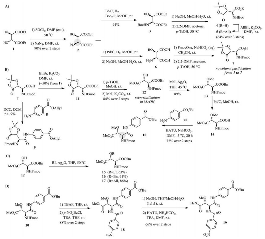
Citation: Liu Long, Wang Bo, Bi Cheng, He Gang, Chen Gong. Efficient preparation of β-hydroxy aspartic acid and its derivatives[J]. Chinese Chemical Letters, ;2018, 29(7): 1113-1115. doi: 10.1016/j.cclet.2018.05.012 shu

Efficient preparation of β-hydroxy aspartic acid and its derivatives

  • Corresponding author: Chen Gong, gongchen@nankai.edu.cn
  • Received Date: 4 April 2018
    Revised Date: 2 May 2018
    Accepted Date: 3 May 2018
    Available Online: 5 July 2018

Figures(2)

Metrics
  • PDF Downloads(10)
  • Abstract views(2130)
  • HTML views(83)

通讯作者: 陈斌, bchen63@163.com
  • 1. 

    沈阳化工大学材料科学与工程学院 沈阳 110142

  1. 本站搜索
  2. 百度学术搜索
  3. 万方数据库搜索
  4. CNKI搜索
Address:Zhongguancun North First Street 2,100190 Beijing, PR China Tel: +86-010-82449177-888
Powered By info@rhhz.net

/

DownLoad:  Full-Size Img  PowerPoint
Return