Citation: Yu Yan, Chenfei Zhao, Jingwen Hui, Xinfu Zhang, Linlin Zhao, Lujia Yang, Zhipeng Ning, Pengzhong Chen, Lingcheng Chen, Xiaojun Peng, Yi Xiao. Spirobixanthene surpasses spirobifluorene as key backbone for molecular negative photoresists[J]. Chinese Chemical Letters, ;2026, 37(5): 111343. doi: 10.1016/j.cclet.2025.111343 shu

Spirobixanthene surpasses spirobifluorene as key backbone for molecular negative photoresists

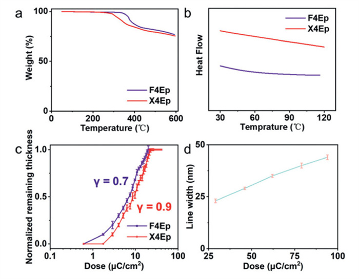
Figures(5)

Metrics
  • PDF Downloads(0)
  • Abstract views(7)
  • HTML views(0)

通讯作者: 陈斌, bchen63@163.com
  • 1. 

    沈阳化工大学材料科学与工程学院 沈阳 110142

  1. 本站搜索
  2. 百度学术搜索
  3. 万方数据库搜索
  4. CNKI搜索
Address:Zhongguancun North First Street 2,100190 Beijing, PR China Tel: +86-010-82449177-888
Powered By info@rhhz.net

/

DownLoad:  Full-Size Img  PowerPoint
Return