Citation: Jing Ren, Feng-Huan Du, Xiaowei Chen, Chi Zhang. Monofluoroiodane(Ⅲ) reagent mediated Wagner−Meerwein rearrangement fluorination: Construction of quaternary C(sp3)−F bond[J]. Chinese Chemical Letters, ;2026, 37(5): 111407. doi: 10.1016/j.cclet.2025.111407 shu

Monofluoroiodane(Ⅲ) reagent mediated Wagner−Meerwein rearrangement fluorination: Construction of quaternary C(sp3)−F bond

    * Corresponding authors.
    E-mail addresses: renjing1114@126.com (J. Ren), zhangchi@nankai.edu.cn (C. Zhang).
    1 These authors contributed equally to this work.
  • Received Date: 4 March 2025
    Revised Date: 22 May 2025
    Accepted Date: 3 June 2025
    Available Online: 4 June 2025

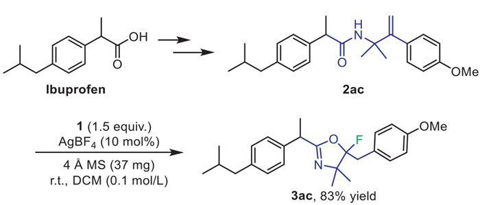
Figures(10)

Metrics
  • PDF Downloads(0)
  • Abstract views(9)
  • HTML views(0)

通讯作者: 陈斌, bchen63@163.com
  • 1. 

    沈阳化工大学材料科学与工程学院 沈阳 110142

  1. 本站搜索
  2. 百度学术搜索
  3. 万方数据库搜索
  4. CNKI搜索
Address:Zhongguancun North First Street 2,100190 Beijing, PR China Tel: +86-010-82449177-888
Powered By info@rhhz.net

/

DownLoad:  Full-Size Img  PowerPoint
Return