)

通讯作者: 陈斌, bchen63@163.com
  • 1. 

    沈阳化工大学材料科学与工程学院 沈阳 110142

  1. 本站搜索
  2. 百度学术搜索
  3. 万方数据库搜索
  4. CNKI搜索
Address:Zhongguancun North First Street 2,100190 Beijing, PR China Tel: +86-010-82449177-888
Powered By info@rhhz.net

/

DownLoad:  Full-Size Img  PowerPoint
Return