Citation:
Sun Xianglang, Zhao Dongbing, Li Zhong'an. Recent advances in the design of dopant-free hole transporting materials for highly efficient perovskite solar cells[J]. Chinese Chemical Letters,
;2018, 29(2): 219-231.
doi:
10.1016/j.cclet.2017.09.038
-
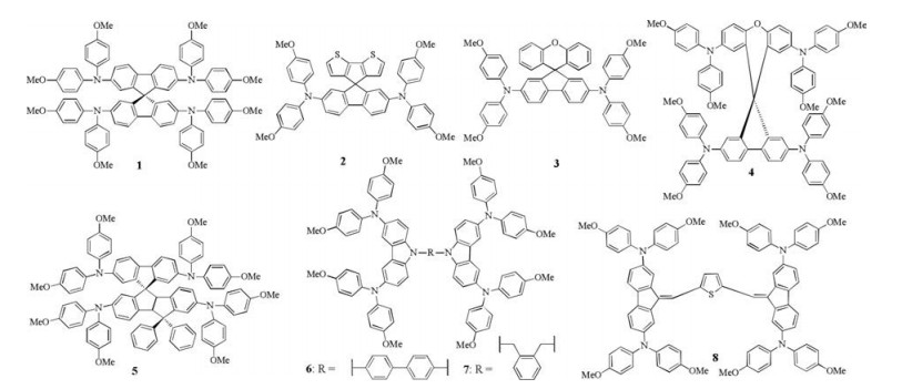
Continuous success has been achieved for solution-processed inorganic-organic hybrid perovskite solar cells(PVSCs) in the past several years, in which organic charge transporting materials play an important role.At present, most of the commonly used hole-transporting materials(HTMs) such as spiro-OMeTAD derivatives for PVSCs require additional chemical doping process to ensure sufficient conductivity and shift the Fermi level towards the HOMO level for efficient hole transport and collection.However, this doping process not only increases the complexity and cost of device fabrication, but also decreases the device stability.Thus development of efficient dopant-free HTMs for PVSCs is highly desirable and remains as a major challenge in this field.In this review, we will summarize the recent advances in the molecular design of dopant-free HTMs for PVSCs.
-
-
-
[1]
L.Etgar, P.Gao, Z.Xue, et al., J.Am.Chem.Soc.134(2012) 17396-17399. doi: 10.1021/ja307789s
-
[2]
M.Liu, M.B.Johnston, H.J.Snaith, Nature 501(2013) 395-398. doi: 10.1038/nature12509
-
[3]
P.Gao, M.Gratzel, M.K.Nazeeruddin, Energy Environ.Sci.7(2014) 2448-2463. doi: 10.1039/C4EE00942H
-
[4]
M.A.Green, A.Ho-Baillie, H.J.Snaith, Nat.Photonics 8(2014) 506-514. doi: 10.1038/nphoton.2014.134
- [5]
-
[6]
L.Calió, S.Kazim, M.Grätzel, S.Ahmad, Angew.Chem.Int.Ed.55(2016) 14522-14545. doi: 10.1002/anie.201601757
-
[7]
S.Kazim, M.K.Nazeeruddin, M.Grätzel, S.Ahmad, Angew.Chem.Int.Ed.126(2014) 2854-2867. doi: 10.1002/ange.v126.11
-
[8]
J.Burschka, N.Pellet, S.J.Moon, et al., Nature 499(2013) 316-319. doi: 10.1038/nature12340
-
[9]
W.Nie, H.Tsai, R.Asadpour, et al., Science 347(2015) 522-525. doi: 10.1126/science.aaa0472
-
[10]
H.Zhou, Q.Chen, G.Li, et al., Science 345(2014) 542-546. doi: 10.1126/science.1254050
-
[11]
T.J.Savenije, C.S.Ponseca, L.Kunneman, et al., J.Phys.Chem.Lett.5(2014) 2189-2194. doi: 10.1021/jz500858a
-
[12]
Q.Dong, Y.Fang, Y.Shao, et al., Science 347(2015) 967-970. doi: 10.1126/science.aaa5760
- [13]
-
[14]
N.Pellet, P.Gao, G.Gregori, et al., Angew.Chem.Int.Ed.126(2014) 3215-3221. doi: 10.1002/ange.201309361
-
[15]
H.S.Jung, N.G.Park, Small 11(2015) 10-25. doi: 10.1002/smll.201402767
-
[16]
A.Abate, S.Paek, F.Giordano, et al., Energy Environ.Sci.8(2015) 2946-2953. doi: 10.1039/C5EE02014J
-
[17]
S.F.Volker, S.Collavini, J.L.Delgado, ChemSusChem 8(2015) 3012-3028. doi: 10.1002/cssc.201500742
-
[18]
P.Docampo, J.M.Ball, M.Darwich, G.E.Eperon, H.J.Snaith, Nat.Commun.4(2013) 2761.
-
[19]
A.Kojima, K.Teshima, Y.Shirai, T.Miyasaka, J.Am.Chem.Soc.131(2009) 6050-6051. doi: 10.1021/ja809598r
-
[20]
M.M.Lee, J.Teuscher, T.Miyasaka, T.N.Murakami, H.J.Snaith, Science 338(2012) 643-647. doi: 10.1126/science.1228604
-
[21]
A.Sharenko, M.F.Toney, J.Am.Chem.Soc.138(2016) 463-470. doi: 10.1021/jacs.5b10723
-
[22]
J.Seo, J.H.Noh, S.I.Seok, Acc.Chem.Res.49(2016) 562-572. doi: 10.1021/acs.accounts.5b00444
-
[23]
F.Ullah, H.Chen, C.Z.Li, Chin.Chem.Lett.28(2017) 503-511. doi: 10.1016/j.cclet.2016.11.009
-
[24]
Y.Yu, P.Gao, Chin.Chem.Lett.28(2017) 1144-1152. doi: 10.1016/j.cclet.2017.04.020
-
[25]
Z.Yu, L.Sun, Adv.Energy Mater.5(2015) 1500213. doi: 10.1002/aenm.201500213
-
[26]
Y.Li, Y.Zhao, Q.Chen, et al., J.Am.Chem.Soc.137(2015) 15540-15547. doi: 10.1021/jacs.5b10614
-
[27]
Z.A.Li, Z.Zhu, C.C.Chueh, J.Luo, A.K.Y.Jen, Adv.Energy Mater.6(2016) 1601165. doi: 10.1002/aenm.201601165
-
[28]
Z.Hawash, L.K.Ono, S.R.Raga, M.V.Lee, Y.Qi, Chem.Mater.27(2015) 562-569. doi: 10.1021/cm504022q
-
[29]
X.Zhao, N.G.Park, Photonics 2(2015) 1139-1151. doi: 10.3390/photonics2041139
-
[30]
D.Bi, W.Tress, M.I.Dar, et al., Sci.Adv.2(2016) e1501170. doi: 10.1126/sciadv.1501170
-
[31]
M.Saliba, S.Orlandi, T.Matsui, et al., Nat.Energy 1(2016) 15017. doi: 10.1038/nenergy.2015.17
-
[32]
D.Bi, B.Xu, P.Gao, et al., Nano Energy 23(2016) 138-144. doi: 10.1016/j.nanoen.2016.03.020
-
[33]
B.Xu, D.Bi, Y.Hua, et al., Energy Environ.Sci.9(2016) 873-877. doi: 10.1039/C6EE00056H
-
[34]
Q.Yan, Y.Guo, A.Ichimura, H.Tsuji, E.Nakamura, J.Am.Chem.Soc.138(2016) 10897-10904. doi: 10.1021/jacs.6b04002
-
[35]
B.Xu, E.Sheibani, P.Liu, et al., Adv.Mater.26(2014) 6629-6634. doi: 10.1002/adma.v26.38
-
[36]
P.Gratia, A.Magomedov, T.Malinauskas, et al., Angew.Chem.Int.Ed.54(2015) 11409-11413. doi: 10.1002/anie.201504666
-
[37]
T.Malinauskas, M.Saliba, T.Matsui, et al., Energy Environ.Sci.9(2016) 1681-1686. doi: 10.1039/C5EE03911H
-
[38]
P.Qin, S.Paek, M.I.Dar, et al., J.Am.Chem.Soc.136(2014) 8516-8519. doi: 10.1021/ja503272q
-
[39]
K.Rakstys, A.Abate, M.I.Dar, et al., J.Am.Chem.Soc.137(2015) 16172-16178. doi: 10.1021/jacs.5b11076
-
[40]
H.Nishimura, N.Ishida, A.Shimazaki, et al., J.Am.Chem.Soc.137(2015) 15656-15659. doi: 10.1021/jacs.5b11008
-
[41]
A.Molina-Ontoria, I.Zimmermann, I.Garcia-Benito, et al., Angew.Chem.Int.Ed.55(2016) 6270-6274. doi: 10.1002/anie.201511877
-
[42]
I.García-Benito, I.Zimmermann, J.Urieta-Mora, et al., J.Mater.Chem.A 5(2017) 8317-8324. doi: 10.1039/C7TA00997F
-
[43]
I.Zimmermann, J.Urieta-Mora, P.Gratia, et al., Adv.Energy Mater.(2016) 1601674.
-
[44]
W.Li, H.Dong, L.Wang, et al., J.Mater.Chem.A 2(2014) 13587-13592. doi: 10.1039/C4TA01550A
-
[45]
S.N.Habisreutinger, T.Leijtens, G.E.Eperon, et al., Nano Lett.14(2014) 5561-5568. doi: 10.1021/nl501982b
-
[46]
M.Franckevicius, A.Mishra, F.Kreuzer, et al., Mater.Horiz.2(2015) 6139-618.
-
[47]
P.Ganesan, K.Fu, P.Gao, et al., Energy Environ.Sci.8(2015) 1986-1991. doi: 10.1039/C4EE03773A
-
[48]
Y.K.Wang, Z.C.Yuan, G.Z.Shi, et al., Adv.Funct.Mater.26(2016) 1375-1381. doi: 10.1002/adfm.201504245
-
[49]
Y. Wang, Z. Zhu, C. C. Chueh, A. K. Y. Jen, Y. Chi, Adv. Energy Mater. (2017)http://dx.doi.org/10.1002/aenm.201700823.
-
[50]
J.Zhang, B.Xu, L.Yang, et al., Adv.Energy Mater.7(2017) 1602736. doi: 10.1002/aenm.201602736
-
[51]
F.Zhang, X.Yang, M.Cheng, W.Wang, L.Sun, Nano Energy 20(2016) 108-116. doi: 10.1016/j.nanoen.2015.11.034
-
[52]
M.Li, Y.Li, S.I.Sasaki, et al., ChemSusChem 9(2016) 2862-2869. doi: 10.1002/cssc.201601069
-
[53]
Y.Hua, B.Xu, P.Liu, et al., Chem.Sci.7(2016) 2633-2638. doi: 10.1039/C5SC03569D
-
[54]
J.Liu, Y.Wu, C.Qin, et al., Energy Environ.Sci.7(2014) 2963-2967. doi: 10.1039/C4EE01589D
-
[55]
J.S.Ni, H.C.Hsieh, C.A.Chen, et al., ChemSusChem 9(2016) 3139-3144. doi: 10.1002/cssc.201600923
-
[56]
S.Kazim, F.J.Ramos, P.Gao, et al., Energy Environ.Sci.8(2015) 1816-1823. doi: 10.1039/C5EE00599J
-
[57]
S.J.Park, S.H.Jeon, I.K.Lee, et al., J.Mater.Chem.A 5(2017) 13220-13227. doi: 10.1039/C7TA02440A
-
[58]
S.Jeon, U.K.Thakur, D.Lee, et al., Org.Electron.37(2016) 134-140. doi: 10.1016/j.orgel.2016.06.019
-
[59]
H.Yao, L.Ye, H.Zhang, et al., Chem.Rev.116(2016) 7397-7457. doi: 10.1021/acs.chemrev.6b00176
-
[60]
C.Chen, M.Cheng, P.Liu, et al., Nano Energy 23(2016) 40-49. doi: 10.1016/j.nanoen.2016.03.007
-
[61]
M.Cheng, K.Aitola, C.Chen, et al., Nano Energy 30(2016) 387-397. doi: 10.1016/j.nanoen.2016.10.041
-
[62]
J.H.Yun, S.Park, J.H.Heo, et al., Chem.Sci.7(2016) 6649-6661. doi: 10.1039/C6SC02448C
-
[63]
Y.Liu, Z.Hong, Q.Chen, et al., Adv.Mater.28(2016) 440-446. doi: 10.1002/adma.v28.3
-
[64]
Y.Liu, Q.Chen, H.S.Duan, et al., J.Mater.Chem.A 3(2015) 11940-11947. doi: 10.1039/C5TA02502H
-
[65]
C.Steck, M.Franckevicius, S.M.Zakeeruddin, et al., J.Mater.Chem.A 3(2015) 17738-17746. doi: 10.1039/C5TA03865K
-
[66]
D.Bi, A.Mishra, P.Gao, et al., ChemSusChem 9(2016) 433-438. doi: 10.1002/cssc.201501510
-
[67]
Z.Li, Z.Zhu, C.C.Chueh, et al., J.Am.Chem.Soc.138(2016) 11833-11839. doi: 10.1021/jacs.6b06291
-
[68]
F.Zhang, C.Yi, P.Wei, et al., Adv.Energy Mater.6(2016) 1600401. doi: 10.1002/aenm.201600401
-
[69]
X.Zhao, F.Zhang, C.Yi, et al., J.Mater.Chem.A 4(2016) 16330-16334. doi: 10.1039/C6TA05254A
-
[70]
F.Zhang, X.Zhao, C.Yi, et al., Dyes Pigm.136(2017) 273-277. doi: 10.1016/j.dyepig.2016.08.002
-
[71]
C.Huang, W.Fu, C.Z.Li, et al., J.Am.Chem.Soc.138(2016) 2528-2531. doi: 10.1021/jacs.6b00039
-
[72]
H. Chen, W. Fu, C. Huang, et al., Adv. Energy Mater. (2017) http://dx.doi.org/10.1002/aenm.201700012.
-
[73]
Y.Xue, Y.Wu, Y.Li, J.Power Sources 344(2017) 160-169. doi: 10.1016/j.jpowsour.2017.01.121
-
[74]
L.Calió, C.Momblona, L.Gil-Escrig, et al., Sol.Energy Mater.Sol.Cells 163(2017) 237-241. doi: 10.1016/j.solmat.2017.01.037
-
[75]
K.Rakstys, S.Paek, P.Gao, et al., J.Mater.Chem.A 5(2017) 7811-7815. doi: 10.1039/C7TA01718A
-
[76]
S. Paek, P. Qin, Y. Lee, et al., Adv. Mater. (2017)http://dx.doi.org/10.1002/adma.201606555.
-
[77]
Y.S.Woon, N.H.Jun, J.J.Nam, et al., Science 348(2015) 1234-1237. doi: 10.1126/science.aaa9272
-
[78]
Z.Zhu, Y.Bai, H.K.H.Lee, et al., Adv.Funct.Mater.24(2014) 7357-7365. doi: 10.1002/adfm.v24.46
-
[79]
P.Qin, N.Tetreault, M.I.Dar, et al., Adv.Energy Mater.5(2015) 1400980. doi: 10.1002/aenm.201400980
-
[80]
H.Lu, Y.Ma, B.Gu, W.Tian, L.Li, J.Mater.Chem.A 3(2015) 16445-16452. doi: 10.1039/C5TA03686K
-
[81]
J.H.Heo, H.J.Han, D.Kim, T.K.Ahn, S.H.Im, Energy Environ.Sci.8(2015) 1602-1608. doi: 10.1039/C5EE00120J
-
[82]
S.Ryu, J.H.Noh, N.J.Jeon, et al., Energy Environ.Sci.7(2014) 2614-2618. doi: 10.1039/C4EE00762J
-
[83]
Y.Xiao, G.Han, Y.Chang, et al., J.Power Sources 267(2014) 1-8. doi: 10.1016/j.jpowsour.2014.05.053
-
[84]
W.Yan, Y.Li, Y.Li, et al., Nano Energy 16(2015) 428-437. doi: 10.1016/j.nanoen.2015.07.024
-
[85]
Y. Xu, T. Bu, M. Li, et al., ChemSusChem(2017) http://dx.doi.org/10.1002/cssc.201700584.
-
[86]
H.W.Chen, T.Y.Huang, T.H.Chang, et al., Sci.Rep.6(2016) 34319. doi: 10.1038/srep34319
-
[87]
L.Ye, S.Zhang, L.Huo, M.Zhang, J.Hou, Acc.Chem.Res.47(2014) 1595-1603. doi: 10.1021/ar5000743
-
[88]
J.H.Heo, S.H.Im, J.H.Noh, et al., Nat.Photonics 7(2013) 486-491. doi: 10.1038/nphoton.2013.80
-
[89]
W.Chen, X.Bao, Q.Zhu, et al., J.Mater.Chem.C 3(2015) 10070-10073. doi: 10.1039/C5TC01856K
-
[90]
J.W.Lee, S.Park, M.J.Ko, H.J.Son, N.G.Park, ChemPhysChem 15(2014) 2595-2603. doi: 10.1002/cphc.201402033
-
[91]
P.Nagarjuna, K.Narayanaswamy, T.Swetha, et al., Electrochim.Acta 151(2015) 21-26. doi: 10.1016/j.electacta.2014.11.003
-
[92]
H.C.Liao, T.L.D.Tam, P.Guo, et al., Adv.Energy Mater.6(2016) 1600502. doi: 10.1002/aenm.201600502
-
[93]
J.Kim, G.Kim, T.K.Kim, et al., J.Mater.Chem.A 2(2014) 17291-17296. doi: 10.1039/C4TA03954H
-
[94]
G.W.Kim, G.Kang, J.Kim, et al., Energy Environ.Sci.9(2016) 2326-2333. doi: 10.1039/C6EE00709K
-
[95]
K.Kranthiraja, K.Gunasekar, H.Kim, et al., Adv.Mater.29(2017) 1700183. doi: 10.1002/adma.201700183
-
[96]
B.Cai, Y.Xing, Z.Yang, W.H.Zhang, J.Qiu, Energy Environ.Sci.6(2013) 1480-1485. doi: 10.1039/c3ee40343b
-
[97]
A.Dubey, N.Adhikari, S.Venkatesan, et al., Sol.Energy Mater.Sol.Cells 145(2016) 193-199. doi: 10.1016/j.solmat.2015.10.008
-
[1]
-
-
-
[1]
Xinyu Yu , Fei Wu , Xianglang Sun , Linna Zhu , Baoyu Xia , Zhong'an Li . Low-cost dopant-free fluoranthene-based branched hole transporting materials for efficient and stable n-i-p perovskite solar cells. Chinese Chemical Letters, 2024, 35(10): 109821-. doi: 10.1016/j.cclet.2024.109821
-
[2]
Yajie Yang , Mengde Zhai , Haoxin Wang , Cheng Chen , Ziyang Xia , Chengyang Liu , Yi Tian , Ming Cheng . Molecular engineering of dibenzo-heterocyclic core based hole-transporting materials for perovskite solar cells. Chinese Chemical Letters, 2025, 36(5): 110700-. doi: 10.1016/j.cclet.2024.110700
-
[3]
Kangrong Yan , Ziqiu Shen , Yanchun Huang , Benfang Niu , Hongzheng Chen , Chang-Zhi Li . Curing the vulnerable heterointerface via organic-inorganic hybrid hole transporting bilayers for efficient inverted perovskite solar cells. Chinese Chemical Letters, 2024, 35(6): 109516-. doi: 10.1016/j.cclet.2024.109516
-
[4]
Chen Lu , Zefeng Yu , Jing Cao . Advancement in porphyrin/phthalocyanine compounds-based perovskite solar cells. Chinese Journal of Structural Chemistry, 2024, 43(3): 100240-100240. doi: 10.1016/j.cjsc.2024.100240
-
[5]
Boyuan Hu , Jian Zhang , Yulin Yang , Yayu Dong , Jiaqi Wang , Wei Wang , Kaifeng Lin , Debin Xia . Dual-functional POM@IL complex modulate hole transport layer properties and interfacial charge dynamics for highly efficient and stable perovskite solar cells. Chinese Chemical Letters, 2024, 35(7): 108933-. doi: 10.1016/j.cclet.2023.108933
-
[6]
Bo Yang , Pu-An Lin , Tingwei Zhou , Xiaojia Zheng , Bing Cai , Wen-Hua Zhang . Facile surface regulation for highly efficient and thermally stable perovskite solar cells via chlormequat chloride. Chinese Chemical Letters, 2024, 35(10): 109425-. doi: 10.1016/j.cclet.2023.109425
-
[7]
Rongjun Zhao , Tai Wu , Yong Hua , Yude Wang . Improving performance of perovskite solar cells enabled by defects passivation and carrier transport dynamics regulation via organic additive. Chinese Chemical Letters, 2025, 36(2): 109587-. doi: 10.1016/j.cclet.2024.109587
-
[8]
Chenghao Ge , Peng Wang , Pei Yuan , Tai Wu , Rongjun Zhao , Rong Huang , Lin Xie , Yong Hua . Tuning hot carrier transfer dynamics by perovskite surface modification. Chinese Chemical Letters, 2024, 35(10): 109352-. doi: 10.1016/j.cclet.2023.109352
-
[9]
Jindan Zhang , Zhenghong Li , Chi Li , Mengqi Zhu , Shicheng Tang , Kaicong Cai , Zhibin Cheng , Chulong Liu , Shengchang Xiang , Zhangjing Zhang . Revealing a new doping mechanism of spiro-OMeTAD with tBP participation through the introduction of radicals into HTM. Chinese Chemical Letters, 2025, 36(3): 110046-. doi: 10.1016/j.cclet.2024.110046
-
[10]
Yaohua Li , Qi Cao , Xuanhua Li . Tailoring the configuration of polymer passivators in perovskite solar cells. Chinese Journal of Structural Chemistry, 2025, 44(2): 100413-100413. doi: 10.1016/j.cjsc.2024.100413
-
[11]
Chi Li , Peng Gao . Is dipole the only thing that matters for inverted perovskite solar cells?. Chinese Journal of Structural Chemistry, 2024, 43(6): 100324-100324. doi: 10.1016/j.cjsc.2024.100324
-
[12]
Ying Liang , Yuheng Deng , Shilv Yu , Jiahao Cheng , Jiawei Song , Jun Yao , Yichen Yang , Wanlei Zhang , Wenjing Zhou , Xin Zhang , Wenjian Shen , Guijie Liang , Bin Li , Yong Peng , Run Hu , Wangnan Li . Machine learning-guided antireflection coatings architectures and interface modification for synergistically optimizing efficient and stable perovskite solar cells. Acta Physico-Chimica Sinica, 2025, 41(9): 100098-0. doi: 10.1016/j.actphy.2025.100098
-
[13]
Yameen Ahmed , Xiangxiang Feng , Yuanji Gao , Yang Ding , Caoyu Long , Mustafa Haider , Hengyue Li , Zhuan Li , Shicheng Huang , Makhsud I. Saidaminov , Junliang Yang . Interface Modification by Ionic Liquid for Efficient and Stable FAPbI3 Perovskite Solar Cells. Acta Physico-Chimica Sinica, 2024, 40(6): 2303057-0. doi: 10.3866/PKU.WHXB202303057
-
[14]
Pengyu Dong , Yue Jiang , Zhengchi Yang , Licheng Liu , Gu Li , Xinyang Wen , Zhen Wang , Xinbo Shi , Guofu Zhou , Jun-Ming Liu , Jinwei Gao . NbSe2 Nanosheets Improved the Buried Interface for Perovskite Solar Cells. Acta Physico-Chimica Sinica, 2025, 41(3): 100029-0. doi: 10.3866/PKU.WHXB202407025
-
[15]
Jinge Zhu , Ailing Tang , Leyi Tang , Peiqing Cong , Chao Li , Qing Guo , Zongtao Wang , Xiaoru Xu , Jiang Wu , Erjun Zhou . Chlorination of benzyl group on the terminal unit of A2-A1-D-A1-A2 type nonfullerene acceptor for high-voltage organic solar cells. Chinese Chemical Letters, 2025, 36(1): 110233-. doi: 10.1016/j.cclet.2024.110233
-
[16]
Chengcheng Xie , Chengyi Xiao , Hongshuo Niu , Guitao Feng , Weiwei Li . Mesoporous organic solar cells. Chinese Chemical Letters, 2024, 35(11): 109849-. doi: 10.1016/j.cclet.2024.109849
-
[17]
Rui Liu , Yue Yu , Lu Deng , Maoxia Xu , Haorong Ren , Wenjie Luo , Xudong Cai , Zhenyu Li , Jingyu Chen , Hua Yu . The synergistic effect of A-site cation engineering and phase regulation enables efficient and stable Ruddlesden-Popper perovskite solar cells. Chinese Chemical Letters, 2024, 35(12): 109545-. doi: 10.1016/j.cclet.2024.109545
-
[18]
Mohamed Saber Lassoued , Faizan Ahmad , Yanzhen Zheng . Film thickness effect on 2D lead-free hybrid double perovskite properties: Band gap, photocurrent and stability. Chinese Chemical Letters, 2025, 36(4): 110477-. doi: 10.1016/j.cclet.2024.110477
-
[19]
Kun Zhang , Ni Dan , Dan-Dan Ren , Ruo-Yu Zhang , Xiaoyan Lu , Ya-Pan Wu , Li-Lei Zhang , Hong-Ru Fu , Dong-Sheng Li . A small D-A molecule with highly heat-resisting room temperature phosphorescence for white emission and anti-counterfeiting. Chinese Journal of Structural Chemistry, 2024, 43(3): 100244-100244. doi: 10.1016/j.cjsc.2024.100244
-
[20]
Yiming Fang , Huimin Gao , Kaiting Cheng , Liang Bai , Zhengtong Li , Yadong Zhao , Xingtao Xu . An overview of photothermal materials for solar-driven interfacial evaporation. Chinese Chemical Letters, 2025, 36(3): 109925-. doi: 10.1016/j.cclet.2024.109925
-
[1]
Metrics
- PDF Downloads(0)
- Abstract views(1256)
- HTML views(22)
Login In
DownLoad: