Citation: Kalegowda Priya Chacko, Shivashankar Kalegowda. Nano structured spinel Co3O4-catalyzed four component reaction: A novel synthesis of Ugi adducts from aryl alcohols as a key reagent[J]. Chinese Chemical Letters, ;2017, 28(7): 1619-1624. doi: 10.1016/j.cclet.2017.04.015 shu

Nano structured spinel Co3O4-catalyzed four component reaction: A novel synthesis of Ugi adducts from aryl alcohols as a key reagent

  • Corresponding author: Shivashankar Kalegowda, shivashankark@gmail.com
  • Received Date: 22 December 2016
    Revised Date: 6 April 2017
    Accepted Date: 13 April 2017
    Available Online: 21 July 2017

Figures(2)

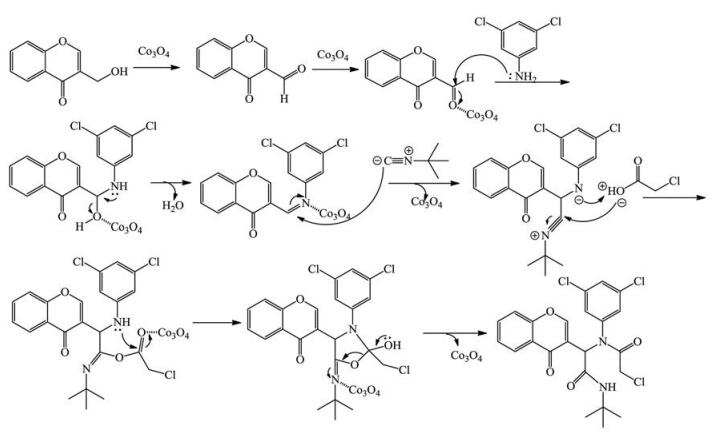
  • A simple one pot procedure for the synthesis of α-amino acyl amide with chromone, indole, and napthalene substitution pattern is presented. This protocol involves the nano structured spinel Co3O4 catalysed coupling of aryl alcohols, anilines, carboxylic acids and tert-butyl isocyanide. The salient features of this protocol were simple procedure, mild reaction condition and high yield.
  • 加载中
    1. [1]

      M. Haji, Beilstein J. Org. Chem. 12(2016) 1269-1301.

    2. [2]

      Domiling A., Wei W., Kan W.. Chemistry and biology of multicomponent reactions[J]. Chem. Rev., 2012,112:3083-3135. doi: 10.1021/cr100233r

    3. [3]

      Zhou Y., Antignac A., Wu S.W., Tomasz A.. Penicillin-binding proteins and cell wall composition in β-lactam-sensitive and resistant strains of Staphylococcus sciuri[J]. J. Bacteriol., 2008,190:508-514. doi: 10.1128/JB.01549-07

    4. [4]

      García-Rodríguez J.A., Muñoz Bellido J.L., García Sánchez J.E.. Oral cephalosporins: current perspectives[J]. Int. J. Antimicrob. Agents, 1995,5:231-243. doi: 10.1016/0924-8579(95)00015-Z

    5. [5]

      Magyar A., Zhang X., Abdi F., Kohn H., Widger W.R.. Identifying the bicyclomycin binding domain through biochemical analysis of antibioticresistant rho proteins[J]. J. Biol. Chem., 1999,274:7316-7324. doi: 10.1074/jbc.274.11.7316

    6. [6]

      Huang Y., Wolf S., Beck B.. Discovery of highly potent p53-MDM2 antagonists and structural basis for anti-acute myeloid leukemia activities[J]. ACS Chem. Biol., 2014,9:802-811. doi: 10.1021/cb400728e

    7. [7]

      Secchiero P., Bosco R., Celeghini C., Zauli G.. Recent advances in the therapeutic perspectives of Nutlin-3[J]. Curr. Pharm. Des., 2011,17:569-577. doi: 10.2174/138161211795222586

    8. [8]

      Koblish H.K., Zhao S., Franks C.F.. Benzodiazepinedione inhibitors of the Hdm2:p53 complex suppress human tumor cell proliferation in vitro and sensitize tumors to doxorubicin in vivo[J]. Mol. Cancer Ther., 2006,5:160-169. doi: 10.1158/1535-7163.MCT-05-0199

    9. [9]

      Jong D., Rudolph H.. Last round for a heavyweight?[J]. Anesth. Analg., 1994,78:3-4.  

    10. [10]

      Ohnstad H.O., Paulsen E.B., Noordhuis P.. MDM2 antagonist Nutlin-3a potentiates antitumour activity of cytotoxic drugs in sarcoma cell lines[J]. BMC Cancer, 2011,11:211-239. doi: 10.1186/1471-2407-11-211

    11. [11]

      Shen H., Maki C.G.. Persistent p21 expression after Nutlin-3a removal is associated with senescence-like arrest in 4N cells[J]. J. Biol. Chem., 2010,285:23105-23114. doi: 10.1074/jbc.M110.124990

    12. [12]

      Lambrechts M., O'Brien M.J., Savoie F.H., You Z.. Liposomal extended-release bupivacaine for postsurgical analgesia[J]. Patient Prefer. Adher., 2013,7:885-890.  

    13. [13]

      Serradell A., Herrero R., Villanueva J.A.. Comparison of three different volumes of mepivacaine in axillary plexus block using multiple nerve stimulation[J]. Br. J. Anaesth., 2003,91:519-524. doi: 10.1093/bja/aeg215

    14. [14]

      Shepherd J., Ibba M.. Direction of aminoacylated transfer RNAs into antibiotic synthesis and peptidoglycan-mediated antibiotic resistance[J]. FEBS Lett., 2013,587:2895-2904. doi: 10.1016/j.febslet.2013.07.036

    15. [15]

      Genin M.J., Allwine D.A., Anderson D.J.. Substituent effects on the antibacterial activity of nitrogen-carbon-linked (azolylphenyl)oxazolidinones with expanded activity against the fastidious gram-negative organisms haemophilus influenzae and moraxella catarrhalis[J]. J. Med. Chem., 2000,43:953-970. doi: 10.1021/jm990373e

    16. [16]

      Endo A., Yanagisawa A., Abe M.. Total synthesis of ecteinascidin 743[J]. J. Am. Chem. Soc., 2002,124:6552-6554. doi: 10.1021/ja026216d

    17. [17]

      Dömling A., Ugi I.. Multicomponent reactions with isocyanides[J]. Angew. Chem. Int. Ed., 2000,39:3168-3210. doi: 10.1002/(ISSN)1521-3773

    18. [18]

      ElKaim L., Grimaud L., Oble J.. Phenol Ugi-smiles systems: strategies for the multicomponent N-arylation of primary amines with isocyanides, aldehydes, and phenols[J]. Angew. Chem. Int. Ed., 2005,44:7961-7964. doi: 10.1002/(ISSN)1521-3773

    19. [19]

      Tanaka Y., Hasui T., Suginome M.. Acid-free, aminoborane-mediated Ugi-type reaction leading to general utilization of secondary amines[J]. Org. Lett., 2007,9:4407-4410. doi: 10.1021/ol701570c

    20. [20]

      Portlock D., Ostaszewski R., Naskar D., West L.. A tandem petasis—Ugi multi component condensation reaction: solution phase synthesis of six dimensional libraries[J]. Tetrahedron Lett., 2003,44:603-605. doi: 10.1016/S0040-4039(02)02619-9

    21. [21]

      Bhattacharya D., Mitra S., Chattopadhyay P.. A rapid one-pot Ugi reaction based route to novel imidazole-fused benzodiazepinones[J]. Synthesis, 2015,47:2294-2298. doi: 10.1055/s-00000084

    22. [22]

      Chen Y., Feng G.. Visible light mediated sp3 C-H bond functionalization of Naryl-1, 2, 3, 4-tetrahydroisoquinolines via Ugi-type three-component reaction[J]. Org. Biomol. Chem., 2015,13:4260-4265. doi: 10.1039/C5OB00201J

    23. [23]

      Tye H., Whittaker M.. Use of a design of experiments approach for the optimisation of a microwave assisted Ugi reaction[J]. Org. Biomol. Chem., 2004,2:813-815. doi: 10.1039/b400298a

    24. [24]

      Zuo X., Mi N., Fan Z.. Synthesis of 4-methyl-1, 2, 3-thiadiazole derivatives via Ugi reaction and their biological activities[J]. J. Agric. Food Chem., 2010,58:2755-2762. doi: 10.1021/jf902863z

    25. [25]

      Kanizsai I., Szakonyi Z., Sillanpaa R., Fulop F.. A comparative study of the multicomponent Ugi reactions of an oxabicycloheptene-based β-amino acid in water and in methanol[J]. Tetrahedron Lett., 2006,47:9113-9116. doi: 10.1016/j.tetlet.2006.10.069

    26. [26]

      Godet T., Bonvin Y., Vincent G.. Titanium catalysis in the Ugi reaction of α-amino acids with aromatic aldehydes[J]. Org. Lett., 2004,6:3281-3284. doi: 10.1021/ol048850x

    27. [27]

      Ma Z., Xiang Z., Luo T.. Synthesis of functionalized quinolines via Ugi and Pd-catalyzed intramolecular arylation reactions[J]. J. Comb. Chem., 2006,8:696-704. doi: 10.1021/cc060066b

    28. [28]

      Bonnaterre F., Choussy M.B., Zhu J.. Rapid access to oxindoles by the combined use of an Ugi four-component reaction and a microwave-assisted intramolecular buchwald-hartwig amidation reaction[J]. Org. Lett., 2006,8:4351-4354. doi: 10.1021/ol061755z

    29. [29]

      Zhao W., Huang L., Guan Y., Wulff W.D.. Three-component asymmetric catalytic Ugi reaction—concinnity from diversity by substrate-mediated catalyst assembly[J]. Angew. Chem. Int. Ed., 2014,53:3436-3441. doi: 10.1002/anie.201310491

    30. [30]

      Zhang Y., Ao Y.F., Huang Z.T.. Chiral phosphoric acid catalyzed asymmetric Ugi reaction by dynamic kinetic resolution of the primary multicomponent adduct[J]. Angew. Chem. Int. Ed., 2016,55:5282-5285. doi: 10.1002/anie.201600751

    31. [31]

      Pan S.C., List B.. Catalytic three-component Ugi reaction[J]. Angew. Chem. Int. Ed., 2008,47:3622-3625. doi: 10.1002/(ISSN)1521-3773

    32. [32]

      Zheng Y., Wang W., Jiang D.. Ultrathin mesoporous Co3O4 nanosheets with excellent photo-/thermo-catalytic activity[J]. J. Mater. Chem. A., 2016,4:105-112. doi: 10.1039/C5TA07617J

    33. [33]

      Ma Z.. Cobalt Oxide catalysts for environmental remediation[J]. Curr. Catal., 2014,3:15-26. doi: 10.2174/22115447113029990017

    34. [34]

      Imamura S., Fukuda K., Nishida T., Inui T.. Effect of Sm on the catalytic activity of Co3O4 in the oxidation of toluene[J]. J. Catal., 1985,93:186-191. doi: 10.1016/0021-9517(85)90162-9

    35. [35]

      Jagadeesh R.V., Stemmler T., Surkus A.E.. Cobalt-based nanocatalysts for green oxidation and hydrogenation processes[J]. Nat. Protoc., 2015,10:916-926. doi: 10.1038/nprot.2015.049

    36. [36]

      Mate V.R., Shirai M., Rode C.V.. Heterogeneous Co3O4 catalyst for selective oxidation of aqueous veratryl alcohol using molecular oxygen[J]. Catal. Commun., 2013,33:66-69. doi: 10.1016/j.catcom.2012.12.015

    37. [37]

      Iacobucci S., Reale J.F., Gal F.. Insight into the mechanisms of the multicomponent Ugi and Ugi-Smiles reactions by ESI-MS(/MS)[J]. Eur. J. Org. Chem., 2014,32:7087-7090.  

  • 加载中
    1. [1]

      Liu-Liang MaoYunyun LiuJie-Ping Wan . An update on the advances in chromone and the derivatives synthesis based on the key chromone annulation of o-hydroxyaryl enaminones. Chinese Chemical Letters, 2025, 36(7): 110784-. doi: 10.1016/j.cclet.2024.110784

    2. [2]

      Xiaofan ZHANGYu DUANMeijie SHINan LURenhong LIXiaoqing YAN . Z-scheme Co3O4/BiOBr heterojunction for efficient photoreduction CO2 reduction. Chinese Journal of Inorganic Chemistry, 2025, 41(9): 1878-1888. doi: 10.11862/CJIC.20250079

    3. [3]

      Hailang JIAHongcheng LIPengcheng JIYang TENGMingyun GUAN . Preparation and performance of N-doped carbon nanotubes composite Co3O4 as oxygen reduction reaction electrocatalysts. Chinese Journal of Inorganic Chemistry, 2024, 40(4): 693-700. doi: 10.11862/CJIC.20230402

    4. [4]

      Kai AnQinglong QiaoLoveleshSyed Ali Abbas AbediXiaogang LiuZhaochao Xu . "Superimposed" spectral characteristics of fluorophores arising from cross-conjugation hybridization. Chinese Chemical Letters, 2025, 36(1): 109786-. doi: 10.1016/j.cclet.2024.109786

    5. [5]

      Rong-Nan YiWei-Min He . Photocatalytic Minisci-type multicomponent reaction for the synthesis of 1-(halo)alkyl-3-heteroaryl bicyclo[1.1.1]pentanes. Chinese Chemical Letters, 2024, 35(10): 110115-. doi: 10.1016/j.cclet.2024.110115

    6. [6]

      Yunhao Zhang Yinuo Wang Siran Wang Dazhen Xu . Progress in Selective Construction of Functional Aromatics from Nitrogenous Cycloalkanes. University Chemistry, 2024, 39(11): 136-145. doi: 10.3866/PKU.DXHX202401083

    7. [7]

      Ping SunYuanqin HuangShunhong ChenXining MaZhaokai YangJian Wu . Indole derivatives as agrochemicals: An overview. Chinese Chemical Letters, 2024, 35(7): 109005-. doi: 10.1016/j.cclet.2023.109005

    8. [8]

      Fei ZHOUXiaolin JIA . Co3O4/TiO2 composite photocatalyst: Preparation and synergistic degradation performance of toluene. Chinese Journal of Inorganic Chemistry, 2024, 40(11): 2232-2240. doi: 10.11862/CJIC.20240236

    9. [9]

      Tian TIANMeng ZHOUJiale WEIYize LIUYifan MOYuhan YEWenzhi JIABin HE . Ru-doped Co3O4/reduced graphene oxide: Preparation and electrocatalytic oxygen evolution property. Chinese Journal of Inorganic Chemistry, 2025, 41(2): 385-394. doi: 10.11862/CJIC.20240298

    10. [10]

      Tao ZhouJing ZhouYunyun LiuJie-Ping WanFen-Er Chen . Transition metal-free tunable synthesis of 3-(trifluoromethylthio) and 3-trifluoromethylsulfinyl chromones via domino C–H functionalization and chromone annulation of enaminones. Chinese Chemical Letters, 2024, 35(11): 109683-. doi: 10.1016/j.cclet.2024.109683

    11. [11]

      Wei-Tao DouQing-Wen ZengYan KangHaidong JiaYulian NiuJinglong WangLin Xu . Construction and application of multicomponent fluorescent droplets. Chinese Chemical Letters, 2025, 36(1): 109995-. doi: 10.1016/j.cclet.2024.109995

    12. [12]

      Linping Li Junhui Su Yanping Qiu Yangqin Gao Ning Li Lei Ge . Design and fabrication of ternary Au/Co3O4/ZnCdS spherical composite photocatalyst for facilitating efficient photocatalytic hydrogen production. Chinese Journal of Structural Chemistry, 2024, 43(12): 100472-100472. doi: 10.1016/j.cjsc.2024.100472

    13. [13]

      Xuan PanTao ShengZhanzhu Liu . A concise total synthesis of monoterpenoid indole alkaloid (-)-voacafricine A. Chinese Chemical Letters, 2025, 36(10): 110913-. doi: 10.1016/j.cclet.2025.110913

    14. [14]

      Yan XUSuzhi LIYan LILushun FENGWentao SUNXinxing LI . Structure variation of cadmium naphthalene-diphosphonates with the changing rigidity of N-donor auxiliary ligands. Chinese Journal of Inorganic Chemistry, 2025, 41(2): 395-406. doi: 10.11862/CJIC.20240226

    15. [15]

      Cui XinZi-Jian ZhaoWei-Min He . Indole-quinoline transmutation enabled by a formal rhodium carbynoid. Chinese Chemical Letters, 2025, 36(11): 111583-. doi: 10.1016/j.cclet.2025.111583

    16. [16]

      Yachao HUANGChuanwang ZENGGuiyong LIUJinming ZENGChao LIUXiaopeng QI . Oxygen vacancies and phosphorus doping enhanced metal-organic framework derived nitrogen-doped carbon-coated Co3O4 bifunctional electrocatalyst. Chinese Journal of Inorganic Chemistry, 2025, 41(11): 2251-2260. doi: 10.11862/CJIC.20250133

    17. [17]

      Gaowa XingYuxuan LiHongren YaoQiang ZhangZengnan WuCaihou LinJin-Ming Lin . Tryptophan accumulation and inflammation of glioblastoma cells in a multicomponent microchip for gut-brain-axis simulation. Chinese Chemical Letters, 2025, 36(12): 111035-. doi: 10.1016/j.cclet.2025.111035

    18. [18]

      Yan-Li LiZhi-Ming LiKai-Kai WangXiao-Long He . Beyond 1,4-addition of in-situ generated (aza-)quinone methides and indole imine methides. Chinese Chemical Letters, 2024, 35(7): 109322-. doi: 10.1016/j.cclet.2023.109322

    19. [19]

      Wei ZhouXi ChenLin LuXian-Rong SongMu-Jia LuoQiang Xiao . Recent advances in electrocatalytic generation of indole-derived radical cations and their applications in organic synthesis. Chinese Chemical Letters, 2024, 35(4): 108902-. doi: 10.1016/j.cclet.2023.108902

    20. [20]

      Yi LuoLin Dong . Multicomponent remote C(sp2)-H bond addition by Ru catalysis: An efficient access to the alkylarylation of 2H-imidazoles. Chinese Chemical Letters, 2024, 35(10): 109648-. doi: 10.1016/j.cclet.2024.109648

Metrics
  • PDF Downloads(2)
  • Abstract views(1248)
  • HTML views(68)

通讯作者: 陈斌, bchen63@163.com
  • 1. 

    沈阳化工大学材料科学与工程学院 沈阳 110142

  1. 本站搜索
  2. 百度学术搜索
  3. 万方数据库搜索
  4. CNKI搜索
Address:Zhongguancun North First Street 2,100190 Beijing, PR China Tel: +86-010-82449177-888
Powered By info@rhhz.net

/

DownLoad:  Full-Size Img  PowerPoint
Return