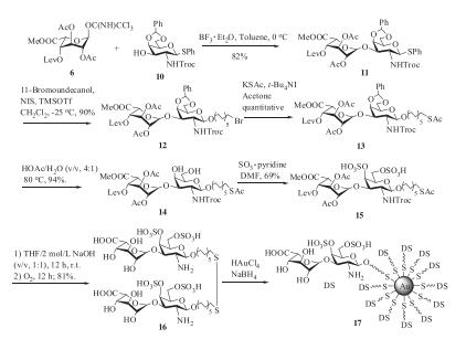
Synthesis and anti-inflammatory activity of gold-nanoparticle bearing a dermatan sulfate disaccharide analog
- Corresponding author: Du Yuguo, duyuguo@rcees.ac.cn
Citation:
Shang Chengxiang, Cai Chao, Zhao Cuixia, Du Yuguo. Synthesis and anti-inflammatory activity of gold-nanoparticle bearing a dermatan sulfate disaccharide analog[J]. Chinese Chemical Letters,
;2018, 29(1): 81-83.
doi:
10.1016/j.cclet.2017.06.010
R. Elghanian, J.J. Storhoff, R.C. Mucic, R.L. Letsinger, C.A. Mirkin, Science 277(1997) 1078-1081.
doi: 10.1126/science.277.5329.1078
A.C. Temleton, W.P. Wuelfing, A.W. Murray, Acc. Chem. Res. 33(2000) 27-36.
doi: 10.1021/ar9602664
S.D. Brown, P. Nativo, J.A. Smith, et al., J. Am. Chem. Soc.132(2010) 4678-4684.
doi: 10.1021/ja908117a
I. Tokareva, E. Hutter, J. Am. Chem. Soc. 126(2004) 15784-15789.
doi: 10.1021/ja046779k
J. Rojo, V.D. Ìaz, J.M. Fuente, et al., ChemBioChem 5(2004) 291-297.
doi: 10.1002/cbic.v5:3
L. Zhang, G.H. Wei, Y. Du, Carbohydr. Res. 344(2009) 2083-2087.
doi: 10.1016/j.carres.2009.06.039
J.M. Trowbridge, R.L. Gallo, Glycobiology 12(2002) 117R-125R.
doi: 10.1093/glycob/cwf066
R.J. Linhardt, R.E. Hileman, Gen. Pharmac. 26(1995) 443-451.
doi: 10.1016/0306-3623(94)00231-B
S. Boddohi, N. Moore, P.A. Johnson, M.J. Kipper, Biomacromolecules 10(2009) 1402-1409.
doi: 10.1021/bm801513e
M.M. Kemp, A. Kumar, D. Clement, et al., Nanomedicine 4(2009) 421-429.
doi: 10.2217/nnm.09.24
M.M. Kemp, A. Kumar, S. Mousa, et al., Biomacromolecules 10(2009) 589-595.
doi: 10.1021/bm801266t
M. Guerrini, D. Beccati, Z. Shriver, et al., Nat. Biotechnol. 26(2008) 669-675.
doi: 10.1038/nbt1407
K. Rajangam, H.A. Behanna, M.J. Hui, et al., Nano Lett. 6(2006) 2086-2090.
doi: 10.1021/nl0613555
R. Bhattacharya, P. Mukherjee, Z. Xiong, et al., Nano Lett. 4(2004) 2479-2481.
doi: 10.1021/nl0483789
G.J.S. Lohman, D.K. Hunt, J.A. Hogermeier, P.H. Seeberger, J. Org. Chem. 68(2003) 7559-7561.
doi: 10.1021/jo0340760
M. Adinolfi, G. Barone, L. Guariniello, A. Iadonisi, Tetrahedron Lett. 40(1999) 8439-8441.
doi: 10.1016/S0040-4039(99)01756-6
C. Cai, G.H. Wei, Y. Du, Acta Cryst. E 66(2010) o949.
doi: 10.1107/S1600536810010895
R. Autar, A.S. Khan, M. Schad, et al., ChemBioChem 4(2003) 1317-1325.
doi: 10.1002/cbic.200300719
J.L. Paz, R. Ojeda, A.G. Barrientos, S. Penade, M. Martin-Lomas, Tetrahedron:Asymmetry 16(2005) 149-158.
doi: 10.1016/j.tetasy.2004.11.066
C.A. Winter, E.A. Risley, G.W. Nuss, Exp. Biol. Med. 11(1962) 544-547.
C. Cai, Investigation of synthetic methodologies of some bioactive oligosaccharides and their analogs, PhD thesis, Graduate School of Chinese Academy of Sciences, 2010.
Yan Luo , Yan-Jiao Lu , Mei-Mei Pan , Yu-Feng Liang , Wei-Min Shi , Chun-Hua Chen , Cui Liang , Gui-Fa Su , Dong-Liang Mo . Rapidly diastereoselective assembly of ten-membered N-heterocycles between two 1,3-dipoles and their diversity to access fused N-heterocycles. Chinese Chemical Letters, 2025, 36(5): 110207-. doi: 10.1016/j.cclet.2024.110207
Zhi-Peng Zhou , Xin Wei , Ming Yan , Zhi-Guo Wang , Rui Hong , Jia-Zhuang Xu . Multifunctional selenium nanoparticles/gelatin-based nanocomposite hydrogel adhesive for accelerated full-thickness wound healing. Chinese Chemical Letters, 2025, 36(9): 111400-. doi: 10.1016/j.cclet.2025.111400
Mengyu Chen , Qinglin Zhou , Tianyun Qin , Ningyao Sun , Yuxi Chen , Yuwei Gong , Xingyi Li , Jinsong Liu . An ionic liquid-reinforced gelatin hydrogel with strong adhesion, antibacterial and anti-inflammatory properties for treating oral ulcers. Chinese Chemical Letters, 2025, 36(7): 110441-. doi: 10.1016/j.cclet.2024.110441
Chenshi Lin , Chao Teng , Bingbing Li , Wei He . Anti-inflammatory drug-assisted microRNA gene therapy for effectively improving pulmonary hemodynamics. Chinese Chemical Letters, 2025, 36(7): 110450-. doi: 10.1016/j.cclet.2024.110450
Juan He , Jiao-Xian Du , Meng Wang , Xiao-Dong Luo , Tao Feng . Irpexlactones A and B, a pair of ring-rearranged tremulane sesquiterpenoids from the basidiomycete Irpex lacteus and their anti-inflammatory activity. Chinese Chemical Letters, 2025, 36(10): 110769-. doi: 10.1016/j.cclet.2024.110769
Chenchen Xie , Jun Liao , Yi Li , Yunan Zhang , Zhicheng Xiao , Yun Wang , Ting Chen , Liyan Xiong , Tao Pang , Xiangao Jiang , Feng Zhang , Chuan Zhang , Tingfang Wang . Synergistic anti-inflammatory effect of cascade nanozymes for neural recovery in ischemic stroke. Chinese Chemical Letters, 2026, 37(1): 110956-. doi: 10.1016/j.cclet.2025.110956
Xiaoyao Ma , Jinling Zhang , Ge Fang , He Gao , Jie Gao , Li Fu , Yuanyuan Hou , Gang Bai . Förster resonance energy transfer reveals phillygenin and swertiamarin concurrently target AKT on different binding domains to increase the anti-inflammatory effect. Chinese Chemical Letters, 2024, 35(5): 108823-. doi: 10.1016/j.cclet.2023.108823
Wenjia Wang , Xingyue He , Xiaojie Wang , Tiantian Zhao , Osamu Muraoka , Genzoh Tanabe , Weijia Xie , Tianjiao Zhou , Lei Xing , Qingri Jin , Hulin Jiang . Glutathione-depleted cyclodextrin pseudo-polyrotaxane nanoparticles for anti-inflammatory oxaliplatin (Ⅳ) prodrug delivery and enhanced colorectal cancer therapy. Chinese Chemical Letters, 2024, 35(4): 108656-. doi: 10.1016/j.cclet.2023.108656
Xiongbo Song , Jinwen Xiao , Juan Wu , Li Sun , Long Chen . Decellularized amniotic membrane promotes the anti-inflammatory response of macrophages via PI3K/AKT/HIF-1α pathway. Chinese Chemical Letters, 2025, 36(1): 109844-. doi: 10.1016/j.cclet.2024.109844
Kuanhong Cao , Sainan Chu , Yuanhua Ding , Shanming Lu , Lei Yu , Juan Du . Sustainable Se/C catalysts from carbohydrates: Unlocking oxidative deoximation reaction with high turnover numbers via free radical mechanisms. Chinese Chemical Letters, 2026, 37(1): 111486-. doi: 10.1016/j.cclet.2025.111486
Hao Zhang , Haonan Qu , Ehsan Bahojb Noruzi , Haibing Li , Feng Liang . A nanocomposite film with layer-by-layer self-assembled gold nanospheres driven by cucurbit[7]uril for the selective transport of L-tryptophan and lysozyme. Chinese Chemical Letters, 2025, 36(1): 109731-. doi: 10.1016/j.cclet.2024.109731
Yunxia Liu , Guandong Wu , Lin Li , Yiming Niu , Bingsen Zhang , Botao Qiao , Junhu Wang . Construction of sintering-resistant gold catalysts via ascorbic-acid inducing strong metal-support interactions. Chinese Chemical Letters, 2025, 36(4): 110608-. doi: 10.1016/j.cclet.2024.110608
Chunlei Dai , Liying Wang , Xinru You , Yi Zhao , Zhong Cao , Jun Wu . Coffee-derived self-anti-inflammatory polymer as drug nanocarrier for enhanced rheumatoid arthritis treatment. Chinese Chemical Letters, 2025, 36(3): 109869-. doi: 10.1016/j.cclet.2024.109869
Weijian Zhang , Xianyu Deng , Liying Wang , Jian Wang , Xiuting Guo , Lianggui Huang , Xinyi Wang , Jun Wu , Linjia Jiang . Poly(ferulic acid) nanocarrier enhances chemotherapy sensitivity of acute myeloid leukemia by selectively targeting inflammatory macrophages. Chinese Chemical Letters, 2024, 35(9): 109422-. doi: 10.1016/j.cclet.2023.109422
Qing Zhang , Ling Sun , Lingyu Wu , Xue Wang , Liru Chen , Youyou Chen , Yuhang Liu , Wenhui Gu , Donglei Shi , Wenwen Liu , Jian Li , Yi-You Huang , Baoli Li , Hai-Bin Luo . Platycladus orientalis (L.) Franco demonstrates effective anti-psoriasis effects by inhibiting PDE4 with favorable safety profiles. Chinese Chemical Letters, 2025, 36(10): 110795-. doi: 10.1016/j.cclet.2024.110795
Yiyang Zhang , Guangshu Yuan , Xiangkun Meng , Xu Zhang , Lei Yu . Promoting the catalytic activities of polyanilines for L-lactic acid condensation by calcium-doping: A biocompatible strategy. Chinese Chemical Letters, 2025, 36(12): 111069-. doi: 10.1016/j.cclet.2025.111069
Shaonan Tian , Yu Zhang , Qing Zeng , Junyu Zhong , Hui Liu , Lin Xu , Jun Yang . Core-shell gold-copper nanoparticles: Evolution of copper shells on gold cores at different gold/copper precursor ratios. Chinese Journal of Structural Chemistry, 2023, 42(11): 100160-100160. doi: 10.1016/j.cjsc.2023.100160
Rong-Nan Yi , Zi-Jian Zhao , Wei-Min He . Photoinduced gold-catalyzed cross-couplings. Chinese Chemical Letters, 2025, 36(7): 111070-. doi: 10.1016/j.cclet.2025.111070
Kai Zhou , Ao Sun , Yuchao Wang , Hang Dong , Chenkai Bai , Yidian Mo , Xuyang Ding , Xiangbao Meng , Zhongtang Li , Zhongjun Li . Semisynthesis of rare chondroitin sulfate B and T oligosaccharides. Chinese Chemical Letters, 2025, 36(9): 110783-. doi: 10.1016/j.cclet.2024.110783
Zhenghua ZHAO , Qin ZHANG , Yufeng LIU , Zifa SHI , Jinzhong GU . Syntheses, crystal structures, catalytic and anti-wear properties of nickel(Ⅱ) and zinc(Ⅱ) coordination polymers based on 5-(2-carboxyphenyl)nicotinic acid. Chinese Journal of Inorganic Chemistry, 2024, 40(3): 621-628. doi: 10.11862/CJIC.20230342