Citation: Wan Yan, Ma Jia-Qi, Hong Chao, Li Mei-Chao, Jin Li-Qun, Hu Xin-Quan, Hu Bao-Xiang, Mo Wei-Min, Sun Nan, Shen Zhen-Lu. Direct synthesis of imines by 9-azabicyclo-[3, 3, 1]nonan-N-oxyl/KOHcatalyzed aerobic oxidative coupling of alcohols and amines[J]. Chinese Chemical Letters, ;2018, 29(8): 1269-1272. doi: 10.1016/j.cclet.2017.10.006 shu

Direct synthesis of imines by 9-azabicyclo-[3, 3, 1]nonan-N-oxyl/KOHcatalyzed aerobic oxidative coupling of alcohols and amines

  • Corresponding author: Shen Zhen-Lu, zhenlushen@zjut.edu.cn
  • Received Date: 15 June 2017
    Revised Date: 4 September 2017
    Accepted Date: 11 October 2017
    Available Online: 14 August 2017

Figures(2)

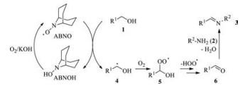
  • A simple and efficient method for preparation of imines by the oxidative coupling of benzyl alcohols with aromatic amines or aliphatic amines was developed. The reaction was catalyzed by 9-azabicyclo[3.3.1] nonan-N-oxyl (ABNO)/KOH with air as the economic and green oxidant. Under the optimal reaction conditions, a variety of imines were obtained in 80%-96% isolated yields.
  • 加载中
    1. [1]

      (a) R. Bloch, Chem. Rev. 98 (1998) 1407-1438;
      (b) S. Kobayashi, H. Ishitani, Chem. Rev. 99 (1999) 1069-1094;
      (c) J. P. Adams, J. Chem. Soc. Perkin Trans. I 2 (2000) 125-139;
      (d) L. Yet, Angew Chem. Int. Ed. 40 (2001) 875-877;
      (e) D. Chen, Y. Wang, J. Klankermayer, Angew. Chem. Int. Ed. 49 (2010) 9475-9478;
      (f) J. Wang, X. Liu, X. Feng, Chem. Rev. 111 (2011) 6947-6983;
      (g) Y. Kobayashi, J. S. Mori, M. M. Fossey, Chem. Rev. 111 (2011) 2626-2704;
      (h) J. C. Adrio, Chem. Commun. 47 (2011) 6784-6794;
      (i) R. He, X. Jin, H. Chen, et al., J. Am. Chem. Soc. 136 (2014) 6558-6561;
      (j) M. Kondo, T. Kobayashi, N. Hatanaka, Y. Funahashi, S. Nakamura, Chem. -Eur. J. 1 (2015) 9066-9070;
      (k) B. Rohokale, D. D. Koenig, J. Org. Chem. 81 (2016) 7121-7126.

    2. [2]

      (a) S. I. Murahashi, Angew. Chem. Int. Ed. Engl. 34 (1995) 2443-2465;
      (b) S. Yao, S. Saaby, R. G. Hazell, K. A. Jørgensen, Chem. -Eur. J. 6 (2000) 2435-2448;
      (c) P. Vicini, A. Geronikaki, M. Incerti, et al., Bioorg. Med. Chem. 11 (2003) 4785-4789;
      (d) Z. Y. Liu, Y. M. Wang, Z. R. Li, J. D. Jiang, D. W. Boykin, Bioorg. Med. Chem. Lett. 19 (2009) 5661-5664.

    3. [3]

      (a) H. Schiff, Justus Liebigs Ann. Chem. 131 (1864) 118-119;
      (b) F. H. Westheimer, K. Taguchi, J. Org. Chem. 36 (1971) 1570-1572;
      (c) R. S. Varma, R. Dahiya, S. Kumar, Tetrahedron Lett. 38 (1997) 2039-2042;
      (d) G. Liu, D. A. Cogan, T. D. Owens, T. P. Tang, J. A. Ellman, J. Org. Chem. 64 (1999) 1278-1284;
      (e) M. A. Sprung, Chem. Rev. 26 (2002) 297-338;
      (f) H. Naeimi, F. Salimi, K. Rabiei, J. Mol. Catal. 260 (2006) 100-104;
      (g) J. T. Reeves, M. D. Visco, M. A. Marsini, et al., Org. Lett. 17 (2015) 2442-2445.

    4. [4]

      (a) Q. Kang, Y. Zhang, Green Chem. 14 (2012) 1016-1019;
      (b) S. Musa, S. Fronton, L. Vaccaro, D. Gelman, Organometallics 32 (2013) 3069-3073;
      (c) D. Wang, X. Guo, C. Wang, et al., Adv. Syn. Catal. 355 (2013) 1117-1125;
      (d) J. F. Soule, H. Miyamura, S. Kobayashi, Chem. Commun. 49 (2013) 355-357;
      (e) K. T. Venkateswara Rao, B. Haribabu, P. S. Sai Prasad, N. Lingaiah, Green Chem. 15 (2013) 837-846;
      (f) J. Wang, S. Lu, X. Cao, H. Gu, Chem. Commun. 50 (2014) 5637-5640;
      (g) B. Chen, J. Li, W. Dai, L. Wang, S. Gao, Green Chem. 16 (2014) 3328-3334;
      (h) Z. Zhang, F. Wang, M. Wang, et al., Green Chem. 16 (2014) 2523-2527;
      (i) L. Wang, B. Chen, L. Ren, et al., Chin. J. Catal. 36 (2015) 19-23;
      (j) M. Tamura, K. Tomishige, Angew. Chem. In. Ed. 54 (2015) 864-867;
      (k) Z. Zhang, Y. Wang, M. Wang, et al., Chin. J. Catal. 36 (2015) 1623-1630;
      (l) S. Furukawa, A. Suga, T. Komatsu, ACS Catal. 5 (2015) 1214-1222;
      (m) W. Deng, J. Chen, J. Kang, Q. Zhang, Y. Wang, Chem. Commun. 52 (2016) 6805-6808;
      (n) R. R. Donthiri, R. D. Patil, S. Adimurthy, Eur. J. Org. Chem. 2012 (2012) 4457-4460.

    5. [5]

      (a) L. Liu, S. Zhang, X. Fu, C. H. Yan, Chem. Commun. 47 (2011) 10148-10150;
      (b) H. Huang, J. Huang, Y. Liu, et al., Green Chem. 14 (2012) 930-934;
      (c) C. Su, M. Acik, K. Takai, et al., Nat. Commun. 3 (2012) 1298-1306;
      (d) L. Liu, Z. Wang, X. Fu, C. H. Yan, Org. Lett. 14 (2012) 5692-5695;
      (e) X. H. Li, M. Antonietti, Angew. Chem. Int. Ed. 52 (2013) 4572-4576;
      (f) A. Monopoli, P. Cotugno, F. Iannone, et al., Eur. J. Org. Chem. 2014 (2014) 5925-5931;
      (g) H. Wang, X. Zheng, H. Chen, et al., Chem. Comm. 50 (2014) 7517-7520;
      (h) B. Chen, L. Wang, W. Dai, et al., ACS Catal. 5 (2015) 2788-2794.

    6. [6]

      (a) J. H. Park, K. C. Ko, E. Kim, et al., Org. Lett. 14 (2012) 5502-5505;
      (b) N. Li, X. Lang, W. Ma, et al., Chem. Commun. 49 (2013) 5034-5036;
      (c) S. Naya, K. Kimura, H. Tada, ACS Catal. 3 (2013) 10-13;
      (d) W. Zhao, C. Liu, L. Cao, et al., RSC Adv. 3 (2013) 22944-22948;
      (e) X. Lang, X. Chen, J. Zhao, Chem. Soc. Rev. 43 (2014) 473-486;
      (f) X. Lang, W. Ma, C. Chen, H. Ji, J. Zhao, J. Acc. Chem. Res. 47 (2014) 355-363;
      (g) X. J. Yang, B. Chen, X. B. Li, et al., Chem. Commun. 50 (2014) 6664-6667;
      (h) B. Yuan, R. Chong, B. Zhang, et al., Chem. Commun. 50 (2014) 14493-14496;
      (i) D. Sun, L. Ye, Z. Li, Appl. Catal. B: Environ. 164 (2015) 428-432.

    7. [7]

      (a) M. Largeron, A. Chiaroni, M. B. Fleury, Chem. -Eur. J. 14 (2008) 996-1003;
      (b) A. E. Wendlandt, S. S. Stahl, Org. Lett. 14 (2012) 2850-2853;
      (c) M. Largeron, M. B. Fleury, Angew. Chem. Int. Ed. 124 (2012) 5505-5508;
      (d) H. Yuan, W. J. Yoo, H. Miyamura, S. Kobayashi, J. Am. Chem. Soc. 134 (2012) 13970-13973;
      (e) M. Largeron, M. B. Fleury, Science 339 (2013) 43-44.

    8. [8]

      B. Chen, L. Wang, S. Gao, ACS Catal. 5 (2015) 5851-5876.  doi: 10.1021/acscatal.5b01479

    9. [9]

      H. Tian, X. Yu, Q. Li, J. Wang, Q. Xu, Adv. Synth. Catal. 354 (2012) 2671-2677.  doi: 10.1002/adsc.v354.14/15

    10. [10]

      M. Guan, C. Wang, J. Zhang, Y. Zhao, RSC Adv. 4 (2014) 48777-48782.  doi: 10.1039/C4RA09851J

    11. [11]

      L. Jiang, L. Jin, H. Tian, et al., Chem. Commun. 47 (2011) 10833-10835.  doi: 10.1039/c1cc14242a

    12. [12]

      E. Zhang, H. Tian, S. Xu, X. Yu, Q. Xu, Org. Lett. 15 (2013) 2704-2707.  doi: 10.1021/ol4010118

    13. [13]

      (a) Y. Xie, W. Mo, D. Xu, et al., J. Org. Chem. 72 (2007) 4288-4291;
      (b) X. He, Z. Shen, W. Mo, et al., Adv. Synth. Catal. 351 (2009) 89-92;
      (c) Q. Chen, C. Fang, Z. Shen, M. Li, Electrochem. Commun. 64 (2016) 51-55;
      (d) C. Fang, M. Li, X. Hu, et al., Adv. Synth. Catal. 358 (2016) 1157-1163;
      (e) J. Ma, C. Hong, Y. Wan, et al., Tetrahedron Lett. 58 (2017) 652-657;
      (f) X. Yang, Z. Fan, Z. Shen, M. Li, Electrochim. Acta 226 (2017) 53-59.

    14. [14]

      M. Shibuya, M. Tomizawa, Y. Sasano, Y. Iwabuchi, J. Org. Chem. 74 (2009) 4619-4622.  doi: 10.1021/jo900486w

    15. [15]

      T.R. Porter, D. Capitao, W. Kaminsky, Z. Qian, J.M. Mayer, Inorg. Chem. 55 (2016) 5467-5475.  doi: 10.1021/acs.inorgchem.6b00491

    16. [16]

      J. Xu, R. Zhuang, L. Bao, G. Tang, Y. Zhao, Green Chem. 14 (2012) 2384-2387.  doi: 10.1039/c2gc35714c

    17. [17]

      J. Ma, Y. Wan, C. Hong, et al., Eur. J. Org. Chem. 23 (2017) 3335-3342.

    18. [18]

      C. Annunziatini, M.F. Gerini, O. Lanzalunga, M. Lucarini, J. Org. Chem. 69 (2004) 3431-3438.  doi: 10.1021/jo049887y

    19. [19]

      Y. Hu, L. Chen, B. Li, Catal. Commun. 83 (2016) 482-487.

  • 加载中
    1. [1]

      Jun ZhangZhiyao ZhengCan Zhu . Stereochemical editing: Catalytic racemization of secondary alcohols and amines. Chinese Chemical Letters, 2024, 35(5): 109160-. doi: 10.1016/j.cclet.2023.109160

    2. [2]

      Yuan ZhangShenghao GongA.R. Mahammed ShaheerRong CaoTianfu Liu . Plasmon-enhanced photocatalytic oxidative coupling of amines in the air using a delicate Ag nanowire@NH2-UiO-66 core-shell nanostructures. Chinese Chemical Letters, 2024, 35(4): 108587-. doi: 10.1016/j.cclet.2023.108587

    3. [3]

      Min-Hang ZhouJun JiangWei-Min He . EDA-complexes-enabled photochemical synthesis of α-amino acids with imines and tetrabutylammonium oxalate. Chinese Chemical Letters, 2025, 36(1): 110446-. doi: 10.1016/j.cclet.2024.110446

    4. [4]

      Jun LiuZhaoyu FengRenming PanXiaolong YuMeijuan ZhouGang ZhaoHongyu Wang . Enantioselective regulation to coronal polyheterocyclic compounds via phosphonium salt-catalyzed cycloadditions of azomethine imines with γ-butenolides. Chinese Chemical Letters, 2025, 36(8): 110647-. doi: 10.1016/j.cclet.2024.110647

    5. [5]

      Guangyao WangZhitong XuYe QiYueguang FangGuiling NingJunwei Ye . Electrospun nanofibrous membranes with antimicrobial activity for air filtration. Chinese Chemical Letters, 2024, 35(10): 109503-. doi: 10.1016/j.cclet.2024.109503

    6. [6]

      Yuchen ZhangLifeng DingZhenghe XieXin ZhangXiaofeng SuiJian-Rong Li . Porous sorbents for direct capture of carbon dioxide from ambient air. Chinese Chemical Letters, 2025, 36(3): 109676-. doi: 10.1016/j.cclet.2024.109676

    7. [7]

      Xiaoyu DuHuan Wang . Tailoring mass transfer on electrochemical fixation of air-abundant molecules. Chinese Chemical Letters, 2025, 36(8): 110276-. doi: 10.1016/j.cclet.2024.110276

    8. [8]

      Daheng WenWeiwei FangYongmei LiuTao Tu . Valorization of carbon dioxide with alcohols. Chinese Chemical Letters, 2024, 35(7): 109394-. doi: 10.1016/j.cclet.2023.109394

    9. [9]

      Peng JiaYunna GuoDongliang ChenXuedong ZhangJingming YaoJianguo LuLiqiang ZhangIn-situ imaging electrocatalysis in a solid-state Li-O2 battery with CuSe nanosheets as air cathode. Chinese Chemical Letters, 2024, 35(5): 108624-. doi: 10.1016/j.cclet.2023.108624

    10. [10]

      Jian Yang Guang Yang Zhijie Chen . Capturing carbon dioxide from air by using amine-functionalized metal-organic frameworks. Chinese Journal of Structural Chemistry, 2024, 43(5): 100267-100267. doi: 10.1016/j.cjsc.2024.100267

    11. [11]

      Chao-Long ChenRong ChenLa-Sheng LongLan-Sun ZhengXiang-Jian Kong . Anchoring heterometallic cluster on P-doped carbon nitride for efficient photocatalytic nitrogen fixation in water and air ambient. Chinese Chemical Letters, 2024, 35(4): 108795-. doi: 10.1016/j.cclet.2023.108795

    12. [12]

      Miaomiao LiMengwei YuanXingzi ZhengKunyu HanGenban SunFujun LiHuifeng Li . Highly polar CoP/Co2P heterojunction composite as efficient cathode electrocatalyst for Li-air battery. Chinese Chemical Letters, 2024, 35(9): 109265-. doi: 10.1016/j.cclet.2023.109265

    13. [13]

      Shaojie Ding Henan Wang Xiaojing Dai Yuru Lv Xinxin Niu Ruilian Yin Fangfang Wu Wenhui Shi Wenxian Liu Xiehong Cao . Mn-modulated Co–N–C oxygen electrocatalysts for robust and temperature-adaptative zinc-air batteries. Chinese Journal of Structural Chemistry, 2024, 43(7): 100302-100302. doi: 10.1016/j.cjsc.2024.100302

    14. [14]

      Yubin FengWeihang ZhuXinting YangZhe YangChenke WeiYukai GuoAndrew K. WhittakerChun ShenYue ZhaoWenrui QuBai YangQuan Lin . Amphibian-inspired conductive ionogel stabilizing in air/water as a wearable amphibious flexible sensor for drowning alarms. Chinese Chemical Letters, 2025, 36(4): 110554-. doi: 10.1016/j.cclet.2024.110554

    15. [15]

      Jinhui XuYanting ZhangKecheng WenXinyu WangZhiwei YangYuan HuangGuozhong ZhengLupeng HuangJing Zhang . Enhanced removal of polystyrene nanoplastics by air flotation modified by dodecyltrimethylammonium chloride: Performance and mechanism. Chinese Chemical Letters, 2025, 36(5): 110240-. doi: 10.1016/j.cclet.2024.110240

    16. [16]

      Ya HanYingjian Yu . Ultralong discharge time enabled using etched germanium anodes in germanium-air batteries. Chinese Chemical Letters, 2025, 36(7): 110144-. doi: 10.1016/j.cclet.2024.110144

    17. [17]

      Xin LiZhijie LiuHezhi GuoZekai ZhangPolun PangYuting GaoXiangdong Tan . Underwater air bubble plasma-activated peroxymonosulfate for sustainable long-term self-purification of wastewater. Chinese Chemical Letters, 2026, 37(4): 111668-. doi: 10.1016/j.cclet.2025.111668

    18. [18]

      Xin LiJia-Min LuBo LiChen ZhaoBei-Bei YangLi Li . Chiroptical sensing for remote chiral amines via a C–H activation reaction. Chinese Chemical Letters, 2025, 36(5): 110310-. doi: 10.1016/j.cclet.2024.110310

    19. [19]

      Saima PerveenXicheng WangTao LiLinghua WangShuai ZhangYizhao OuyangXue ZhaoLiang XuPengfei Li . Enantioconvergent reductive amidation of benzyl ammonium salts for synthesis of α-chiral amides. Chinese Chemical Letters, 2026, 37(1): 111779-. doi: 10.1016/j.cclet.2025.111779

    20. [20]

      Peng Wang Daijie Deng Suqin Wu Li Xu . Cobalt-based deep eutectic solvent modified nitrogen-doped carbon catalyst for boosting oxygen reduction reaction in zinc-air batteries. Chinese Journal of Structural Chemistry, 2024, 43(1): 100199-100199. doi: 10.1016/j.cjsc.2023.100199

Metrics
  • PDF Downloads(1)
  • Abstract views(1537)
  • HTML views(58)

通讯作者: 陈斌, bchen63@163.com
  • 1. 

    沈阳化工大学材料科学与工程学院 沈阳 110142

  1. 本站搜索
  2. 百度学术搜索
  3. 万方数据库搜索
  4. CNKI搜索
Address:Zhongguancun North First Street 2,100190 Beijing, PR China Tel: +86-010-82449177-888
Powered By info@rhhz.net

/

DownLoad:  Full-Size Img  PowerPoint
Return