Citation: Li Wei, Siqin Gao-Wa, Zhu Zhi, Qi Lu, Tian Wen-Huai. Electrochemical properties of niobium and phosphate doped spherical Li-rich spinel LiMn2O4 synthesized by ion implantation method[J]. Chinese Chemical Letters, ;2017, 28(7): 1438-1446. doi: 10.1016/j.cclet.2017.03.035 shu

Electrochemical properties of niobium and phosphate doped spherical Li-rich spinel LiMn2O4 synthesized by ion implantation method

  • Corresponding author: Li Wei, liweimgl@163.com
  • Received Date: 20 December 2016
    Revised Date: 7 February 2017
    Accepted Date: 26 March 2017
    Available Online: 29 July 2017

Figures(8)

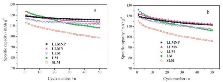
  • Spherical Li-rich lithium manganese oxide (LMO) spinel material was synthesized by an ion implanted method assisted by polyalcohol doped with Niobium and Phosphate simultaneously. The material was characterized by scanning electron microscopy, X-ray diffraction and BET specific surface area analysis. The electrochemical performances were investigated with galvanostatic techniques and cyclic voltammetry. The synthesis process was investigated with TG/DSC. The results show that the lithium ion can be immersed into the pore of manganese dioxide at a low temperature with the ion implanted method. The prepared materials have a higher discharge capacity and better crystallization than those prepared by solid phase method. The doped Nb can improve the capacity of the Li-rich LMO spinel and reinforce the crystal growth along (111) and (400) planes. The crystal grains show circular and smooth morphology, which makes the specific surface area greatly decreased. Phosphate-doped LMO spinel exhibits good high-rate capacity and structure stability. The prepared Li1.09Mn1.87Nb0.031O3.99(PO4)0.021 delivers a discharge capacity of 119 mAh g-1 at 0.2 C (1 C=148 mA g-1) and 112.8 mAh g-1 at 10 C, the discharge capacity retention reaches 98% at 1 ℃ after 50 cycles at 25 ℃ and 94% at 55 ℃.
  • 加载中
    1. [1]

      Nitta N., Wu F.X., Lee J.T.. Li-ion battery materials: present and future[J]. Mater. Today, 2015,18:252-264. doi: 10.1016/j.mattod.2014.10.040

    2. [2]

      Xu G.J., Liu Z.H., Zhang C.J.. Strategies for improving the cyclability and thermo-stability of LiMn2O4-based batteries at elevated temperatures[J]. J. Mater. Chem. A, 2015,3:4092-4123. doi: 10.1039/C4TA06264G

    3. [3]

      Martinez S., Sobrados I., Tonti D.. Chemical vs. electrochemical extraction of lithium from the Li-excess Li1.10Mn1.90O4 spinel followed by NMR and DRX techniques[J]. Phys. Chem. Chem. Phys., 2016,16:3282-3291.

    4. [4]

      Deng Y.F., Zhao S.X., Hu D.H.. Structure and electrochemical performance of spinel LiMn1.95Ni0.05O3.98F0.02 coated with Li-La-Zr-O solid electrolyte[J]. J. Solid State Electrochem., 2014,18:249-255. doi: 10.1007/s10008-013-2265-2

    5. [5]

      Zhu Z., Zhang D., Yan H.. Precise preparation of high performance spherical hierarchical LiNi0.5Mn1.5O4 for 5 V lithium ion secondary batteries[J]. J. Mater. Chem. A, 2013,1:5492-5496. doi: 10.1039/c3ta10980a

    6. [6]

      Nakamura T., Kajiyama A.. Synthesis of Li-Mn spinel oxide using Mn2O3 particles[J]. Solid State Ionics, 1999,124:45-52. doi: 10.1016/S0167-2738(99)00214-3

    7. [7]

      Liu W., Kowal K., Farrington G.C.. Electrochemical characteristics of spinel phase LiMn2O4-based cathode materials prepared by the pechini process[J]. J. Electrochem. Soc., 1996,143:3590-3596. doi: 10.1149/1.1837257

    8. [8]

      Fu L.J., Liu H., Li C.. Electrode materials for lithium secondary batteries prepared by sol-gel methods[J]. Prog. Mater. Sci., 2005,50:881-928. doi: 10.1016/j.pmatsci.2005.04.002

    9. [9]

      Kanasaku T., Amezawa K., Yamamoto N.. Hydrothermal synthesis and electrochemical properties of Li-Mn-spinel[J]. Solid State Ionics, 2000,133:51-56. doi: 10.1016/S0167-2738(00)00734-7

    10. [10]

      Cui Y.L., Bao W.J., Yuan Z.. Comparison of different soft chemical routes synthesis of submicro-LiMn2O4 and their influence on its electrochemical properties[J]. J. Solid State Electrochem., 2012,16:1551-1559. doi: 10.1007/s10008-011-1558-6

    11. [11]

      Zhu C.Y., Saito G., Akiyama T.. A new CaCO3-template method to synthesize nanoporous manganese oxide hollow structures and their transformation to high-performance LiMn2O4 cathodes for lithium-ion batteries[J]. J. Mater. Chem. A, 2013,1:7077-7082. doi: 10.1039/c3ta11066d

    12. [12]

      Zhu Z., Qi L., Zhang D.. Preparation of spherical hierarchical LiNi0.5Mn1.5O4 with high electrochemical performances by a novel composite co-precipitation method for 5 V lithium ion secondary batteries[J]. Electrochim. Acta, 2015,115:290-296.

    13. [13]

      Cai Y.J., Huang Y.D., Wang X.C.. Facile synthesis of LiMn2O4 octahedral nanoparticles as cathode materials for high capacity lithium ion batteries with long cycle life[J]. J. Power Sources, 2015,278:574-581. doi: 10.1016/j.jpowsour.2014.12.082

    14. [14]

      Ding X.N., Zhou H.W., Liu G.C.. Electrochemical evaluation of LiAl0.05Ni0.05Mn1.9O4 cathode material synthesized via electrospinning method[J]. J. Alloys Compd., 2015,632:147-151. doi: 10.1016/j.jallcom.2015.01.163

    15. [15]

      Hirose S., Kodera T., Ogihara T.. Synthesis and electrochemical properties of Lirich spinel type LiMn2O4 powders by spray pyrolysis using aqueous solution of manganese carbonate[J]. J. Alloys Compd., 2010,506:883-887. doi: 10.1016/j.jallcom.2010.07.104

    16. [16]

      Zhang Q.T., Mei J.T., Wang X.M.. Facile synthesis of spherical spinel LiMn2O4 nanoparticles via solution combustion synthesis by controlling calcinating temperature[J]. J. Alloys Compd., 2014,617:326-331. doi: 10.1016/j.jallcom.2014.08.003

    17. [17]

      Putra T.Y.S.P., Yonemura M., Torii S.. Structure and electrochemical performance of the spinel-LiMn2O4 synthesized by mechanical alloying[J]. Solid State Ionics, 2014,262:83-87. doi: 10.1016/j.ssi.2013.10.049

    18. [18]

      Saitoh M., Sano M., Fujita M.. Studies of capacity losses in cycles and storages for a Li1.1Mn1.9O4 positive electrode[J]. J. Electrochem. Soc., 2004,151:A17-A22. doi: 10.1149/1.1630038

    19. [19]

      Talik E., Lipińska L., Zajdel P.. Electronic structure and magnetic properties of LiMn1.5M0.5O4(M=Al, Mg, Ni, Fe) and LiMn2O4/TiO2 nanocrystalline electrode materials[J]. J. Solid State Chem., 2013,206:257-264. doi: 10.1016/j.jssc.2013.08.006

    20. [20]

      Luo Q., Manthiram A.. Effect of low-temperature fluorine doping on the properties of spinel LiMn2-2yLiyMyO4-ηFη (M=Fe, Co, and Zn) cathodes[J]. J. Electrochem. Soc., 2009,156:A84-A88. doi: 10.1149/1.3028317

    21. [21]

      Liu Y., Fujiwara T., Yukawa H.. Lithium intercalation and alloying efects on electronic structures of spinel lithium manganese oxides[J]. Solar Energy Mater. Solar Cells, 2000,62:81-87. doi: 10.1016/S0927-0248(99)00138-5

    22. [22]

      Sun H.B., Chen Y.G., Xu C.H.. Electrochemical performance of rare-earth doped LiMn2O4 spinel cathode materials for Li-ion rechargeable battery[J]. J. Solid State Electrochem., 2012,16:1247-1254. doi: 10.1007/s10008-011-1514-5

    23. [23]

      Iturrondobeitia A., Go A., Palomares V.. Effect of doping LiMn2O4 spinel with a tetravalent species such as Si(Ⅳ) versus with a trivalent species such as Ga(Ⅲ). Electrochemical, magnetic and ESR study[J]. J. Power Sources, 2012,216:482-488. doi: 10.1016/j.jpowsour.2012.06.031

    24. [24]

      Han S.C., Singh S.P., Hwang Y.H.. Gadolinium-doped LiMn2O4 cathodes in Li ion batteries: understanding the stabilized structure and enhanced electrochemical kinetics[J]. J. Electrochem. Soc., 2012,159:A1867-A1873. doi: 10.1149/2.009212jes

    25. [25]

      Lee D.K., Han S.C., Ahn D.. Suppression of phase transition in LiTb0.01Mn1.99O4 cathodes with fast Li+ diffusion[J]. ACS Appl. Mater. Interfaces, 2012,4:6842-6848. doi: 10.1021/am302003r

    26. [26]

      Liang X., Zeng S., Liu Y.. Enhance cycling performance of LiMn2O4 cathode by Sr2+ and Cr3+ doping[J]. Mater. Sci. Technol., 2015,31:443-447. doi: 10.1179/1743284714Y.0000000625

    27. [27]

      Balaji S., Mani Chandran T., Mutharasu D.. A study on the influence of dysprosium cation substitution on the structural, morphological, and electrochemical properties of lithium manganese oxide[J]. Ionics, 2011,18:549-558.  

    28. [28]

      Jayapal S., Mariappan R., Piraman S.. Dopant depends on morphological and electrochemical characteristics of LiMn2-XMoXO4 cathode nanoparticles[J]. J. Solid State Electrochem., 2013,17:2157-2165. doi: 10.1007/s10008-013-2055-x

    29. [29]

      Ebin B., Lindbergh G., Gürmen S.. Preparation and electrochemical properties of nanocrystalline LiBxMn2-xO4 cathode particles for Li-ion batteries by ultrasonic spray pyrolysis method[J]. J. Alloys Compd., 2015,620:399-406. doi: 10.1016/j.jallcom.2014.09.098

    30. [30]

      Guo S.H., Zhang S.C., He X.M.. Synthesis and characterization of Sn-doped LiMn2O4 cathode materials for rechargeable Li-ion batteries[J]. J. Electrochem. Soc., 2008,155:A760-A763. doi: 10.1149/1.2965635

    31. [31]

      Lee H.R., Lee B., Chung K.Y.. Scalable synthesis and electrochemical investigations of fluorine-doped lithium manganese spinel oxide[J]. Electrochim. Acta, 2014,136:396-403. doi: 10.1016/j.electacta.2014.05.106

    32. [32]

      Sun Y.K., Oh B., Lee H.J.. Synthesis and electrochemical characterization of oxysulfide spinel LiAl0.15Mn1.85O3.97S0.03 cathode materials for rechargeable batteries[J]. Electrochim. Acta, 2000,46:541-546. doi: 10.1016/S0013-4686(00)00629-0

    33. [33]

      Ye S.H., Bo J.K., Li C.Z.. Improvement of the high-rate discharge capability of phosphate-doped spinel LiMn2O4 by a hydrothermal method[J]. Electrochim. Acta, 2010,55:2972-2977. doi: 10.1016/j.electacta.2010.01.018

    34. [34]

      Jiang Q.L., Du K., Cao Y.B.. Synthesis and characterization of phosphatemodified LiMn2O4 cathode materials for Li-ion battery[J]. Chin. Chem. Lett., 2010,21:1382-1386. doi: 10.1016/j.cclet.2010.04.039

    35. [35]

      Dou S.M.. Review and prospects of Mn-based spinel compounds as cathode materials for lithium-ion batteries[J]. Ionics, 2015,21:3001-3030. doi: 10.1007/s11581-015-1545-5

    36. [36]

      Wei Q.L., Wang X.Y., Yang X.K.. The effects of crystal structure of the precursor MnO2 on electrochemical properties of spinel LiMn2O4[J]. J. Solid State Electrochem., 2012,16:3651-3659. doi: 10.1007/s10008-012-1809-1

    37. [37]

      Hernan L., Morales J., Sanchez L.. Sol-gel derived Li-V-Mn-O spinels as cathodes for rechargeable lithium batteries[J]. Solid State Ionics, 2000,133:179-188. doi: 10.1016/S0167-2738(00)00742-6

    38. [38]

      Yang X.J., Kanoh H., Tang W.P.. Synthesis of Li1.33Mn1.67O4 spinels with different morphologies and their ion adsorptivities after delithiation[J]. J. Mater. Chem., 2000,10:1903-1909. doi: 10.1039/b000219o

    39. [39]

      Xu W., Yuan A., Wang Y.. Electrochemical studies of LiCrxFexMn2-2xO4 in an aqueous electrolyte[J]. J. Solid State Electrochem., 2011,16:429-434.  

    40. [40]

      Sun Y.K., Park G.S., Lee Y.S.. Structural changes (degradation) of oxysulfide LiAl0.24Mn1.76O3.98S0.02 spinel on high-temperature cycling[J]. J. Electrochem. Soc., 2001,148:A994-A998. doi: 10.1149/1.1391270

    41. [41]

      Ragupathy P.. Understanding the role of manganese valence in 4 V spinel cathodes for lithium-ion batteries: a systematic investigation[J]. RSC Adv., 2014,4:670-675. doi: 10.1039/C3RA45689G

    42. [42]

      Capsoni D., Bini M., Chiodelli G.. Inhibition of Jahn-Teller cooperative distortion in spinel by LiMn2O4 transition metal ion doping[J]. Phys. Chem. Chem. Phys., 2001,3:2162-2166. doi: 10.1039/b100080m

    43. [43]

      Arabolla Rodríguez R., Mosqueda Laffita Y., Perez Cappe E.. A new strategy toward enhancing the phosphate doping in LixMn2O4 cathode materials[J]. Ceram. Int., 2014,40:12413-12422. doi: 10.1016/j.ceramint.2014.04.092

    44. [44]

      Prabu M., Reddy M.V., Selvasekarapandian S.. (Li, Al)-co-doped spinel Li (Li0.1Al0.1Mn1.8)O4 as high performance cathode for lithium ion batteries[J]. Electrochim. Acta, 2013,88:745-755. doi: 10.1016/j.electacta.2012.10.011

    45. [45]

      Amarilla J.M., Petrov K., Pic F.. Ni2+, Cr3+, Co3+ y=0.01 and 0.06) spinels characterization and electrochemical behavior at 25 and at 55℃ in rechargeable lithium cells[J]. J. Power Sources, 2009,191:591-600. doi: 10.1016/j.jpowsour.2009.02.026

    46. [46]

      Choi W., Manthiram A.. Influence of fluorine on the electrochemical performance of spinel LiMn2-y-zLiyZnzO4-ηFη cathodes[J]. J. Electrochem. Soc., 2007,154:A614-A618. doi: 10.1149/1.2732169

    47. [47]

      Choi W., Manthiram A.. Comparison of metal ion dissolutions from lithium ion battery cathodes[J]. J. Electrochem. Soc., 2006,153:A1760-A1764. doi: 10.1149/1.2219710

  • 加载中
    1. [1]

      Yue Wang Caixia Xu Xingtao Tian Siyu Wang Yan Zhao . Challenges and Modification Strategies of High-Voltage Cathode Materials for Li-ion Batteries. Chinese Journal of Structural Chemistry, 2023, 42(10): 100167-100167. doi: 10.1016/j.cjsc.2023.100167

    2. [2]

      Xinpin PanYongjian CuiZhe WangBowen LiHailong WangJian HaoFeng LiJing Li . Robust chemo-mechanical stability of additives-free SiO2 anode realized by honeycomb nanolattice for high performance Li-ion batteries. Chinese Chemical Letters, 2024, 35(10): 109567-. doi: 10.1016/j.cclet.2024.109567

    3. [3]

      Fanjun KongYixin GeShi TaoZhengqiu YuanChen LuZhida HanLianghao YuBin Qian . Engineering and understanding SnS0.5Se0.5@N/S/Se triple-doped carbon nanofibers for enhanced sodium-ion batteries. Chinese Chemical Letters, 2024, 35(4): 108552-. doi: 10.1016/j.cclet.2023.108552

    4. [4]

      Yuming ShuHanghang LeiJiangnan HuangQing PanBaichao ZhangYixin XuYe ZhouGuorong HuYanbing CaoGuoqiang ZouWentao DengZhongdong PengHongshuai HouDi ChenXiaobo Ji . Enabling superior performance in brick-like single-crystal LiMn2O4 via BaO flux. Chinese Chemical Letters, 2025, 36(9): 110345-. doi: 10.1016/j.cclet.2024.110345

    5. [5]

      Mingzhu JiangPanqing WangQiheng ChenYue ZhangQi WuLei TanTianxiang NingLingjun LiKangyu Zou . Enabling the Nb/Ti co-doping strategy for improving structure stability and rate capability of Ni-rich cathode. Chinese Chemical Letters, 2025, 36(6): 110040-. doi: 10.1016/j.cclet.2024.110040

    6. [6]

      Ping WangTing WangMing XuZe GaoHongyu LiBowen LiYuqi WangChaoqun QuMing Feng . Keplerate polyoxomolybdate nanoball mediated controllable preparation of metal-doped molybdenum disulfide for electrocatalytic hydrogen evolution in acidic and alkaline media. Chinese Chemical Letters, 2024, 35(7): 108930-. doi: 10.1016/j.cclet.2023.108930

    7. [7]

      Zeyin ChenJiaju ShiYusheng ZhouPeng ZhangGuodong Liang . Polymer microparticles with ultralong room-temperature phosphorescence for visual and quantitative detection of oxygen through phosphorescence image and lifetime analysis. Chinese Chemical Letters, 2025, 36(5): 110629-. doi: 10.1016/j.cclet.2024.110629

    8. [8]

      Yongjian LiXinyu ZhuChenxi WeiYouyou FangXinyu WangYizhi ZhaiWenlong KangLai ChenDuanyun CaoMeng WangYun LuQing HuangYuefeng SuHong YuanNing LiFeng Wu . Unraveling the chemical and structural evolution of novel Li-rich layered/rocksalt intergrown cathode for Li-ion batteries. Chinese Chemical Letters, 2024, 35(12): 109536-. doi: 10.1016/j.cclet.2024.109536

    9. [9]

      Qingyan JIANGYanyong SHAChen CHENXiaojuan CHENWenlong LIUHao HUANGHongjiang LIUQi LIU . Constructing a one-dimensional Cu-coordination polymer-based cathode material for Li-ion batteries. Chinese Journal of Inorganic Chemistry, 2024, 40(4): 657-668. doi: 10.11862/CJIC.20240004

    10. [10]

      Wenya LiYuanqi YangYuqing YangMin LiangHuizi LiXi KeLiying LiuYan SunChunsheng LiZhicong ShiSu Ma . Insights into magnesium and titanium co-doping to stabilize the O3-type NaCrO2 cathode material for sodium-ion batteries. Chinese Chemical Letters, 2025, 36(10): 110388-. doi: 10.1016/j.cclet.2024.110388

    11. [11]

      Yue Zheng Tianpeng Huang Pengxian Han Jun Ma Guanglei Cui . Cathodal Li-ion interfacial transport in sulfide-based all-solid-state batteries: Challenges and improvement strategies. Chinese Journal of Structural Chemistry, 2024, 43(10): 100390-100390. doi: 10.1016/j.cjsc.2024.100390

    12. [12]

      Hengyi ZHULiyun JUHaoyue ZHANGJiaxin DUYutong XIELi SONGYachao JINMingdao ZHANG . Efficient regeneration of waste LiNi0.5Co0.2Mn0.3O2 cathode toward high-performance Li-ion battery. Chinese Journal of Inorganic Chemistry, 2025, 41(4): 625-638. doi: 10.11862/CJIC.20240358

    13. [13]

      Fan FanHao XiuYuting WangYongpeng CuiYajun Wang . Construction of NH2-MIL-125/Na-doped g-C3N4 composite S-scheme heterojunction and its performance in photocatalytic hydrogen peroxide production. Acta Physico-Chimica Sinica, 2026, 42(2): 100143-0. doi: 10.1016/j.actphy.2025.100143

    14. [14]

      Wenjie MaYakun TangYue ZhangLang LiuBin TangDianzeng JiaYuliang Cao . Cation-disordered Li2FeTiO4 nanoparticles with multiple cation and anion redox for symmetric lithium-ion batteries. Chinese Chemical Letters, 2025, 36(9): 110346-. doi: 10.1016/j.cclet.2024.110346

    15. [15]

      Qin HuLiuyun ChenXinling XieZuzeng QinHongbing JiTongming Su . Construction of Electron Bridge and Activation of MoS2 Inert Basal Planes by Ni Doping for Enhancing Photocatalytic Hydrogen Evolution. Acta Physico-Chimica Sinica, 2024, 40(11): 2406024-0. doi: 10.3866/PKU.WHXB202406024

    16. [16]

      Bin FengTao LongRuotong LiYuan-Li Ding . Rationally constructing metallic Sn-ZnO heterostructure via in-situ Mn doping for high-rate Na-ion batteries. Chinese Chemical Letters, 2025, 36(2): 110273-. doi: 10.1016/j.cclet.2024.110273

    17. [17]

      Chong TangZhong QiuChen LiTengfei ZhangRenhong ChenYifa ShengXinhui XiaYongqi ZhangJun Liu . Rational synthesis of vertical graphene supported TiN@N-Li4Ti5O12 as advanced high-rate electrodes for lithium-ion batteries. Chinese Chemical Letters, 2025, 36(11): 110589-. doi: 10.1016/j.cclet.2024.110589

    18. [18]

      Le LiShaofeng JiaShi YueYuanyuan YangChao TanConghui WangHengwei QiuYongqiang JiMinghui CaoZige TaiDan Zhang . Vanadium doping inhibit the Jahn−Teller effect of Mn3+ for high-performance aqueous zinc ion battery. Chinese Chemical Letters, 2025, 36(10): 111009-. doi: 10.1016/j.cclet.2025.111009

    19. [19]

      Zheng LiFangkun LiXijun XuJun ZengHangyu ZhangLei XiYiwen WuLinwei ZhaoJiahe ChenJun LiuYanping HuoShaomin Ji . A scalable approach to Na4Fe3(PO4)2P2O7@carbon/expanded graphite as cathode for ultralong-lifespan and low-temperature sodium-ion batteries. Chinese Chemical Letters, 2025, 36(10): 110390-. doi: 10.1016/j.cclet.2024.110390

    20. [20]

      Ruofan YinZhaoxin GuoRui LiuXian-Sen Tao . Ultrafast synthesis of Na3V2(PO4)3 cathode for high performance sodium-ion batteries. Chinese Chemical Letters, 2025, 36(2): 109643-. doi: 10.1016/j.cclet.2024.109643

Metrics
  • PDF Downloads(5)
  • Abstract views(1204)
  • HTML views(34)

通讯作者: 陈斌, bchen63@163.com
  • 1. 

    沈阳化工大学材料科学与工程学院 沈阳 110142

  1. 本站搜索
  2. 百度学术搜索
  3. 万方数据库搜索
  4. CNKI搜索
Address:Zhongguancun North First Street 2,100190 Beijing, PR China Tel: +86-010-82449177-888
Powered By info@rhhz.net

/

DownLoad:  Full-Size Img  PowerPoint
Return