Citation: Hongping Zhao, Hanzhaobing Wu, Baolong Shi, Jiayue Wang, Chunzheng Wu, Chaohai Wang, Xiaoyan Wang, Wei Liu, Chaoqing Dai, Dalei Wang. Fast and controllable anatase-to-rutile phase transition irradiated by NIR light[J]. Chinese Chemical Letters, ;2025, 36(11): 110815. doi: 10.1016/j.cclet.2025.110815 shu

Fast and controllable anatase-to-rutile phase transition irradiated by NIR light

Figures(6)

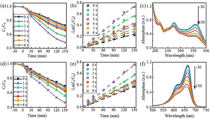
  • As a semiconductor material with inorganic functional properties, titanium dioxide (TiO2) demonstrates exceptional optical, electrical, and catalytic characteristics. The catalytic performance of TiO2 is notably affected by the proportion of anatase to rutile within its mixed phase, which plays a crucial role in modulating its performance. The phase transition in TiO2 enhances the effective separation of photogenerated charge carriers, thereby improving their utilization. In this study, we present an efficient and proportionally adjustable TiO2 phase transition strategy induced by near-infrared light (NIR light) utilizing TiO2 and titanium carbide (TiC) composites. Notably, the transition ratio of anatase to rutile phases can be adjusted by controlling the NIR light irradiation time in 1s intervals (within 6 s), resulting in conversion rates of 5.88%, 13.29%, 20.42%, 26.02%, 32.8% and 40.12%, respectively. This capability for tunable ratios is attributed to the photothermal effect of TiC, which converts to anatase at higher temperatures while simultaneously promoting the layer-by-layer aggregation of adjacent anatase grains, thereby facilitating the phase transition. In addition, we assessed the photocatalytic efficiency of tetracycline hydrochloride (TC–HCl, an antibiotic) and methylene blue (MB, a dye) when exposed to visible light using different ratios of obtained phase junctions. The findings revealed that after a brief 3 s exposure to laser sintering, the weight fractions of rutile and anatase TiO2 were approximately 0.2 and 0.8, respectively. This specific ratio of phase transition exhibits superior photocatalytic performance compared to alternative phase transition ratios. The creation of heterojunctions in anatase/rutile TiO2 facilitated greater oxygen adsorption and heightened the density of localized states, thus effectively boosting the production of superoxide radicals (O2-) and hole (h+) species. The phase junction of TiO2 shows significant potential for application in wastewater treating, resulting in improved photocatalytic degradation of pollutants and highlighting its efficacy in environmental pollution control.
  • 加载中
    1. [1]

      S. Ye, C. Cheng, S. Wang, R. Xie, D. Wang, Mater. Chem. Front. 7 (2023) 3693-3705.  doi: 10.1039/d3qm00294b

    2. [2]

      J. Zhao, Y. Wang, Y. Wang, Y. Xu, Photochem. Photobiol. Sci. 20 (2021) 1099-1107.  doi: 10.1007/s43630-021-00083-1

    3. [3]

      C. Byrne, L. Moran, D. Hermosilla, et al., Appl. Catal. B: Environ. 246 (2019) 266-276.

    4. [4]

      B.D. Napruszewska, A. Walczyk, D. Duraczyńska, et al., Nanomaterials 14 (2024) 1130.  doi: 10.3390/nano14131130

    5. [5]

      N. Saikumari, S.M. Dev, S.A, Dev, Sci. Rep. 11 (2021) 1734.

    6. [6]

      C.C. Wang, X. Wang, W. Liu, Chem. Eng. J. 391 (2020) 123601.

    7. [7]

      H. Deng, W. Yanling, L. Leyi, et al., Sep. Purif. Technol. 354 (2025) 129455.

    8. [8]

      D.A.H. Hanaor, C.C. Sorrell, J. Mater. Sci. 46 (2011) 855-874.  doi: 10.1007/s10853-010-5113-0

    9. [9]

      M. Buchalska, M. Kobielusz, A. Matuszek, et al., ACS Catal. 5 (2015) 7424-7431.  doi: 10.1021/acscatal.5b01562

    10. [10]

      L. Ding, S. Yang, Z. Liang, et al., J. Colloid Interf. Sci. 567 (2020) 181-189.

    11. [11]

      R. Katsumata, C. Senger, J.N. Pagaduan, Mol. Syst. Des. Eng. 8 (2023) 701-712.  doi: 10.1039/d2me00283c

    12. [12]

      I. Park, S. Shin, J. Kim, B. Jin, J.S. Lee, IEEE Access 10 (2022) 84689-84693.  doi: 10.1109/access.2022.3197889

    13. [13]

      A.I.A.D.R. Almeida, L.D.L. Ferreira, G.C. De Almeida, H.D.R. Calado, M.M. Viana, Synth. Metals 269 (2020) 116544.

    14. [14]

      Z.M. Mahdieh, S. Shekarriz, F.A. Taromi, Fibers Polym. 22 (2021) 87-96.  doi: 10.1007/s12221-021-9049-6

    15. [15]

      F.J. Al-Maliki, M.A. Al-Rubaiy, Opt. Quant. Electron. 54 (2022) 377.

    16. [16]

      H. Zhu, T. Pan, R. Sato, et al., Appl. Surf. Sci. 569 (2021) 151003.

    17. [17]

      D. Liu, Z. Yan, P. Zeng, et al., Front. Energy 15 (2021) 721-731.  doi: 10.1007/s11708-021-0766-8

    18. [18]

      Y.H. Ahmad, F.Z. Kamand, A. Zekri, et al., Appl. Surf. Sci. 626 (2023) 157205.

    19. [19]

      J. Zhao, S. Liu, X. Zhang, Y. Xu, Catal. Sci. Technol. 10 (2020) 6552-6561.  doi: 10.1039/d0cy01111h

    20. [20]

      P.C. Ricci, C.M. Carbonaro, L. Stagi, et al., J. Phys. Chem. C 117 (2013) 7850-7857.  doi: 10.1021/jp312325h

    21. [21]

      S.A. Kim, S.K. Hussain, M.A. Abbas, J.H. Bang, J. Solid State Chem. 315 (2022) 123510.

    22. [22]

      M. Li, Y. Liu, F. Li, et al., Environ. Sci. Technol. 55 (2021) 13209-13218.

    23. [23]

      J. Matsushita, T. Tsuchiyama, K. Hamaguchi, et al., Mater. Sci. Forum 860 (2016) 92-96.

    24. [24]

      D.K. Muthee, B.F. Dejene, Heliyon 7 (2021) e07269.

    25. [25]

      X. Zhang, J. Chen, S. Jiang, et al., J. Colloid Interf. Sci. 588 (2021) 122-137.

    26. [26]

      S. Bauer, A. Pittrof, H. Tsuchiya, P. Schmuki, Electrochem. Commun. 13 (2011) 538-541.

    27. [27]

      G. Liu, W. Jaegermann, J. He, V. Sundström, L. Sun, J. Phys. Chem. B 106 (2002) 5814-5819.

    28. [28]

      Q. Li, Y. Liu, Z. Wan, et al., Chin. Chem. Lett. 33 (2022) 3835-3841.

    29. [29]

      H.Y. Liu, Y.L. Hsu, H.Y. Su, et al., IEEE Sensors J. 18 (2018) 4022-4029.  doi: 10.1109/jsen.2018.2819700

    30. [30]

      Y. Shi, W. Li, S. Zhang, et al., J Mater Sci: Mater. Electron. 34 (2023) 227.  doi: 10.1007/978-1-0716-2954-3_20

    31. [31]

      J. He, Y. Du, Y. Bai, et al., Molecules 24 (2019) 2996.  doi: 10.3390/molecules24162996

    32. [32]

      Y. Wang, J. Li, C. Ding, et al., J. Photochem. Photobiol. A: Chem. 342 (2017) 94-101.

    33. [33]

      H. Sun, S. Xiong, B. Shi, et al., Colloids Surf. A: Physicochem. Eng. Aspects 700 (2024) 134647.

    34. [34]

      C. Byrne, R. Fagan, S. Hinder, et al., RSC Adv. 6 (2016) 95232-95238.

    35. [35]

      F. De Angelis, S. Fantacci, A. Selloni, Nanotechnology 19 (2008) 424002.  doi: 10.1088/0957-4484/19/42/424002

    36. [36]

      W.K. Wang, J.J. Chen, M. Gao, et al., Appl. Catal. B: Environ. 195 (2016) 69-76.

    37. [37]

      F. De Angelis, S. Fantacci, E. Mosconi, M.K. Nazeeruddin, M. Grätzel, J. Phys. Chem. C 115 (2011) 8825-8831.  doi: 10.1021/jp111949a

    38. [38]

      X. Yu, Z. Lu, D. Wu, et al., React. Kinet. Mech. Cat. 111 (2014) 347-360.  doi: 10.1007/s11144-013-0631-9

    39. [39]

      J. Cheng, D. Wang, B. Wang, et al., Chemosphere 253 (2020) 126595.

    40. [40]

      C. Lv, X. Lan, L. Wang, et al., Environ. Technol. 42 (2021) 377-387.  doi: 10.1080/09593330.2019.1629183

    41. [41]

      O. Ibukun, P.E. Evans, P.A. Dowben, H. Kyung Jeong, Chem. Phys. 525 (2019) 110419.

    42. [42]

      R.V. Khose, K.D. Lokhande, M.A. Bhakare, et al., ChemistrySelect 6 (2021) 7956-7963.  doi: 10.1002/slct.202101611

    43. [43]

      M. Frigione, M. Lettieri, A. Sarcinella, Materials 12 (2019) 1260.  doi: 10.3390/ma12081260

    44. [44]

      Q. Li, Q. Zhou, H. Deng, et al., Environ. Energy 360 (2025) 124533.

    45. [45]

      W. Wang, D. Wang, H. Song, et al., Chem. Eng. J. 455 (2023) 140909.

    46. [46]

      P. Lavudya, H. Pant, V. V.S.S.Srikanth, R. Ammanabrolu, Inorgan. Chem. Commun. 152 (2023) 110699.

    47. [47]

      H. Deng, Y. Hui, C. Zhang, et al., Chin. Chem. Lett. 35 (2024) 109078.

    48. [48]

      X. Bai, X. Wang, X. Lu, et al., J. Hazard. Mater. 398 (2020) 122897.

    49. [49]

      X. Liu, B. Xu, X. Duan, et al., Environ. Sci.: Nano 8 (2021) 1010-1018.  doi: 10.1039/d0en01216e

    50. [50]

      N.S. Allen, N. Mahdjoub, V. Vishnyakov, P.J. Kelly, R.J. Kriek, Polym. Degrad. Stab. 150 (2018) 31-36.

    51. [51]

      T. Wang, J. Cao, J. Li, D. Li, Z. Ao, Chin. Chem. Lett. 36 (2025) 110078.  doi: 10.1016/j.cclet.2024.110078

    52. [52]

      X. Lou, C. Zhang, Z. Xu, et al., Small 20 (2024) 2404055.

    53. [53]

      G.C. Liu, X.H. Yi, H.Y. Chu, et al., J. Hazard. Mater. 412 (2024) 134420.

    54. [54]

      W. Wang, G. Zhang, Q. Wang, et al., Chin. Chem. Lett. 35 (2024) 109193.

    55. [55]

      U.O. Bhagwat, M.C. Maridevaru, A. Al Souwaileh, J.J. Wu, S. Anandan, Inorg. Chem. Commun. 161 (2024) 111987.

    56. [56]

      C. Zhao, L. Meng, H. Chu, et al., Appl. Catal. B: Environ. 321 (2023) 122034.

    57. [57]

      R. Bi, J. Liu, C. Zhou, et al., Environ. Sci. Pollut. Res. 30 (2023) 55044-55056.  doi: 10.1007/s11356-023-26265-1

    58. [58]

      J. Gao, S.X. Wang, J.L. Deng, et al., Rare Met. 43 (2024) 3784-3797.  doi: 10.1007/s12598-024-02743-4

  • 加载中
    1. [1]

      Shenghui TuAnru LiuHongxiang ZhangLu SunMinghui LuoShan HuangTing HuangHonggen Peng . Oxygen vacancy regulating transition mode of MIL-125 to facilitate singlet oxygen generation for photocatalytic degradation of antibiotics. Chinese Chemical Letters, 2024, 35(12): 109761-. doi: 10.1016/j.cclet.2024.109761

    2. [2]

      Haijing CuiWeihao ZhuChuning YueMing YangWenzhi RenAiguo Wu . Recent progress of ultrasound-responsive titanium dioxide sonosensitizers in cancer treatment. Chinese Chemical Letters, 2024, 35(10): 109727-. doi: 10.1016/j.cclet.2024.109727

    3. [3]

      Shangqian ZhangJiaxuan LiXuan HuZelong ChenJunliang DongChenhao HuShuang ChaoYinghua LvYuxin PeiZhichao Pei . H2S and NIR light-driven nanomotors induce disulfidptosis for targeted anticancer therapy by enhancing disruption of tumor metabolic symbiosis. Chinese Chemical Letters, 2025, 36(1): 110314-. doi: 10.1016/j.cclet.2024.110314

    4. [4]

      Xingmin ChenYunyun WuYao TangPeishen LiShuai GaoQiang WangWen LiuSihui Zhan . Construction of Z-scheme Cu-CeO2/BiOBr heterojunction for enhanced photocatalytic degradation of sulfathiazole. Chinese Chemical Letters, 2024, 35(7): 109245-. doi: 10.1016/j.cclet.2023.109245

    5. [5]

      Yan-Ran WengWen-Fu TianWen-Jing DingBi-He RenDe-Hou LiuJia-Ying TangFeng ZhouXiao-Gang ChenXian-Jiang SongHui-Peng LvYong Ai . Homochiral organic ferroelastics with plastic phase transition. Chinese Chemical Letters, 2025, 36(7): 110188-. doi: 10.1016/j.cclet.2024.110188

    6. [6]

      Yuhao MaYufei ZhouMingchuan YuCheng FangShaoxia YangJunfeng Niu . Covalently bonded ternary photocatalyst comprising MoSe2/black phosphorus nanosheet/graphitic carbon nitride for efficient moxifloxacin degradation. Chinese Chemical Letters, 2024, 35(9): 109453-. doi: 10.1016/j.cclet.2023.109453

    7. [7]

      Tian YangYi LiuLina HuaYaoyao ChenWuqian GuoHaojie XuXi ZengChanghao GaoWenjing LiJunhua LuoZhihua Sun . Lead-free hybrid two-dimensional double perovskite with switchable dielectric phase transition. Chinese Chemical Letters, 2024, 35(6): 108707-. doi: 10.1016/j.cclet.2023.108707

    8. [8]

      Zhaohong ChenMengzhen LiJinfei LanShengqian HuXiaogang Chen . Organic ferroelastic enantiomers with high Tc and large dielectric switching ratio triggered by order-disorder and displacive phase transition. Chinese Chemical Letters, 2024, 35(10): 109548-. doi: 10.1016/j.cclet.2024.109548

    9. [9]

      Zhi-Yuan YueHua-Kai LiNa WangShan-Shan LiuLe-Ping MiaoHeng-Yun YeChao Shi . Dehydration-triggered structural phase transition-associated ferroelectricity in a hybrid perovskite-type crystal. Chinese Chemical Letters, 2024, 35(10): 109355-. doi: 10.1016/j.cclet.2023.109355

    10. [10]

      Ying-Yu ZhangJia-Qi LuoYan HanWan-Ying ZhangYi ZhangHai-Feng LuDa-Wei Fu . Bistable switch molecule DPACdCl4 showing four physical channels and high phase transition temperature. Chinese Chemical Letters, 2025, 36(1): 109530-. doi: 10.1016/j.cclet.2024.109530

    11. [11]

      Shifang SongChenyu WuLi ZhangDezhi YangYang LuZhengzheng Zhou . Unpacking phase transitions in multi-component drug systems: A case study. Chinese Chemical Letters, 2025, 36(7): 110911-. doi: 10.1016/j.cclet.2025.110911

    12. [12]

      Shengyu ZhaoQinhao ShiWuliang FengYang LiuXinxin YangXingli ZouXionggang LuYufeng Zhao . Suppression of multistep phase transitions of O3-type cathode for sodium-ion batteries. Chinese Chemical Letters, 2024, 35(5): 108606-. doi: 10.1016/j.cclet.2023.108606

    13. [13]

      Xiao YangWenjing LiuJiarui KongXiangcheng ShanQiupei LeiZhipeng YinRunzeng LiuMin ZhangQingzhe ZhangYongguang YinChuanyong JingYong Cai . Synthesis of amine-functionalized polystyrene resin-based globular adsorbents for efficient and selective removal of As and Sb species. Chinese Chemical Letters, 2025, 36(11): 110856-. doi: 10.1016/j.cclet.2025.110856

    14. [14]

      Keke HanWenjun RaoXiuli YouHaina ZhangXing YeZhenhong WeiHu Cai . Two new high-temperature molecular ferroelectrics [1,5-3.2.2-Hdabcni]X (X = ClO4, ReO4). Chinese Chemical Letters, 2024, 35(6): 108809-. doi: 10.1016/j.cclet.2023.108809

    15. [15]

      Shengyu ZhaoXuan YuYufeng Zhao . A water-stable high-voltage P3-type cathode for sodium-ion batteries. Chinese Chemical Letters, 2024, 35(9): 109933-. doi: 10.1016/j.cclet.2024.109933

    16. [16]

      Kailong ZhangChao ZhangLuanhui WuQidong YangJiadong ZhangGuang HuLiang SongGaoran LiWenlong Cai . Chloride molten salt derived attapulgite with ground-breaking electrochemical performance. Chinese Chemical Letters, 2024, 35(10): 109618-. doi: 10.1016/j.cclet.2024.109618

    17. [17]

      Mao-Fan LiMing‐Yu GuoDe-Xuan LiuXiao-Xian ChenWei-Jian XuWei-Xiong Zhang . Multi-stimuli responsive behaviors in a new chiral hybrid nitroprusside salt (R-3-hydroxypyrrolidinium)2[Fe(CN)5(NO)]. Chinese Chemical Letters, 2024, 35(12): 109507-. doi: 10.1016/j.cclet.2024.109507

    18. [18]

      Hao-Fei NiJia-He LinGele TeriQiang-Qiang JiaPei-Zhi HuangHai-Feng LuChang-Feng WangZhi-Xu ZhangDa-Wei FuYi Zhang . B-site ion regulation strategy enables performance optimization and multifunctional integration of hybrid perovskite ferroelectrics. Chinese Chemical Letters, 2025, 36(3): 109690-. doi: 10.1016/j.cclet.2024.109690

    19. [19]

      Fan WuShaoyang WuXin YeYurong RenPeng Wei . Research progress of high-entropy cathode materials for sodium-ion batteries. Chinese Chemical Letters, 2025, 36(4): 109851-. doi: 10.1016/j.cclet.2024.109851

    20. [20]

      Yan ZouYuting XueChenxue DuWenyang FuBin XiaYu HeLiang AoXiaoshu LvGuangming Jiang . Anhydrous sodium sulfate microparticles for efficient water separation from surfactant-stabilized water-in-oil emulsions. Chinese Chemical Letters, 2025, 36(11): 110814-. doi: 10.1016/j.cclet.2025.110814

Metrics
  • PDF Downloads(1)
  • Abstract views(31)
  • HTML views(2)

通讯作者: 陈斌, bchen63@163.com
  • 1. 

    沈阳化工大学材料科学与工程学院 沈阳 110142

  1. 本站搜索
  2. 百度学术搜索
  3. 万方数据库搜索
  4. CNKI搜索
Address:Zhongguancun North First Street 2,100190 Beijing, PR China Tel: +86-010-82449177-888
Powered By info@rhhz.net

/

DownLoad:  Full-Size Img  PowerPoint
Return