Citation: Guie Li, Chunyan Yang, Qiu Yang, Qingzhu Zheng, Menghan Li, Jianhua Qu, Guangshan Zhang. A magnetically recyclable CoFe2O4/BiOBr S-scheme heterojunction for efficient photocatalytic degradation of diuron: Performance, durability and mechanism exploration[J]. Chinese Chemical Letters, ;2026, 37(1): 111207. doi: 10.1016/j.cclet.2025.111207 shu

A magnetically recyclable CoFe2O4/BiOBr S-scheme heterojunction for efficient photocatalytic degradation of diuron: Performance, durability and mechanism exploration

    * Corresponding authors.
    E-mail addresses: cyyanghit@163.com (C. Yang), gszhang@qau.edu.cn (G. Zhang).
  • Received Date: 11 December 2024
    Revised Date: 23 March 2025
    Accepted Date: 14 April 2025
    Available Online: 18 April 2025

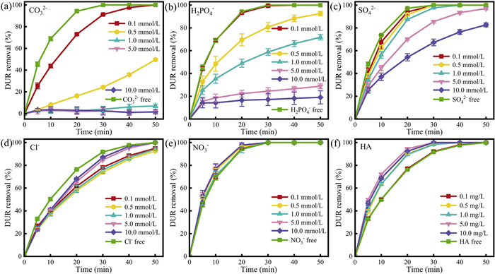
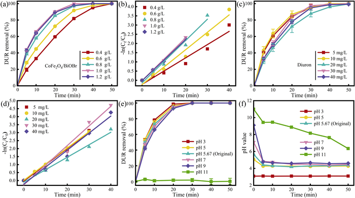
Figures(13)

Metrics
  • PDF Downloads(0)
  • Abstract views(7)
  • HTML views(1)

通讯作者: 陈斌, bchen63@163.com
  • 1. 

    沈阳化工大学材料科学与工程学院 沈阳 110142

  1. 本站搜索
  2. 百度学术搜索
  3. 万方数据库搜索
  4. CNKI搜索
Address:Zhongguancun North First Street 2,100190 Beijing, PR China Tel: +86-010-82449177-888
Powered By info@rhhz.net

/

DownLoad:  Full-Size Img  PowerPoint
Return