Citation:
. Hydrophobic terminal group of surfactant initiating micellization as revealed by 1H NMR spectroscopy[J]. Chinese Chemical Letters,
;2017, 28(7): 1413-1416.
doi:
10.1016/j.cclet.2017.04.013
-
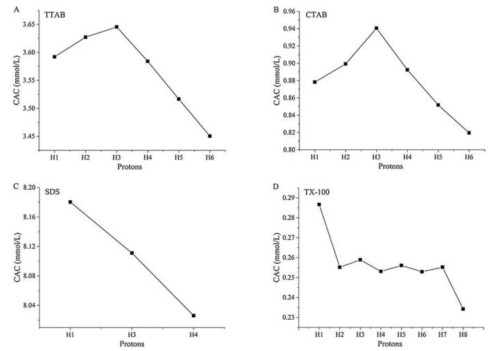
The critical aggregation concentration (CAC) of four with three kinds of conventional surfactants, namely, two cationic surfactants [hexadecyltrimethyl ammonium bromide (CTAB) and tetradecyltrimethyl ammonium bromide (TTAB)], one anionic surfactant [sodium dodecyl sulfate (SDS)], and a nonionic surfactant [Triton X-100 (TX-100)], were determined by variation of 1H chemical shifts with surfactant concentrations. Results show that the CAC values of protons at different positions of the same molecule are different, and those of the terminal methyl protons are the lowest, respectively, which suggests that the terminal groups of the alkyl chains aggregates first during micellization. Measurement of the transverse relaxation time (T2) of different protons in SDS also show that the terminal methyl protons start to decrease with the increase in concentration first, which supports the above mentioned tendency.
-
-
-
-
[1]
Ling-Hao Zhao , Hai-Wei Yan , Jian-Shuang Jiang , Xu Zhang , Xiang Yuan , Ya-Nan Yang , Pei-Cheng Zhang . Effective assignment of positional isomers in dimeric shikonin and its analogs by 1H NMR spectroscopy. Chinese Chemical Letters, 2024, 35(5): 108863-. doi: 10.1016/j.cclet.2023.108863
-
[2]
Yu Xiong , Li-Jun Hu , Jian-Guo Song , Di Zhang , Yi-Shuang Peng , Xiao-Jun Huang , Jian Hong , Bin Zhu , Wen-Cai Ye , Ying Wang . Structure elucidation of plumerubradins A–C: Correlations between 1H NMR signal patterns and structural information of [2+2]-type cyclobutane derivatives. Chinese Chemical Letters, 2025, 36(5): 110149-. doi: 10.1016/j.cclet.2024.110149
-
[3]
Runze Liu , Yankai Bian , Weili Dai . Qualitative and quantitative analysis of Brønsted and Lewis acid sites in zeolites: A combined probe-assisted 1H MAS NMR and NH3-TPD investigation. Chinese Journal of Structural Chemistry, 2024, 43(4): 100250-100250. doi: 10.1016/j.cjsc.2024.100250
-
[4]
Jinge Zhu , Ailing Tang , Leyi Tang , Peiqing Cong , Chao Li , Qing Guo , Zongtao Wang , Xiaoru Xu , Jiang Wu , Erjun Zhou . Chlorination of benzyl group on the terminal unit of A2-A1-D-A1-A2 type nonfullerene acceptor for high-voltage organic solar cells. Chinese Chemical Letters, 2025, 36(1): 110233-. doi: 10.1016/j.cclet.2024.110233
-
[5]
Wen-Tao Ouyang , Jun Jiang , Yan-Fang Jiang , Ting Li , Yuan-Yuan Liu , Hong-Tao Ji , Li-Juan Ou , Wei-Min He . Sono-photocatalytic amination of quinoxalin-2(1H)-ones with aliphatic amines. Chinese Chemical Letters, 2024, 35(10): 110038-. doi: 10.1016/j.cclet.2024.110038
-
[6]
Chao LIU , Jiang WU , Zhaolei JIN . Synthesis, crystal structures, and antibacterial activities of two zinc(Ⅱ) complexes bearing 5-phenyl-1H-pyrazole group. Chinese Journal of Inorganic Chemistry, 2024, 40(10): 1986-1994. doi: 10.11862/CJIC.20240153
-
[7]
Xiao-Ming Chen , Lianhui Song , Jun Pan , Fei Zeng , Yi Xie , Wei Wei , Dong Yi . Visible-light-induced four-component difunctionalization of alkenes to construct phosphorodithioate-containing quinoxalin-2(1H)-ones. Chinese Chemical Letters, 2024, 35(11): 110112-. doi: 10.1016/j.cclet.2024.110112
-
[8]
Qiang Feng , Jindong Hao , Ya Hu , Rong Fu , Wei Wei , Dong Yi . Photocatalytic multi-component synthesis of ester-containing quinoxalin-2(1H)-ones using water as the hydrogen donor. Chinese Chemical Letters, 2025, 36(6): 110582-. doi: 10.1016/j.cclet.2024.110582
-
[9]
Hanqi Zhang , Biao Gao , Yuanyuan Feng , Guijuan Zheng , Zhijun Liu , Lichun Kong , Junjun Liu , Haji Akber Aisa , Guangmin Yao . DFT calculations and dynamic NMR revealed the coalescent NMR phenomena of the 6/6/6/9 tetracyclic merosesquiterpenoids with an unprecedented 9,15-dioxatetracyclo[8.5.3.04,17.014,18]octadecane core skeleton. Chinese Chemical Letters, 2025, 36(9): 111234-. doi: 10.1016/j.cclet.2025.111234
-
[10]
Qiong-Hui Peng , Ning-Bo Li , Jia-Cheng Hou , Cai-Jun He , Ya-Xin Yang , Chun-Lin Zhuang , Li-Juan Ou , Mei Yuan , Wei-Min He . Nd@g-C3N4 dual-functional photosynthesis and antitumor activities of 3-fluoroalkylated quinoxalin-2(1H)-ones. Chinese Chemical Letters, 2025, 36(12): 111402-. doi: 10.1016/j.cclet.2025.111402
-
[11]
Wei-Bin Li , Xiao-Chao Huang , Pei Liu , Jie Kong , Guo-Ping Yang . Recent advances in directing group assisted transition metal catalyzed para-selective C-H functionalization. Chinese Chemical Letters, 2025, 36(6): 110543-. doi: 10.1016/j.cclet.2024.110543
-
[12]
Xinghao Cai , Chen Ma , Ying Kang , Yuqiang Ren , Xue Meng , Wei Lu , Shiming Fan , Shouxin Liu . Nickel-catalyzed C(sp2)–H alkynylation of free α-substituted benzylamines using a transient directing group. Chinese Chemical Letters, 2025, 36(10): 110901-. doi: 10.1016/j.cclet.2025.110901
-
[13]
Fuyun Chi , Man Zhang , Yiman Han , Fukui Shen , Shijie Peng , Bo Su , Yuanyuan Hou , Gang Bai . Covalent modulation of mPGES1 activity via α,β-unsaturated aldehyde group: Implications for downregulating PGE2 expression and antipyretic response. Chinese Chemical Letters, 2025, 36(4): 109913-. doi: 10.1016/j.cclet.2024.109913
-
[14]
Jian Han , Li-Li Zeng , Qin-Yu Fei , Yan-Xiang Ge , Rong-Hui Huang , Fen-Er Chen . Recent advances in remote C(sp3)–H functionalization via chelating group-assisted metal-catalyzed chain-walking reaction. Chinese Chemical Letters, 2024, 35(11): 109647-. doi: 10.1016/j.cclet.2024.109647
-
[15]
Zixu Xie , Pengfei Zhang , Ziyao Zhang , Chen Chen , Xing Wang . The choice of antimicrobial polymers: Hydrophilic or hydrophobic?. Chinese Chemical Letters, 2024, 35(9): 109768-. doi: 10.1016/j.cclet.2024.109768
-
[16]
Gaofeng WANG , Shuwen SUN , Yanfei ZHAO , Lixin MENG , Bohui WEI . Structural diversity and luminescence properties of three zinc coordination polymers based on bis(4-(1H-imidazol-1-yl)phenyl)methanone. Chinese Journal of Inorganic Chemistry, 2024, 40(5): 849-856. doi: 10.11862/CJIC.20230479
-
[17]
Yanfen PENG , Xinyue WANG , Tianbao LIU , Xiaoshuo WU , Yujing WEI . Syntheses and luminescence of four Cd(Ⅱ)/Zn(Ⅱ) complexes constructed by 1,3‐bis(4H‐1,2,4‐triazole)benzene. Chinese Journal of Inorganic Chemistry, 2025, 41(7): 1416-1426. doi: 10.11862/CJIC.20250018
-
[18]
Youxiang He , Yongfa Zhu , Ming Luo , Haiping Xia . A nonalternant analogue of pentacene incorporating a non-terminal azulene unit. Chinese Chemical Letters, 2025, 36(7): 110463-. doi: 10.1016/j.cclet.2024.110463
-
[19]
Yan Zou , Yuting Xue , Chenxue Du , Wenyang Fu , Bin Xia , Yu He , Liang Ao , Xiaoshu Lv , Guangming Jiang . Anhydrous sodium sulfate microparticles for efficient water separation from surfactant-stabilized water-in-oil emulsions. Chinese Chemical Letters, 2025, 36(11): 110814-. doi: 10.1016/j.cclet.2025.110814
-
[20]
Peiyan Zhu , Yanyan Yang , Hui Li , Jinhua Wang , Shiqing Li . Rh(Ⅲ)‐Catalyzed sequential ring‐retentive/‐opening [4 + 2] annulations of 2H‐imidazoles towards full‐color emissive imidazo[5,1‐a]isoquinolinium salts and AIE‐active non‐symmetric 1,1′‐biisoquinolines. Chinese Chemical Letters, 2024, 35(10): 109533-. doi: 10.1016/j.cclet.2024.109533
-
[1]
Metrics
- PDF Downloads(4)
- Abstract views(1439)
- HTML views(50)
Login In
DownLoad: