Citation: ZHONG Sheng-wen, HU Xian-chao, YU Yuan, YU Chang-lin, ZHOU Yang. Core-shell hierarchical tungsten carbide composite microspheres towards methanol electrooxidation[J]. Journal of Fuel Chemistry and Technology, ;2018, 46(5): 585-591. shu

Core-shell hierarchical tungsten carbide composite microspheres towards methanol electrooxidation

  • Corresponding author: ZHOU Yang, yangzhou1998@126.com
  • Received Date: 13 October 2017
    Revised Date: 16 March 2018

    Fund Project: Program of 5511 Talents in Scientific and Technological Innovation of Jiangxi Province 20165BCB18014National Natural Science Foundation of China 21506187National Natural Science Foundation of China 21567008National Natural Science Foundation of China 51404110Education Department Project Fund of Jiangxi Province GJJ150665Undergraduate Innovation Training Program XZG-16-08-14The project was supported by National Natural Science Foundation of China (51404110, 21567008 and 21506187), Education Department Project Fund of Jiangxi Province (GJJ150665), Program of 5511 Talents in Scientific and Technological Innovation of Jiangxi Province (20165BCB18014) and Undergraduate Innovation Training Program (XZG-16-08-14)

Figures(7)

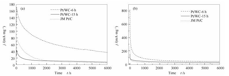
  • Tungsten carbides microspheresare synthesized by in situ reduction of ammonium met tungstate microspheres (AMT) precursors as a function of reaction time under CO/CO2 mixture atmosphere. The morphology, size and composition of the as-prepared tungsten carbide microspheres are characterized using X-ray diffraction (XRD), scanning electron microscopy (SEM) and X-ray photoelectron spectroscopy (XPS). Pt nanoparticles with a diameter of 4.6 nm are loaded onto the surface of WC microspheres using a conventional sodium borohydride reduction method. The electro-catalytic activity and stability toward methanol electrooxidation (MOR) are investigated using cyclic voltammetry (CV) and chronoamperometry(CA). The resultant Pt/WCO-6 h catalyst exhibits low onset potential and excellent catalytic performances in comparison to the commercial JM Pt/C and Pt/WC-15 h catalysts. Further investigation shows that besides the synergistic effect between WC and Pt, the existence of WO2 might also play an important role in improving the electro-catalytic activity, indicating the positive effect of the surface oxide on the activity and stability of Pt/WC catalysts towards MOR.
  • 加载中
    1. [1]

      LANG X, SHI M, JIANG Y, CHEN H, MA C. Tungsten carbide/porous carbon core-shell nanocomposites as a catalyst support for methanol oxidation[J]. RSC Adv, 2016,6(17):13873-13880. doi: 10.1039/C5RA18817B

    2. [2]

      JING S C, GUO X L, TAN Y W. Branched Pd and Pd-based trimetallic nanocrystals with highly open structures for methanol electrooxidation[J]. J Mater Chem A, 2016,4(20):7950-7961. doi: 10.1039/C5TA10046A

    3. [3]

      ZHOU Y, HU X C, ZENG M, FU J X, ZHONG S W. Platinum nanoparticles supported on three-dimensionalgraphene as electro-cacatalyst for methanol oxidation[J]. J Fuel Chem Technol, 2017,45(2):194-199.

    4. [4]

      CHEN Z Y, MA C A, ChU Y Q, JIN J M, LIN X, HARDACRE C, LIN W F. WC@meso-Pt core-shell nanostructures for fuel cells[J]. Chem Commun, 2013,49(99):11677-11679. doi: 10.1039/c3cc46595k

    5. [5]

      MA C A, LIU W, SHI M, LANG X, CHU Y, CHEN Z, ZHAO D, LIN W, HARDACRE C. Low loading platinum nanoparticles on reduced graphene oxide-supported tungsten carbide crystallites as a highly active electrocatalyst for methanol oxidation[J]. Electrochim Acta, 2013,114:133-141. doi: 10.1016/j.electacta.2013.10.034

    6. [6]

      GANESAN R, HAM D J, LEE J S. Platinized mesoporous tungsten carbide for electrochemical methanol oxidation[J]. Electrochem Commun, 2007,9(10):2576-2579. doi: 10.1016/j.elecom.2007.08.002

    7. [7]

      MELLINGER Z J, KELLY T G, CHEN J G. Pd-Modified tungsten carbide for methanol electro-oxidation:From surface science studies to electrochemical evaluation[J]. ACS Catal, 2012,2(5):751-758. doi: 10.1021/cs200620x

    8. [8]

      ZELLNER M B, CHEN J G. Surface science and electrochemical studies of WC and W2C PVD films as potential electrocatalysts[J]. Catal Today, 2005,99(3/4):299-307.

    9. [9]

      WEIGERT E C, ZELLNER M B, STOTTLEMYER A L, CHEN J G. A combined surface science and electrochemical study of tungsten carbides as anode electrocatalysts[J]. Top Catal, 2007,46(3/4):349-357.  

    10. [10]

      WANG Y, SONG S, MARAGOU V, SHEN P K, TSIAKARAS P. High surface area tungsten carbide microspheres as effective Pt catalyst support for oxygen reduction reaction[J]. Appl Catal B:Environ, 2009,89:223-228. doi: 10.1016/j.apcatb.2008.11.032

    11. [11]

      GANESAN R, LEE J S. Tungsten carbide microspheres as a noble-metal-economic electrocatalyst for methanol oxidation[J]. Angew Chem, Int Ed, 2005,44:6557-6560. doi: 10.1002/(ISSN)1521-3773

    12. [12]

      HAM D J, GANESAN R, LEE J S. Tungsten carbide microsphere as an electrode for cathodic hydrogen evolution from water[J]. Int J Hydrogen Energy, 2008,33:6865-6872. doi: 10.1016/j.ijhydene.2008.05.045

    13. [13]

      HUNT S T, NIMMANWUDIPONG T, ROMAN-LESHKOV Y. Engineering non-sintered, metal-terminated tungsten carbide nanoparticles for catalysis[J]. Angew Chem, Int Ed, 2014,126(20):5231-5236. doi: 10.1002/ange.v126.20

    14. [14]

      XIAO P, GE X, WANG H, LIU Z, FISHER A, WANG X. Novel molybdenum carbide-tungsten carbide composite nanowires and their electrochemical activation for efficient and stable hydrogen evolution[J]. Adv Funct Mater, 2015,25(10):1520-1526. doi: 10.1002/adfm.201403633

    15. [15]

      YANG X, KIMMEL Y C, FU J, KOEL B E, CHEN J G. Activation of tungsten carbide catalysts by use of an oxygen plasma pretreatment[J]. ACS Catal, 2012,2(5):765-769. doi: 10.1021/cs300081t

    16. [16]

      KIMMEL Y C, ESPOSITO D V, BIRKMIRE R W, CHEN J G. Effect of surface carbon on the hydrogen evolution reactivity of tungsten carbide (WC) and Pt-modified WC electrocatalysts[J]. Int J Hydrogen Energy, 2012,37(4):3019-3024. doi: 10.1016/j.ijhydene.2011.11.079

    17. [17]

      HUNT S T, MILINA M, ALBA-RUBIO A C, HENDON C H, DUMESIC J A, ROMAN-LESHKOV Y. Self-assembly of noble metal monolayers on transition metal carbide nanoparticle catalysts[J]. Science, 2016,352(6288):974-978. doi: 10.1126/science.aad8471

    18. [18]

      HUNT S T, KOKUMAI T M, ZANCHET D, ROMANLESHKOV Y. Alloying tungsten carbide nanoparticles with tantalum:Impact on electrochemical oxidation resistance and hydrogen evolution activity[J]. J Phys Chem C, 2015,119(24).  

    19. [19]

      HOOR F S, AHMED M F, MAYANNA S M. Methanol oxidative fuel cell:Electrochemical synthesis and characterization of low-priced WO3-Pt anode material[J]. J Solid State Electrochem, 2004,8(8):572-576.  

    20. [20]

      YE J L, LIU J G, ZOU ZG, GU J, YU T. Preparation of Pt supported on WO3-C with enhanced catalytic activity by microwave-pyrolysis method[J]. J Power Sources, 2010,195(9):2633-2637. doi: 10.1016/j.jpowsour.2009.11.055

    21. [21]

      ZHOU Y, HU X C, LIU XH, WEN H R. Core-shell hierarchical WO2/WO3 microspheres as an electrocatalyst support for methanol electrooxidation[J]. Chem Commun, 2015,51:15297-15299. doi: 10.1039/C5CC06603D

    22. [22]

      ZHOU Y, HU X C, XIAO Y J, SHU Q. Platinum nanoparticles supported on hollow mesoporous tungsten trioxide microsphere as electrocatalyst for methanol oxidation[J]. Electrochim Acta, 2013,111:588-592. doi: 10.1016/j.electacta.2013.08.057

    23. [23]

      GANESAN R, LEE J S. Tungsten carbide microspheres as a noble-metal-economic electrocatalyst for methanol oxidation[J]. Angew Chem, Int Ed, 2005,44(40):6557-6560. doi: 10.1002/(ISSN)1521-3773

    24. [24]

      MA C A, BRANDON N, LI G. Preparation and formation mechanism of hollow microspherical tungsten carbide with mesoporosity[J]. J Phys Chem C, 2007,111(26):9504-9508. doi: 10.1021/jp072378q

    25. [25]

      KATRIB A, HEMMING F, WEHRER P, HILAIRE L, MAIRE G. Surface characterization and catalytic properties of supported tungsten and platinum-tungsten carbide and oxycarbide[J]. Top Catal, 1994,1(1/2):75-85.  

    26. [26]

      LANG X, SHI M, CHU Y, LIU W, CHEN Z, MA C. Microwave-assisted synthesis of Pt-WC/TiO2 in ionic liquid and its application for methanol oxidation[J]. J Solid State Electrochem, 2013,17(9):2401-2408. doi: 10.1007/s10008-013-2060-0

    27. [27]

      LIM B, JIANG M, CAMARGO P H C, CHO E C, TAO J, LU X, ZHU Y, XIA Y. Pd-Pt bimetallic nanodendrites with high activity for oxygen reduction[J]. Science, 2009,324(5932)1302. doi: 10.1126/science.1170377

    28. [28]

      CHEN S, WEI Z, QI X Q, DONG L, GUO Y G, WAN L, SHAO Z, LI L. Nanostructured polyaniline-decorated Pt/C@PANI core-shell catalyst with enhanced durability and activity[J]. J Am Chem Soc, 2012,134(32)13252. doi: 10.1021/ja306501x

    29. [29]

      GUO S, DONG S, WANG E. Constructing carbon nanotube/Pt nanoparticle hybrids using an imidazolium-salt-based ionic liquid as a linker[J]. Adv Mater, 2010,22(11):1269-1272. doi: 10.1002/adma.v22:11

    30. [30]

      CHANG J, FENG L, LIU C, XING W, HU X. Ni2P enhances the activity and durability of the Pt anode catalyst in direct methanol fuel cells[J]. Energy Environ Sci, 2014,7(5):1628-1632. doi: 10.1039/c4ee00100a

    31. [31]

      MELLINGER Z J, KELLY T G, CHEN J G G. Pd-Modified tungsten carbide for methanol electro-oxidation:From surface science studies to electrochemical evaluation[J]. ACS Catal, 2012,2(5):751-758. doi: 10.1021/cs200620x

    32. [32]

      KELLY T G, STOTTLEMYER A L, REN H, CHEN J G. Comparison of O-H, C-H, and C-O bond scission sequence of methanol on tungsten carbide surfaces modified by Ni, Rh, and Au[J]. J Phys Chem C, 2011,115(14):6644-6650. doi: 10.1021/jp112006v

    33. [33]

      AND H H H, CHEN J G, AND K K, LAVIN J G. Potential application of tungsten carbides as electrocatalysts. 1. Decomposition of methanol over carbide-modified W(111)[J]. J Phys Chem B, 2001,105(41):10037-10044. doi: 10.1021/jp0116196

    34. [34]

      TSEUNG A C C, CHEN K Y. Hydrogen spill-over effect on Pt/WO3 anode catalysts[J]. Catal Today, 1997,38(4):439-443. doi: 10.1016/S0920-5861(97)00053-9

    35. [35]

      SHEN P K, CHEN K Y, TSEUNG A C C. Performance of Co-electrodeposited Pt-Ru/WO3 electrodes for the electrooxidation of formic-acid at room-temperature[J]. J Electroanal Chem, 1995,389(1/2):223-225.  

  • 加载中
    1. [1]

      Xinyi Hu Riguang Zhang Zhao Jiang . Depositing the PtNi nanoparticles on niobium oxide to enhance the activity and CO-tolerance for alkaline methanol electrooxidation. Chinese Journal of Structural Chemistry, 2023, 42(11): 100157-100157. doi: 10.1016/j.cjsc.2023.100157

    2. [2]

      Kaili WangPengcheng LiuMingzhe WangTianran WeiJitao LuXingling ZhaoZaiyong JiangZhimin YuanXijun LiuJia He . Modulating d-d orbitals coupling in PtPdCu medium-entropy alloy aerogels to boost pH-general methanol electrooxidation performance. Chinese Chemical Letters, 2025, 36(4): 110532-. doi: 10.1016/j.cclet.2024.110532

    3. [3]

      Hao WANGKun TANGJiangyang SHAOKezhi WANGYuwu ZHONG . Electro-copolymerized film of ruthenium catalyst and redox mediator for electrocatalytic water oxidation. Chinese Journal of Inorganic Chemistry, 2024, 40(11): 2193-2202. doi: 10.11862/CJIC.20240176

    4. [4]

      Chen-Xin WangGuang-Lei LiYu HangDan-Feng LuJian-Qi YeHao SuBing HouTao SuoDan Wen . Shock-resistant wearable pH sensor based on tungsten oxide aerogel. Chinese Chemical Letters, 2025, 36(7): 110502-. doi: 10.1016/j.cclet.2024.110502

    5. [5]

      Fenglin WangChengwei KuangZhicheng ZhengDan WuHao WanGen ChenNing ZhangXiaohe LiuRenzhi Ma . Noble metal clusters substitution in porous Ni substrate renders high mass-specific activities toward oxygen evolution reaction and methanol oxidation reaction. Chinese Chemical Letters, 2025, 36(6): 109989-. doi: 10.1016/j.cclet.2024.109989

    6. [6]

      Yu DengYan LiuYonghui DengJinsheng ChengYidong ZouWei LuoIn situ sulfur-doped mesoporous tungsten oxides for gas sensing toward benzene series. Chinese Chemical Letters, 2024, 35(7): 108898-. doi: 10.1016/j.cclet.2023.108898

    7. [7]

      Jichun LiZhengren WangYu DengHongxiu YuYonghui DengXiaowei ChengKaiping Yuan . Construction of mesoporous silica-implanted tungsten oxides for selective acetone gas sensing. Chinese Chemical Letters, 2024, 35(11): 110111-. doi: 10.1016/j.cclet.2024.110111

    8. [8]

      Jincheng ZhangMengjie SunJiali RenRui ZhangMin MaQingzhong XueJian Tian . Oxygen vacancies-rich molybdenum tungsten oxide nanowires as a highly active nitrogen fixation electrocatalyst. Chinese Chemical Letters, 2025, 36(1): 110491-. doi: 10.1016/j.cclet.2024.110491

    9. [9]

      Weidan MengYanbo ZhouYi Zhou . Green innovation unleashed: Harnessing tungsten-based nanomaterials for catalyzing solar-driven carbon dioxide conversion. Chinese Chemical Letters, 2025, 36(2): 109961-. doi: 10.1016/j.cclet.2024.109961

    10. [10]

      Xiaojian YanSaijin HuangWenfeng LiuLi-Li TanGaobin WangLiping CaoLi Shang . Tungsten oxide quantum dot-based supramolecular assembly with tunable photochromic kinetics towards time-encoded anti-counterfeiting. Chinese Chemical Letters, 2026, 37(3): 111427-. doi: 10.1016/j.cclet.2025.111427

    11. [11]

      Min ChenYu ZhouPeng RaoXinlong TianRuisong LiJing LiZhengpei Miao . Interface−morphology synergy in TiN nanotube−supported Pt catalyst layers enables durable proton-exchange-membrane fuel cells. Chinese Chemical Letters, 2026, 37(4): 111899-. doi: 10.1016/j.cclet.2025.111899

    12. [12]

      Chunru Liu Ligang Feng . Advances in anode catalysts of methanol-assisted water-splitting reactions for hydrogen generation. Chinese Journal of Structural Chemistry, 2023, 42(10): 100136-100136. doi: 10.1016/j.cjsc.2023.100136

    13. [13]

      Xinyu You Xin Zhang Shican Jiang Yiru Ye Lin Gu Hexun Zhou Pandong Ma Jamal Ftouni Abhishek Dutta Chowdhury . Efficacy of Ca/ZSM-5 zeolites derived from precipitated calcium carbonate in the methanol-to-olefin process. Chinese Journal of Structural Chemistry, 2024, 43(4): 100265-100265. doi: 10.1016/j.cjsc.2024.100265

    14. [14]

      Ming HuangXiuju CaiYan LiuZhuofeng Ke . Base-controlled NHC-Ru-catalyzed transfer hydrogenation and α-methylation/transfer hydrogenation of ketones using methanol. Chinese Chemical Letters, 2024, 35(7): 109323-. doi: 10.1016/j.cclet.2023.109323

    15. [15]

      Jingying WangJianhui ZhaoShaopo WangJingjie YuNing Li . Single-atom catalysts for CO2-to-methanol conversion: A critical review. Chinese Chemical Letters, 2026, 37(2): 111859-. doi: 10.1016/j.cclet.2025.111859

    16. [16]

      Jinqiang GaoHaifeng YuanXinjuan DuFeng DongYu ZhouShengnan NaYanpeng ChenMingyu HuMei HongShihe Yang . Methanol steam mediated corrosion engineering towards high-entropy NiFe layered double hydroxide for ultra-stable oxygen evolution. Chinese Chemical Letters, 2025, 36(1): 110232-. doi: 10.1016/j.cclet.2024.110232

    17. [17]

      Cheng-Cheng JiaoGuang-Xing DongKe SuYou-Xiang FengMin ZhangTong-Bu Lu . The construction of InVO4/BiVO4 heterojunction via cation-exchange for efficient and highly selective CO2 photoreduction to methanol. Chinese Chemical Letters, 2026, 37(1): 110752-. doi: 10.1016/j.cclet.2024.110752

    18. [18]

      Yufeng ZHANGHaotian QIJingya ZHONGLeiming LANGGuojun YUANSiqi LUHaiying WANGGuangxiang LIU . S-anion effects on the improvement of adsorption capacity and performance for benzyl alcohol electro-oxidation catalysts. Chinese Journal of Inorganic Chemistry, 2025, 41(12): 2591-2600. doi: 10.11862/CJIC.20250282

    19. [19]

      Gang HuChun WangQinqin WangMingyuan ZhuLihua Kang . The controlled oxidation states of the H4PMo11VO40 catalyst induced by plasma for the selective oxidation of methacrolein. Chinese Chemical Letters, 2025, 36(2): 110298-. doi: 10.1016/j.cclet.2024.110298

    20. [20]

      Jinzhou ZhengChaozheng HeChenxu Zhao . Rational catalyst design for N2 electro-reduction: Regulation strategies and quick screen towards enhanced conversion efficiency. Chinese Chemical Letters, 2025, 36(7): 111056-. doi: 10.1016/j.cclet.2025.111056

Metrics
  • PDF Downloads(5)
  • Abstract views(1423)
  • HTML views(206)

通讯作者: 陈斌, bchen63@163.com
  • 1. 

    沈阳化工大学材料科学与工程学院 沈阳 110142

  1. 本站搜索
  2. 百度学术搜索
  3. 万方数据库搜索
  4. CNKI搜索
Address:Zhongguancun North First Street 2,100190 Beijing, PR China Tel: +86-010-82449177-888
Powered By info@rhhz.net

/

DownLoad:  Full-Size Img  PowerPoint
Return