Citation: Peng Liu. Cyclodextrins as versatile supramolecular building block in nanoscale drug delivery systems for precise tumor chemotherapy[J]. Chinese Chemical Letters, ;2025, 36(11): 111406. doi: 10.1016/j.cclet.2025.111406 shu

Cyclodextrins as versatile supramolecular building block in nanoscale drug delivery systems for precise tumor chemotherapy

    E-mail address: pliu@lzu.edu.cn (P. Liu).
  • Received Date: 23 March 2025
    Revised Date: 20 May 2025
    Accepted Date: 3 June 2025
    Available Online: 3 June 2025

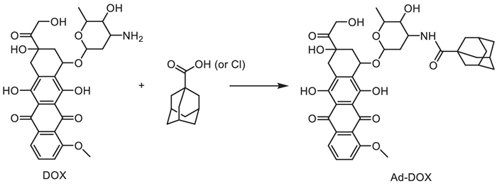
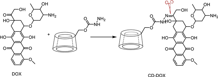
Figures(12)

Metrics
  • PDF Downloads(0)
  • Abstract views(30)
  • HTML views(3)

通讯作者: 陈斌, bchen63@163.com
  • 1. 

    沈阳化工大学材料科学与工程学院 沈阳 110142

  1. 本站搜索
  2. 百度学术搜索
  3. 万方数据库搜索
  4. CNKI搜索
Address:Zhongguancun North First Street 2,100190 Beijing, PR China Tel: +86-010-82449177-888
Powered By info@rhhz.net

/

DownLoad:  Full-Size Img  PowerPoint
Return