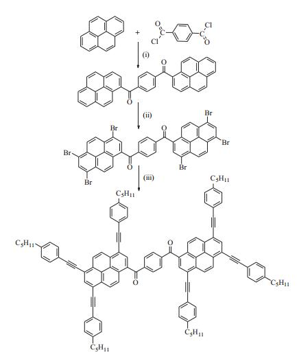
Unique fluorescence properties of a self-assembling bis-pyrene molecule
- Corresponding author: Wang Lei, wanglei@nanoctr.cn Yang Huai, yanghuai@mater.ustb.edu.cn
Citation:
Li Zhaozhong, Li Yang, Wang Dong, Cui Qing, Li Zhengqiang, Wang Lei, Yang Huai. Unique fluorescence properties of a self-assembling bis-pyrene molecule[J]. Chinese Chemical Letters,
;2018, 29(11): 1645-1647.
doi:
10.1016/j.cclet.2018.01.056
T.M. Figueira-Duarte, K. Müllen, Chem. Rev. 111(2011) 7260-7314.
doi: 10.1021/cr100428a
S. Karuppannan, J.C. Chambron, J. Chem. Asian 6(2011) 964-984.
doi: 10.1002/asia.v6.4
M. Ndao, R. Lefort, C.V. Cerclier, et al., RSC Adv. 4(2014) 59358-59369.
doi: 10.1039/C4RA13032D
P.X. Liang, D. Wang, Z.C. Miao, et al., Chin. Chem. Lett. 25(2014) 237-242.
doi: 10.1016/j.cclet.2013.10.020
Y. Li, D. Wang, L. Wang, et al., J. Lumin. 132(2012) 1010-1014.
doi: 10.1016/j.jlumin.2011.12.010
Y. Li, M.G. Li, Y.J. Su, et al., Chin. Chem. Lett. 27(2016) 475-480.
doi: 10.1016/j.cclet.2015.12.024
Y.Z. Zhao, D. Wang, Z.M. He, et al., Chin. Chem. Lett. 26(2015) 785-789.
doi: 10.1016/j.cclet.2015.03.023
L. Wang, S.J. Park, S.H. Lee, et al., Chem. Mater. 21(2009) 3838-3847.
doi: 10.1021/cm901381p
L. Wang, J.K. Tang, Y. Li, et al., J. Mol. Sci. 26(2010) 424-427.
J. Luo, Z. Xie, J.W.Y. Lam, et al., Chem. Commun. (2001) 1740-1741.
J. Mei, N.L.C. Leung, R.T.K. Kwok, et al., Chem. Rev. 115(2015) 11718-11940.
doi: 10.1021/acs.chemrev.5b00263
D. Su, C.L. Teoh, L. Wang, et al., Chem. Soc. Rev. 46(2017) 4833-4844.
doi: 10.1039/C7CS00018A
F.D. Lewis, P. Daublain, G.B. Delos Santos, et al., J. Am. Chem. Soc. 128(2006) 4792-4801.
doi: 10.1021/ja058050x
Y. Wang, Z. He, G. Chen, et al., Chin. Chem. Lett. 28(2017) 2133-2138.
doi: 10.1016/j.cclet.2017.09.054
X. Liu, Z. Xu, J.M. Cole, J. Phys. Chem. C 117(2013) 16584-16595.
doi: 10.1021/jp404170w
P.C. Shen, Z.Y. Zhuang, Z.J. Zhao, B.Z. Tang, Chin. Chem. Lett. 27(2016) 1115-1123.
doi: 10.1016/j.cclet.2016.06.031
Hao Zhang , Hao Liu , Ke Huang , Qingxiu Xia , Hongjie Xiong , Xiaohui Liu , Hui Jiang , Xuemei Wang . Ionic exchange based intracellular self-assembly of pitaya-structured nanoparticles for tumor imaging. Chinese Chemical Letters, 2025, 36(6): 110281-. doi: 10.1016/j.cclet.2024.110281
Ying Xu , Chengying Shen , Hailong Yuan , Wei Wu . Mapping multiple phases in curcumin binary solid dispersions by fluorescence contrasting. Chinese Chemical Letters, 2024, 35(9): 109324-. doi: 10.1016/j.cclet.2023.109324
Yuanpeng Ye , Longfei Yao , Guofeng Liu . Engineering circularly polarized luminescence through symmetry manipulation in achiral tetraphenylpyrazine structures. Chinese Journal of Structural Chemistry, 2025, 44(2): 100460-100460. doi: 10.1016/j.cjsc.2024.100460
Sifan Du , Yuan Wang , Fulin Wang , Tianyu Wang , Li Zhang , Minghua Liu . Evolution of hollow nanosphere to microtube in the self-assembly of chiral dansyl derivatives and inversed circularly polarized luminescence. Chinese Chemical Letters, 2024, 35(7): 109256-. doi: 10.1016/j.cclet.2023.109256
Heng Gao , Zhaocong Cheng , Guangshui Tu , Zonglin Qiu , Xieyi Xiao , Haotian Zhou , Handou Zheng , Haiyang Gao . Thermally robust bis(imino)pyridyl iron catalysts for ethylene polymerization: Synergy effects of weak π-π interaction, steric bulk, and electronic tuning. Chinese Chemical Letters, 2025, 36(5): 110762-. doi: 10.1016/j.cclet.2024.110762
Deshuai Zhen , Chunlin Liu , Qiuhui Deng , Shaoqi Zhang , Ningman Yuan , Le Li , Yu Liu . A review of covalent organic frameworks for metal ion fluorescence sensing. Chinese Chemical Letters, 2024, 35(8): 109249-. doi: 10.1016/j.cclet.2023.109249
Yuwen Zhu , Xiang Deng , Yan Wu , Baode Shen , Lingyu Hang , Yuye Xue , Hailong Yuan . Formation mechanism of herpetrione self-assembled nanoparticles based on pH-driven method. Chinese Chemical Letters, 2025, 36(1): 109733-. doi: 10.1016/j.cclet.2024.109733
Manman Ou , Yunjian Zhu , Jiahao Liu , Zhaoxuan Liu , Jianjun Wang , Jun Sun , Chuanxiang Qin , Lixing Dai . Polyvinyl alcohol fiber with enhanced strength and modulus and intense cyan fluorescence based on covalently functionalized graphene quantum dots. Chinese Chemical Letters, 2025, 36(2): 110510-. doi: 10.1016/j.cclet.2024.110510
Junqing Wu , Yiyang Zhang , Qingqing Hong , Hui Yang , Lifeng Zhang , Ming Zhang , Lei Yu . Organometallic modification of silica with europium endowing the fluorescence properties: The key technique for numerical quality monitoring. Chinese Chemical Letters, 2025, 36(4): 110165-. doi: 10.1016/j.cclet.2024.110165
Shengyong Liu , Hui Li , Wei Zhang , Yan Zhang , Yan Dong , Wei Tian . Multiple host-guest and metal coordination interactions induce supramolecular assembly and structural transition. Chinese Chemical Letters, 2025, 36(6): 110465-. doi: 10.1016/j.cclet.2024.110465
Kuan Deng , Fei Yang , Zhi-Qi Cheng , Bi-Wen Ren , Hua Liu , Jiao Chen , Meng-Yao She , Le Yu , Xiao-Gang Liu , Hai-Tao Feng , Jian-Li Li . Construction of wavelength-tunable DSE quinoline salt derivatives by regulating the hybridization form of the nitrogen atom and intramolecular torsion angle. Chinese Chemical Letters, 2024, 35(10): 109464-. doi: 10.1016/j.cclet.2023.109464
Mengfan Zhang , Lingyan Liu , Peng Wei , Wei Feng , Tao Yi . A proximity tagging strategy utilizing an activated aldehyde group as the active site. Chinese Chemical Letters, 2025, 36(4): 110127-. doi: 10.1016/j.cclet.2024.110127
Ying Wang , Hong Yang , Caixia Zhu , Qing Hong , Xuwen Cao , Kaiyuan Wang , Yuan Xu , Yanfei Shen , Songqin Liu , Yuanjian Zhang . Cascading oxidoreductases-like nanozymes for high selective and sensitive fluorescent detection of ascorbic acid. Chinese Chemical Letters, 2025, 36(4): 110153-. doi: 10.1016/j.cclet.2024.110153
Jingqi Xin , Shupeng Han , Meichen Zheng , Chenfeng Xu , Zhongxi Huang , Bin Wang , Changmin Yu , Feifei An , Yu Ren . A nitroreductase-responsive nanoprobe with homogeneous composition and high loading for preoperative non-invasive tumor imaging and intraoperative guidance. Chinese Chemical Letters, 2024, 35(7): 109165-. doi: 10.1016/j.cclet.2023.109165
Keyang Li , Yanan Wang , Yatao Xu , Guohua Shi , Sixian Wei , Xue Zhang , Baomei Zhang , Qiang Jia , Huanhua Xu , Liangmin Yu , Jun Wu , Zhiyu He . Flash nanocomplexation (FNC): A new microvolume mixing method for nanomedicine formulation. Chinese Chemical Letters, 2024, 35(10): 109511-. doi: 10.1016/j.cclet.2024.109511
Xuanyu Wang , Zhao Gao , Wei Tian . Supramolecular confinement effect enabling light-harvesting system for photocatalytic α-oxyamination reaction. Chinese Chemical Letters, 2024, 35(11): 109757-. doi: 10.1016/j.cclet.2024.109757
Xian Yan , Huawei Xie , Gao Wu , Fang-Xing Xiao . Boosted solar water oxidation steered by atomically precise alloy nanocluster. Chinese Chemical Letters, 2025, 36(1): 110279-. doi: 10.1016/j.cclet.2024.110279
Feng Cao , Chunxiang Xian , Tianqi Yang , Yue Zhang , Haifeng Chen , Xinping He , Xukun Qian , Shenghui Shen , Yang Xia , Wenkui Zhang , Xinhui Xia . Gelation-pyrolysis strategy for fabrication of advanced carbon/sulfur cathodes for lithium-sulfur batteries. Chinese Chemical Letters, 2025, 36(3): 110575-. doi: 10.1016/j.cclet.2024.110575
Fengying Ye , Ming Hu , Jun Luo , Wei Yu , Zhirong Xu , Jinjin Fu , Yansong Zheng . Significantly boosting circularly polarized luminescence by synergy of helical and planar chirality. Chinese Chemical Letters, 2025, 36(5): 110724-. doi: 10.1016/j.cclet.2024.110724
Weibin Shen , Jie Liu , Gongyu Wen , Shuai Li , Binhui Yu , Shuangyu Song , Bojie Gong , Rongyang Zhang , Shibao Liu , Hongpeng Wang , Yao Wang , Yujing Liu , Huadong Yuan , Jianming Luo , Shihui Zou , Xinyong Tao , Jianwei Nai . Formation of FeNi-based nanowire-assembled superstructures with tunable anions for electrocatalytic oxygen evolution reaction. Chinese Chemical Letters, 2025, 36(7): 110184-. doi: 10.1016/j.cclet.2024.110184