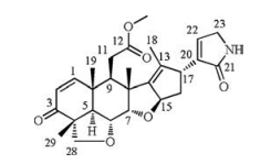
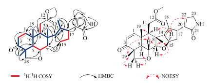
A new cytotoxic salannin-class limonoid alkaloid from seeds of Azadirachta indica A. Juss
- Corresponding author: Zi Jiachen, jiachen_zi@163.com
Citation:
Zhu Jianxun, Lu Xiaofeng, Fan Xiaona, Wu Ruibo, Diao Hongjuan, Yu Rongmin, Xu Hanhong, Zi Jiachen. A new cytotoxic salannin-class limonoid alkaloid from seeds of Azadirachta indica A. Juss[J]. Chinese Chemical Letters,
;2018, 29(8): 1261-1263.
doi:
10.1016/j.cclet.2017.11.042
V.S. Kumar, V. Navaratnam, Asian Pac. J. Trop. Biomed. 3 (2013) 505-514.
doi: 10.1016/S2221-1691(13)60105-7
S. Senthil-Nathan, Front. Physiol. 4 (2013) 359.
P. Thakurta, P. Bhowmik, S. Mukherjee, et al., J. Ethnopharmacol. 111 (2007) 607-612.
doi: 10.1016/j.jep.2007.01.022
G. Brahmachari, ChemBioChem 5 (2004) 408-421.
doi: 10.1002/cbic.v5:4
Q.G. Tan, X.D. Lou, Chem. Rev. 111 (2011) 7437-7522.
doi: 10.1021/cr9004023
T. Akihisa, T. Noto, A. Takahashi, et al., J. Oleo Sci. 58 (2009) 581-594.
doi: 10.5650/jos.58.581
A. Alam, S. Haldar, H.V. Thulasiram, et al., J. Biol. Chem. 287 (2012) 24844-24861.
doi: 10.1074/jbc.M112.341321
S.A. Khalid, H. Duddeck, M. Gonzalez-Sierra, J. Nat. Prod. 52 (1989) 922-927.
doi: 10.1021/np50065a002
W. Maneerata, S. Laphookhieoa, S. Koysomboonb, et al., Phytomedicine 15 (2008) 1130-1134.
doi: 10.1016/j.phymed.2008.05.004
R. Subramani, E. Gonzalez, A. Arumugam, et al., Sci. Rep. 6 (2016) 19819.
doi: 10.1038/srep19819
J. Sophia, T.K. Kiran Kishore, J. Kowshik, et al., Sci. Rep. 6 (2016) 22192.
doi: 10.1038/srep22192
S.C. Gupta, S.K. Francis, M.S. Nair, et al., J. Biol. Chem. 288 (2013) 32343-32356.
doi: 10.1074/jbc.M113.455188
W. Kraus, A. Klenk, M. Bokel, et al., Liebigs Ann. Chem. (1987) 337-340.
L.J. Meng, Q.L. Guo, C.G. Zhu, et al., Chin. Chem. Lett. 29 (2018) 119-122.
doi: 10.1016/j.cclet.2017.05.019
J.H. Li, Y. Li, F.L. An, et al., Tetrahedron 72 (2016) 7481-7487.
doi: 10.1016/j.tet.2016.09.061
S.H. Qi, L. Chen, D.G. Wu, et al., Tetrahedron 59 (2003) 4193-4199.
doi: 10.1016/S0040-4020(03)00573-8
G.Y. Zhu, G. Chen, L. Liu, et al., J. Nat. Prod. 77 (2014) 983-989.
doi: 10.1021/np401089h
Guo-Ping Yin , Ya-Juan Li , Li Zhang , Ling-Gao Zeng , Xue-Mei Liu , Chang-Hua Hu . Citrinsorbicillin A, a novel homotrimeric sorbicillinoid isolated by LC-MS-guided with cytotoxic activity from the fungus Trichoderma citrinoviride HT-9. Chinese Chemical Letters, 2024, 35(8): 109035-. doi: 10.1016/j.cclet.2023.109035
Zhengyi Shi , Jie Yin , Yang Xiao , Zhangrong Hou , Fei Song , Jianping Wang , Qingyi Tong , Changxing Qi , Yonghui Zhang . Unprecedented sesquiterpene-polycyclic polyprenylated acylphloroglucinol adduct against acute myeloid leukemia via inhibiting mitochondrial complex Ⅴ. Chinese Chemical Letters, 2024, 35(10): 109458-. doi: 10.1016/j.cclet.2023.109458
Xuan Pan , Tao Sheng , Zhanzhu Liu . A concise total synthesis of monoterpenoid indole alkaloid (-)-voacafricine A. Chinese Chemical Letters, 2025, 36(10): 110913-. doi: 10.1016/j.cclet.2025.110913
Jingping Hu , Jing Xu . Total synthesis of a putative yuzurimine-type Daphniphyllum alkaloid C14–epi-deoxycalyciphylline H. Chinese Chemical Letters, 2024, 35(4): 108733-. doi: 10.1016/j.cclet.2023.108733
Muhammad Nafees , Muhammad Hanif , Piaoping Yang . Metallodrugs: From mere cytotoxic agents to immune modulators and checkpoint inhibitors. Chinese Chemical Letters, 2026, 37(4): 111013-. doi: 10.1016/j.cclet.2025.111013
Guangyao Wang , Zhitong Xu , Ye Qi , Yueguang Fang , Guiling Ning , Junwei Ye . Electrospun nanofibrous membranes with antimicrobial activity for air filtration. Chinese Chemical Letters, 2024, 35(10): 109503-. doi: 10.1016/j.cclet.2024.109503
Ting Wang , Xin Yu , Yaqiang Xie . Unlocking stability: Preserving activity of biomimetic catalysts with covalent organic framework cladding. Chinese Chemical Letters, 2024, 35(6): 109320-. doi: 10.1016/j.cclet.2023.109320
Fangping Yang , Jin Shi , Yuansong Wei , Qing Gao , Jingrui Shen , Lichen Yin , Haoyu Tang . Mixed-charge glycopolypeptides as antibacterial coatings with long-term activity. Chinese Chemical Letters, 2025, 36(2): 109746-. doi: 10.1016/j.cclet.2024.109746
Chong Liu , Ling Li , Jiahui Gao , Yanwei Li , Nazhen Zhang , Jing Zang , Cong Liu , Zhaopei Guo , Yanhui Li , Huayu Tian . The study of antibacterial activity of cationic poly(β-amino ester) regulating by amphiphilic balance. Chinese Chemical Letters, 2025, 36(2): 110118-. doi: 10.1016/j.cclet.2024.110118
Di ZHANG , Tianxiang XIE , Xu HE , Wanyu WEI , Qi FAN , Jie QIAO , Gang JIN , Ningbo LI . Construction and antitumor activity of pH/GSH dual-responsive magnetic nanodrug. Chinese Journal of Inorganic Chemistry, 2025, 41(4): 786-796. doi: 10.11862/CJIC.20240329
Xiangyuan Zhao , Jinjin Wang , Jinzhao Kang , Xiaomei Wang , Hong Yu , Cheng-Feng Du . Ni nanoparticles anchoring on vacuum treated Mo2TiC2Tx MXene for enhanced hydrogen evolution activity. Chinese Journal of Structural Chemistry, 2023, 42(10): 100159-100159. doi: 10.1016/j.cjsc.2023.100159
Xinyi Hu , Riguang Zhang , Zhao Jiang . Depositing the PtNi nanoparticles on niobium oxide to enhance the activity and CO-tolerance for alkaline methanol electrooxidation. Chinese Journal of Structural Chemistry, 2023, 42(11): 100157-100157. doi: 10.1016/j.cjsc.2023.100157
Anqiu LIU , Long LIN , Dezhi ZHANG , Junyu LEI , Kefeng WANG , Wei ZHANG , Junpeng ZHUANG , Haijun HAO . Synthesis, structures, and catalytic activity of aluminum and zinc complexes chelated by 2-((2,6-dimethylphenyl)amino)ethanolate. Chinese Journal of Inorganic Chemistry, 2024, 40(4): 791-798. doi: 10.11862/CJIC.20230424
Bin Dong , Ning Yu , Qiu-Yue Wang , Jing-Ke Ren , Xin-Yu Zhang , Zhi-Jie Zhang , Ruo-Yao Fan , Da-Peng Liu , Yong-Ming Chai . Double active sites promoting hydrogen evolution activity and stability of CoRuOH/Co2P by rapid hydrolysis. Chinese Chemical Letters, 2024, 35(7): 109221-. doi: 10.1016/j.cclet.2023.109221
Tao Yu , Vadim A. Soloshonok , Zhekai Xiao , Hong Liu , Jiang Wang . Probing the dynamic thermodynamic resolution and biological activity of Cu(Ⅱ) and Pd(Ⅱ) complexes with Schiff base ligand derived from proline. Chinese Chemical Letters, 2024, 35(4): 108901-. doi: 10.1016/j.cclet.2023.108901
Jia Chen , Yun Liu , Zerong Long , Yan Li , Hongdeng Qiu . Colorimetric detection of α-glucosidase activity using Ni-CeO2 nanorods and its application to potential natural inhibitor screening. Chinese Chemical Letters, 2024, 35(9): 109463-. doi: 10.1016/j.cclet.2023.109463
Guoping Yang , Zhoufu Lin , Xize Zhang , Jiawei Cao , Xuejiao Chen , Yufeng Liu , Xiaoling Lin , Ke Li . Assembly of Y(Ⅲ)-containing antimonotungstates induced by malic acid with catalytic activity for the synthesis of imidazoles. Chinese Chemical Letters, 2024, 35(12): 110274-. doi: 10.1016/j.cclet.2024.110274
Meng Wang , Yan Zhang , Yunbo Yu , Wenpo Shan , Hong He . High-temperature calcination dramatically promotes the activity of Cs/Co/Ce-Sn catalyst for soot oxidation. Chinese Chemical Letters, 2025, 36(1): 109928-. doi: 10.1016/j.cclet.2024.109928
Yao HUANG , Yingshu WU , Zhichun BAO , Yue HUANG , Shangfeng TANG , Ruixue LIU , Yancheng LIU , Hong LIANG . Copper complexes of anthrahydrazone bearing pyridyl side chain: Synthesis, crystal structure, anticancer activity, and DNA binding. Chinese Journal of Inorganic Chemistry, 2025, 41(1): 213-224. doi: 10.11862/CJIC.20240359
Yun-Feng Liu , Hui-Fang Du , Ya-Hui Zhang , Zhi-Qin Liu , Xiao-Qian Qi , Du-Qiang Luo , Fei Cao . Chaeglobol A, an unusual octocyclic sterol with antifungal activity from the marine-derived fungus Chaetomium globosum HBU-45. Chinese Chemical Letters, 2025, 36(3): 109858-. doi: 10.1016/j.cclet.2024.109858