Citation: Rui-Feng LI, Xin-Jiang YU, Cui-Lian WEN, Ying-Gan ZHANG, Hui-Ling LIN, Bai-Sheng SA. Unexpected Carrier Mobility Anisotropy in the Two-dimensional Ca2Si Monolayer from First-principles Calculations[J]. Chinese Journal of Structural Chemistry, ;2020, 39(7): 1243-1251. doi: 10.14102/j.cnki.0254–5861.2011–2571 shu

Unexpected Carrier Mobility Anisotropy in the Two-dimensional Ca2Si Monolayer from First-principles Calculations

  • Corresponding author: Cui-Lian WEN, clwen@fzu.edu.cn Bai-Sheng SA, bssa@fzu.edu.cn
  • Received Date: 16 August 2019
    Accepted Date: 24 November 2019

    Fund Project: the National Key Research and Development Program of China 2017YFB0701700the National Natural Science Foundation of China 21973012the Natural Science Foundation of Fujian Province 2016J05003

Figures(5)

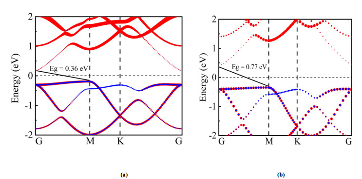
  • Development of the nano-electronics requires materials with both high carrier mobility and a sufficiently large electronic band gap. In this work, by means of ab initio calculations, we have predicted a new 2D Ca2Si monolayer with a quasi-planar hexa-coordinate structure. The geometrical structure, stability and electronic properties of Ca2Si monolayer have been systemically investigated. The Ca2Si monolayer is an indirect semiconductor with band gap of about 0.77 eV, which exhibits stable chemical bonding interactions as well as thermal and dynamic stability. Moreover, the carrier mobility in Ca2Si monolayer is electron dominated with a high electron mobility about 4590.47 cm2⋅V-1⋅s-1. It is excited that the 2D Ca2Si monolayer exhibits strong directionally anisotropic carrier mobility, which could effectively facilitate the migration and separation of the generated electron-hole pairs. Our calculations demonstrate that the 2D Ca2Si monolayer is potential for high efficiency solar cells and other nano-electronic applications.
  • 加载中
    1. [1]

      Dinh, K. N.; Liang, Q.; Du, C. F.; Zhao, J.; Tok, A. I. Y.; Mao, H.; Yan, Q. Nanostructured metallic transition metal carbides, nitrides, phosphides, and borides for energy storage and conversion. Nano. Today 2019, 25, 99−121.  doi: 10.1016/j.nantod.2019.02.008

    2. [2]

      Gupta, A.; Sakthivel, T.; Seal, S. Recent development in 2D materials beyond graphene. Prog. Mater. Sci. 2015, 73, 44−126.  doi: 10.1016/j.pmatsci.2015.02.002

    3. [3]

      Mortazavi, B.; Dianat, A.; Cuniberti, G.; Rabczuk, T. Application of silicene, germanene and stanene for Na or Li ion storage: a theoretical investigation. Electrochim. Acta 2016, 213, 865−870.  doi: 10.1016/j.electacta.2016.08.027

    4. [4]

      Oughaddou, H.; Enriquez, H.; Tchalala, M. R.; Yildirim, H.; Mayne, A. J.; Bendounan, A.; Dujardin, G.; Ait Ali, M.; Kara, A. Silicene, a promising new 2D material. Prog. Surf. Sci. 2015, 90, 46−83.  doi: 10.1016/j.progsurf.2014.12.003

    5. [5]

      Zhuang, J.; Xu, X.; Feng, H.; Li, Z.; Wang, X.; Du, Y. Honeycomb silicon: a review of silicene. Sci. Bull. 2015, 60, 1551−1562.  doi: 10.1007/s11434-015-0880-2

    6. [6]

      Ali, M.; Ni, Z.; Cottenier, S.; Liu, Y.; Pi, X.; Yang, D. Formation, structures and electronic properties of silicene oxides on Ag(111). J. Mater. Sci. Technol. 2016, 33, 751−757.

    7. [7]

      Zhao, J.; Liu, H.; Yu, Z.; Quhe, R.; Zhou, S.; Wang, Y.; Liu, C. C.; Zhong, H.; Han, N.; Lu, J.; Yao, Y.; Wu, K. Rise of silicene: a competitive 2D material. Prog. Mater. Sci. 2016, 83, 24−151.  doi: 10.1016/j.pmatsci.2016.04.001

    8. [8]

      Molle, A.; Grazianetti, C.; Tao, L.; Taneja, D.; Alam, M. H.; Akinwande, D. Silicene, silicene derivatives, and their device applications. Chem. Soc. Rev. 2018, 47, 6370−6387.  doi: 10.1039/C8CS00338F

    9. [9]

      Lee, J. H.; Lee, E. K.; Joo, W. J.; Jang, Y.; Kim, B. S.; Lim, J. Y.; Choi, S. H.; Ahn, S. J.; Ahn, J. R.; Park, M. H. Wafer-scale growth of single-crystal monolayer graphene on reusable hydrogen-terminated germanium. Science 2014, 344, 286−289.  doi: 10.1126/science.1252268

    10. [10]

      Ni, Z.; Minamitani, E.; Ando, Y.; Watanabe, S. The electronic structure of quasi-free-standing germanene on monolayer MX (M = Ga, In; X = S, Se, Te). Phys. Chem. Chem. Phys. 2015, 17, 19039−19044.  doi: 10.1039/C5CP02428E

    11. [11]

      Sa, B.; Li, Y. L.; Qi, J.; Ahuja, R.; Sun, Z. Strain engineering for phosphorene: the potential application as a photocatalyst. J. Phys. Chem. C 2014, 118, 26560−26568.  doi: 10.1021/jp508618t

    12. [12]

      Li, L.; Yu, Y.; Ye, G. J.; Ge, Q.; Ou, X.; Wu, H.; Feng, D.; Chen, X. H.; Zhang, Y. Black phosphorus field-effect transistors. Nat. Nanotechnol. 2014, 9, 372−377.  doi: 10.1038/nnano.2014.35

    13. [13]

      Wang, Q. H.; Kalantar-Zadeh, K.; Kis, A.; Coleman, J. N.; Strano, M. S. Electronics and optoelectronics of two-dimensional transition metal dichalcogenides. Nat. Nanotechnol. 2012, 7, 699−712.  doi: 10.1038/nnano.2012.193

    14. [14]

      Peng, Q.; Wang, Z.; Sa, B.; Wu, B.; Sun, Z. Electronic structures and enhanced optical properties of blue phosphorene/transition metal dichalcogenides van der Waals heterostructures. Sci. Rep. 2016, 6, 31994−10.  doi: 10.1038/srep31994

    15. [15]

      Guo, Z.; Zhou, J.; Zhu, L.; Sun, Z. MXene: a promising photocatalyst for water splitting. J. Mater. Chem. A 2016, 4, 11446−11452.  doi: 10.1039/C6TA04414J

    16. [16]

      Naguib, M.; Mochalin, V. N.; Barsoum, M. W.; Gogotsi, Y. MXenes: a new family of two-dimensional materials. Adv. Mater. 2014, 26, 982−982.  doi: 10.1002/adma.201470041

    17. [17]

      Rehman, G.; Khan, S. A.; Amin, B.; Ahmad, I.; Gan, L. Y.; Maqbool, M. Intriguing electronic structures and optical properties of two-dimensional van der Waals heterostructures of Zr2CT2 (T = O, F) with MoSe2 and WSe2. J. Mater. Chem. C 2018, 6, 2830−2839.  doi: 10.1039/C7TC05963A

    18. [18]

      Sone, J.; Yamagami, T.; Aoki, Y.; Nakatsuji, K.; Hirayama, H. Epitaxial growth of silicene on ultra-thin Ag(111) films. New J. Phys. 2012, 16, 095004−15.

    19. [19]

      Meng, L.; Wang, Y.; Zhang, L.; Du, S.; Wu, R.; Li, L.; Zhang, Y.; Li, G.; Zhou, H.; Hofer, W. Buckled silicene formation on Ir(111). Nano. Lett. 2013, 13, 685−690.  doi: 10.1021/nl304347w

    20. [20]

      Cherukara, M. J.; Narayanan, B.; Chan, H.; Skrs, S. Silicene growth through island migration and coalescence. Nanoscale 2017, 9, 10.1039. C1037NR03153J, 10186−10192.

    21. [21]

      Aizawa, T.; Suehara, S.; Otani, S. Silicene on zirconium carbide (111). J. Phys. Chem. C 2014, 118, 23049−23057.  doi: 10.1021/jp505602c

    22. [22]

      Gill, T. G.; Fleurence, A.; Warner, B.; Prüser, H.; Friedlein, R.; Sadowski, J. T.; Hirjibehedin, C. F.; Yamadatakamura, Y. Metallic atomically-thin layered silicon epitaxially grown on silicene/ZrB2. 2D Mater. 2017, 4, 021015−7.  doi: 10.1088/2053-1583/aa5a80

    23. [23]

      Feng, J. W.; Liu, Y. J.; Wang, H. X.; Zhao, J. X.; Cai, Q. H.; Wang, X. Z. Gas adsorption on silicene: a theoretical study. Comp. Mater. Sci. 2014, 87, 218−226.  doi: 10.1016/j.commatsci.2014.02.025

    24. [24]

      Wei, H.; Nan, X.; Xiaojun, W.; Zhenyu, L.; Jinlong, Y. Silicene as a highly sensitive molecule sensor for NH3, NO and NO2. Phys. Chem. Chem. Phys. 2014, 16, 6957−6962.  doi: 10.1039/c3cp55250k

    25. [25]

      Chandiramouli, R.; Srivastava, A.; Nagarajan, V. NO adsorption studies on silicene nanosheet: DFT investigation. Appl. Surf. Sci. 2015, 351, 662−672.  doi: 10.1016/j.apsusc.2015.05.166

    26. [26]

      Ni, Z.; Zhong, H.; Jiang, X.; Quhe, R.; Luo, G.; Wang, Y.; Ye, M.; Yang, J.; Shi, J.; Lu, J. Tunable band gap and doping type in silicene by surface adsorption: towards tunneling transistors. Nanoscale 2014, 6, 7609−7618.  doi: 10.1039/C4NR00028E

    27. [27]

      Tao, L.; Cinquanta, E.; Chiappe, D.; Grazianetti, C.; Fanciulli, M.; Dubey, M.; Molle, A.; Akinwande, D. Silicene field-effect transistors operating at room temperature. Nat. Nanotechnol. 2015, 10, 227−231.  doi: 10.1038/nnano.2014.325

    28. [28]

      Le Lay, G. Silicene transistors. Nat. Nanotechnol. 2015, 10, 202−203.  doi: 10.1038/nnano.2015.10

    29. [29]

      Yang, K.; Cahangirov, S.; Cantarero, A.; Rubio, A.; D'Agosta, R. Thermoelectric properties of atomically thin silicene and germanene nanostructures. Phys. Rev. B 2014, 89, 125403−13.  doi: 10.1103/PhysRevB.89.125403

    30. [30]

      Wierzbicki, M.; Barnaś, J.; Swirkowicz, R. Zigzag nanoribbons of two-dimensional silicene-like crystals: magnetic, topological and thermoelectric properties. J. Phys. Condens. Mat. 2015, 27, 485301−14.  doi: 10.1088/0953-8984/27/48/485301

    31. [31]

      Jose, D.; Datta, A. Structures and electronic properties of silicene clusters: a promising material for FET and hydrogen storage. Phys. Chem. Chem. Phys. 2011, 13, 7304−7311.  doi: 10.1039/c0cp02580a

    32. [32]

      Jinglan, Q.; Huixia, F.; Yang, X.; Oreshkin, A. I.; Tingna, S.; Hui, L.; Sheng, M.; Lan, C.; Kehui, W. Ordered and reversible hydrogenation of silicene. Phys. Rev. Lett. 2015, 114, 126101−126105.  doi: 10.1103/PhysRevLett.114.126101

    33. [33]

      Wang, Y.; Rui, Z.; Gao, H.; Jing, Z.; Xu, B.; Qiang, S.; Yu, J. Metal adatoms-decorated silicene as hydrogen storage media. Int. J. Hydrogen Energ. 2014, 39, 14027−14032.  doi: 10.1016/j.ijhydene.2014.06.164

    34. [34]

      Xin, T.; Cabrera, C. R.; Chen, Z. Metallic BSi3 silicene: a promising high capacity anode material for lithium-ion batteries. J. Phys. Chem. C 2014, 118, 25836−25843.  doi: 10.1021/jp503597n

    35. [35]

      Hwang, Y.; Yun, K. H.; Chung, Y. C. Carbon-free and two-dimensional cathode structure based on silicene for lithium-oxygen batteries: a first-principles calculation. J. Power Sources 2015, 275, 32−37.  doi: 10.1016/j.jpowsour.2014.11.016

    36. [36]

      Rugeramigabo, E. P.; Nagao, T.; Pfnür, H. Experimental investigation of two-dimensional plasmons in a DySi2 monolayer on Si(111). Phys. Rev. B 2008, 78, 155402−6.  doi: 10.1103/PhysRevB.78.155402

    37. [37]

      Yang, L. M.; Bačić, V.; Popov, I. A.; Boldyrev, A. I.; Heine, T.; Frauenheim, T.; Ganz, E. Two-dimensional Cu2Si monolayer with planar hexacoordinate copper and silicon bonding. J. Am. Chem. Soc. 2015, 137, 2757−2762.  doi: 10.1021/ja513209c

    38. [38]

      Yang, L. M.; Popov, I. A.; Boldyrev, A. I.; Heine, T.; Frauenheim, T.; Ganz, E. Post-anti-van't Hoff-Le Bel motif in atomically thin germanium-copper alloy film. Phys. Chem. Chem. Phys. 2015, 17, 17545−17551.  doi: 10.1039/C5CP02827B

    39. [39]

      Yang, L. M.; Popov, I. A.; Frauenheim, T.; Boldyrev, A. I.; Heine, T.; Bačić, V.; Ganz, E. Revealing unusual chemical bonding in planar hyper-coordinate Ni2Ge and quasi-planar Ni2Si two-dimensional crystals. Phys. Chem. Chem. Phys. 2015, 17, 26043−26048.  doi: 10.1039/C5CP04893A

    40. [40]

      Feng, B.; Fu, B.; Kasamatsu, S.; Ito, S.; Cheng, P.; Liu, C. C.; Feng, Y.; Wu, S.; Mahatha, S. K.; Sheverdyaeva, P.; Moras, P.; Arita, M.; Sugino, O.; Chiang, T. C.; Shimada, K.; Miyamoto, K.; Okuda, T.; Wu, K.; Chen, L.; Yao, Y.; Matsuda, I. Experimental realization of two-dimensional Dirac nodal line fermions in monolayer Cu2Si. Nat. Commun. 2017, 8, 1007−6.  doi: 10.1038/s41467-017-01108-z

    41. [41]

      Sun, Y.; Zhuo, Z.; Wu, X.; Yang, J. Room-temperature ferromagnetism in two-dimensional Fe2Si nanosheet with enhanced spin-polarization ratio. Nano. Lett. 2017, 17, 2771−2777.  doi: 10.1021/acs.nanolett.6b04884

    42. [42]

      Wang, Y.; Qiao, M.; Li, Y.; Chen, Z. A two-dimensional CaSi monolayer with quasi-planar pentacoordinate silicon. Nanoscale Horiz. 2018, 3, 327−334.  doi: 10.1039/C7NH00091J

    43. [43]

      Exner, K.; Schleyer, P. V. R. Planar hexacoordinate carbon: a viable possibility. Science 2000, 290, 1937−1940.  doi: 10.1126/science.290.5498.1937

    44. [44]

      Wen, C.; Xie, Q.; Xiong, R.; Sa, B.; Miao, N.; Zhou, J.; Wu, B.; Sun, Z. Computational mining of the pressure effect on thermodynamic and thermoelectric properties of cubic Ca2Si. EPL 2018, 123, 67003−6.  doi: 10.1209/0295-5075/123/67003

    45. [45]

      Xiong, R.; Sa, B.; Miao, N.; Li, Y. L.; Zhou, J.; Pan, Y.; Wen, C.; Wu, B.; Sun, Z. Structural stability and thermoelectric property optimization of Ca2Si. RSC Adv. 2017, 7, 8936−8943.  doi: 10.1039/C6RA28125G

    46. [46]

      Kresse, G.; Hafner, J. Ab initio molecular-dynamics simulation of the liquid-metal-amorphous-semiconductor transition in germanium. Phys. Rev. B 1994, 49, 14251−14269.  doi: 10.1103/PhysRevB.49.14251

    47. [47]

      Hafner, J. Ab-initio simulations of materials using VASP: density-functional theory and beyond. J. Comput. Chem. 2008, 29, 2044−2078.  doi: 10.1002/jcc.21057

    48. [48]

      Kresse, G.; Furthmüller, J. Efficient iterative schemes for ab initio total-energy calculations using a plane-wave basis set. Phys. Rev. B 1996, 54, 11169−11186.  doi: 10.1103/PhysRevB.54.11169

    49. [49]

      Kresse, G.; Joubert, D. From ultrasoft pseudopotentials to the projector augmented-wave method. Phys. Rev. B 1999, 59, 1758−1775.

    50. [50]

      Blöchl, P. E. Projector augmented-wave method. Phys. Rev. B 1994, 50, 17953−17979.  doi: 10.1103/PhysRevB.50.17953

    51. [51]

      Perdew, J. P.; Wang, Y. Accurate and simple analytic representation of the electron-gas correlation energy. Phys. Rev. B 1992, 45, 13244−13249.  doi: 10.1103/PhysRevB.45.13244

    52. [52]

      Perdew, J. P.; Burke, K.; Ernzerhof, M. Generalized gradient approximation made simple. Phys. Rev. Lett. 1996, 77, 3865−3868.  doi: 10.1103/PhysRevLett.77.3865

    53. [53]

      Perdew, J. P.; Burke, K.; Wang, Y. Generalized gradient approximation for the exchange-correlation hole of a many-electron system. Phys. Rev. B 1996, 54, 16533−16539.  doi: 10.1103/PhysRevB.54.16533

    54. [54]

      Monkhorst, H. J.; Pack, J. D. Special points for Brillouin-zone integrations. Phys. Rev. B 1976, 13, 5188−5192.  doi: 10.1103/PhysRevB.13.5188

    55. [55]

      Heyd, J.; Scuseria, G. E. Efficient hybrid density functional calculations in solids: assessment of the Heyd-Scuseria-Ernzerhof screened Coulomb hybrid functional. J. Chem. Phys. 2004, 121, 1187−1192.  doi: 10.1063/1.1760074

    56. [56]

      Poater, J.; Duran, M.; Sola, M.; Silvi, B. Theoretical evaluation of electron delocalization in aromatic molecules by means of atoms in molecules (AIM) and electron localization function (ELF) topological approaches. Chem. Rev. 2005, 105, 3911−3947.  doi: 10.1021/cr030085x

    57. [57]

      Becke, A. D.; Edgecombe, K. E. A simple measure of electron localization in atomic and molecular systems. J. Chem. Phys. 1990, 92, 5397−5403.  doi: 10.1063/1.458517

    58. [58]

      Maintz, S.; Deringer, V. L.; Tchougréeff, A. L.; Dronskowski, R. Analytic projection from plane-wave and PAW wavefunctions and application to chemical-bonding analysis in solids. J. Comput. Chem. 2013, 34, 2557−2567.  doi: 10.1002/jcc.23424

    59. [59]

      Wang, Y.; Chen, L. Q.; Liu, Z. K. YPHON: a package for calculating phonons of polar materials. Comput. Phys. Commun. 2014, 185, 2950−2968.  doi: 10.1016/j.cpc.2014.06.023

    60. [60]

      Bardeen, J.; Shockley, W. S. Deformation potentials and mobilities in non-polar crystals. Phys. Rev. 1950, 80, 72−80.  doi: 10.1103/PhysRev.80.72

    61. [61]

      Kou, L. Z.; Ma, Y. D.; Zhou, L. J.; Sun, Z. Q.; Gu, Y. T.; Du, A. J.; Smith, S.; Chen, C. F. High-mobility anisotropic transport in few-layer gamma-B-28 films. Nanoscale 2016, 8, 20111−20117.  doi: 10.1039/C6NR07271B

    62. [62]

      Jun, D.; Cheng, Z. X. Titanium trisulfide monolayer: theoretical prediction of a new direct-gap semiconductor with high and anisotropic carrier mobility. Angew. Chem. Int. Edit. 2015, 54, 7572−7576.  doi: 10.1002/anie.201502107

    63. [63]

      Deringer, V. L.; Zhang, W.; Rausch, P.; Mazzarello, R.; Dronskowski, R.; Wuttig, M. A chemical link between Ge-Sb-Te and In-Sb-Te phase-change materials. J. Mater. Chem. C 2015, 3, 9519−9523.  doi: 10.1039/C5TC02314A

    64. [64]

      Deringer, V. L.; Tchougréeff, A. L.; Dronskowski, R. Crystal orbital hamilton population (COHP) analysis as projected from plane-wave basis sets. J. Phys. Chem. A 2011, 115, 5461−5466.  doi: 10.1021/jp202489s

    65. [65]

      Qiao, J.; Kong, X.; Hu, Z. X.; Yang, F.; Ji, W. High-mobility transport anisotropy and linear dichroism in few-layer black phosphorus. Nat. Commun. 2014, 5, 4475−7.  doi: 10.1038/ncomms5475

    66. [66]

      Radisavljevic, B.; Radenovic, A.; Brivio, J.; Giacometti, V.; Kis, A. Single-layer MoS2 transistors. Nat. Nanotechnol. 2011, 6, 147−150.  doi: 10.1038/nnano.2010.279

  • 加载中
    1. [1]

      Xiaoli CHENZhihong LUOYuzhu XIONGAihua WANGXue CHENJiaojing SHAO . Inhibitory effect of the interlayer of two-dimensional vermiculite on the polysulfide shuttle in lithium-sulfur batteries. Chinese Journal of Inorganic Chemistry, 2025, 41(8): 1661-1671. doi: 10.11862/CJIC.20250075

    2. [2]

      Yongchao ZHUWenjie LIANGHai XU . Raman spectroscopic layer-dependent of Bi2SeO5 nanosheets and their encapsulation performance for two-dimensional materials. Chinese Journal of Inorganic Chemistry, 2026, 42(3): 584-592. doi: 10.11862/CJIC.20250217

    3. [3]

      Shenhao QIUQingquan XIAOHuazhu TANGQuan XIE . First-principles study on electronic structure, optical and magnetic properties of rare earth elements X (X=Sc, Y, La, Ce, Eu) doped with two-dimensional GaSe. Chinese Journal of Inorganic Chemistry, 2024, 40(11): 2250-2258. doi: 10.11862/CJIC.20240104

    4. [4]

      Chuncheng XuSuqin HanKaiyang ZhangQiuling FengLan BaoMingming GaoWen-Yan GaoYen Leng PakHongyu MouLiwei ChenXing GaoYuchen Hao . Structure–function correlation and design principles of two-dimensional bismuth nanosheets for efficient electrochemical CO2 reduction. Chinese Chemical Letters, 2026, 37(3): 112179-. doi: 10.1016/j.cclet.2025.112179

    5. [5]

      Xin-Tong ZhaoJin-Zhi GuoWen-Liang LiJing-Ping ZhangXing-Long Wu . Two-dimensional conjugated coordination polymer monolayer as anode material for lithium-ion batteries: A DFT study. Chinese Chemical Letters, 2024, 35(6): 108715-. doi: 10.1016/j.cclet.2023.108715

    6. [6]

      Shuanglin TIANTinghong GAOYutao LIUQian CHENQuan XIEQingquan XIAOYongchao LIANG . First-principles study of adsorption of Cl2 and CO gas molecules by transition metal-doped g-GaN. Chinese Journal of Inorganic Chemistry, 2024, 40(6): 1189-1200. doi: 10.11862/CJIC.20230482

    7. [7]

      Hao ChenHaiyuan LiaoQi ZhouYang LiuGuojun LiuYuan Yao . Electronegativity-oriented coordination regulation of main-group metal single-atom catalysts for oxygen reduction to H2O2: A combined study of first-principles and machine learning. Chinese Chemical Letters, 2026, 37(3): 110711-. doi: 10.1016/j.cclet.2024.110711

    8. [8]

      Lan DingKezhen QiZimo HuangYing YuZe YangSepehr TabibiAlireza KhataeeLei HaoQitao ZhangVadim PopkovMaria KanevaArtem LobinskyZhipeng YuJun LiAmir SultanKun ZhengGan QuDandan MaJian-Wen ShiAhmed Ismail . 2030 roadmap on two-dimensional materials for energy storage and conversion. Chinese Chemical Letters, 2026, 37(3): 112242-. doi: 10.1016/j.cclet.2025.112242

    9. [9]

      Shaohua ZhangXiaojuan DaiWei HaoLiyao LiuYingqiao MaYe ZouJia ZhuChong-an Di . A first-principles study of the Nernst effect in doped polymer. Chinese Chemical Letters, 2024, 35(12): 109837-. doi: 10.1016/j.cclet.2024.109837

    10. [10]

      Lumin ZhengYing BaiChuan Wu . Multi-electron reaction and fast Al ion diffusion of δ-MnO2 cathode materials in rechargeable aluminum batteries via first-principle calculations. Chinese Chemical Letters, 2024, 35(4): 108589-. doi: 10.1016/j.cclet.2023.108589

    11. [11]

      Lu LIUHuijie WANGHaitong WANGYing LI . Crystal structure of a two-dimensional Cd(Ⅱ) complex and its fluorescence recognition of p-nitrophenol, tetracycline, 2, 6-dichloro-4-nitroaniline. Chinese Journal of Inorganic Chemistry, 2024, 40(6): 1180-1188. doi: 10.11862/CJIC.20230489

    12. [12]

      Xuan Zhu Lin Zhou Xiao-Yun Huang Yan-Ling Luo Xin Deng Xin Yan Yan-Juan Wang Yan Qin Yuan-Yuan Tang . (Benzimidazolium)2GeI4: A layered two-dimensional perovskite with dielectric switching and broadband near-infrared photoluminescence. Chinese Journal of Structural Chemistry, 2024, 43(6): 100272-100272. doi: 10.1016/j.cjsc.2024.100272

    13. [13]

      Xinghong CaiQiang YangYao TongLanyin LiuWutang ZhangSam ZhangMin Wang . AlO2: A novel two-dimensional material with a high negative Poisson's ratio for the adsorption of volatile organic compounds. Chinese Chemical Letters, 2025, 36(2): 109586-. doi: 10.1016/j.cclet.2024.109586

    14. [14]

      Yiwen XuChaozheng HeChenxu ZhaoLing Fu . Single-atom Ti doping on S-vacancy two-dimensional CrS2 as a catalyst for ammonia synthesis: A DFT study. Chinese Chemical Letters, 2025, 36(4): 109797-. doi: 10.1016/j.cclet.2024.109797

    15. [15]

      Chaozheng HePei ShiDonglin PangZhanying ZhangLong LinYingchun Ding . First-principles study of the relationship between the formation of single atom catalysts and lattice thermal conductivity. Chinese Chemical Letters, 2024, 35(6): 109116-. doi: 10.1016/j.cclet.2023.109116

    16. [16]

      Zhihao HEJiafu DINGYunjie WANGXin SU . First-principles study on the structure-property relationship of AlX and InX (X=N, P, As, Sb). Chinese Journal of Inorganic Chemistry, 2025, 41(5): 1007-1019. doi: 10.11862/CJIC.20240390

    17. [17]

      Qiangqiang ZhouLili SunYu-Jie GuoBo ZhouChunfang ZhangSen XinLe YuGaohong Zhai . First-principles study on the electrochemical properties of Na-ion-intercalatable heterostructures formed by transitional metal dichalcogenides and blue phosphorus. Chinese Chemical Letters, 2025, 36(7): 110187-. doi: 10.1016/j.cclet.2024.110187

    18. [18]

      Jing GuoJianzhong MaJunli LiuGuanjie HuangXiaoting ZhouFrancesco ParrinoRiccardo CeccatoLeonardo PalmisanoBoon-Junn NgLutfi Kurnianditia PutriHuaxing LiRongjie LiGang LiuYang WangNikolay KornienkoShan-Shan ZhuZhenwei ZhangXiaoming LiuNur Atika Nikma DahlanSiang-Piao ChaiJianmin Ma . Two-dimensional nanomaterials for environmental catalysis roadmap towards 2030. Chinese Chemical Letters, 2025, 36(9): 110988-. doi: 10.1016/j.cclet.2025.110988

    19. [19]

      Changxing YangGuxia WangShengwei GuoJianlin Sun . Potential and progress of two-dimensional nanomaterials in oil-based lubrication. Chinese Chemical Letters, 2025, 36(9): 111178-. doi: 10.1016/j.cclet.2025.111178

    20. [20]

      Zhilei ZhangYanan SunXiaosong ShiXiaozhe YinDawei LiuErjing WangJie LiuYuanyuan HuLang Jiang . Molecular tailoring towards two-dimensional organic crystals at the thickness limit. Chinese Chemical Letters, 2025, 36(9): 110786-. doi: 10.1016/j.cclet.2024.110786

Metrics
  • PDF Downloads(7)
  • Abstract views(1594)
  • HTML views(53)

通讯作者: 陈斌, bchen63@163.com
  • 1. 

    沈阳化工大学材料科学与工程学院 沈阳 110142

  1. 本站搜索
  2. 百度学术搜索
  3. 万方数据库搜索
  4. CNKI搜索
Address:Zhongguancun North First Street 2,100190 Beijing, PR China Tel: +86-010-82449177-888
Powered By info@rhhz.net

/

DownLoad:  Full-Size Img  PowerPoint
Return