Citation: Ma Yan-Fu, Wang Hao, Xu Guang-Yue, Liu Xiao-Hao, Zhang Ying, Fu Yao. Selective conversion of furfural to cyclopentanol over cobalt catalysts in one step[J]. Chinese Chemical Letters, ;2017, 28(6): 1153-1158. doi: 10.1016/j.cclet.2017.03.017 shu

Selective conversion of furfural to cyclopentanol over cobalt catalysts in one step

Figures(4)

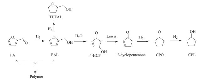
  • A series of cobalt catalysts with different supports were prepared for the selective conversion of biomassderived furfural to cyclopentanol (CPL) in one step. The best CPL yield was 82 mol% at 160℃, 2 MPa H2, 4 h when cobalt was supported on ZrO2-La2O3. The supports were characterized by X-ray diffraction (XRD) and temperature-programmed desorption of ammonia (NH3-TPD). The XRD results indicated that the more stable t-ZrO2 formed by doping La2O3. The amount of acid sites of the catalyst increased, too. The influences of parameters such as reaction temperature, hydrogen pressure, and reaction time on the catalytic activity were also investigated. The polymer formed during the reaction may cause the deactivation of the Co/ZrO2-La2O3 catalyst. This work provides a possibility to prepare the stable t-ZrO2 and apply with cobalt metal for biomass valorization.
  • 加载中
    1. [1]

      van Putten R.J., van der Waal J.C., De Jong E.D.. Hydroxymethylfurfural, a versatile platform chemical made from renewable resources[J]. Chem. Rev., 2013,113:1499-1597. doi: 10.1021/cr300182k

    2. [2]

      Gandini A., Lacerda T.M., Carvalho A.J.F., Trovatti E.. Progress of polymers from renewable resources:furans, vegetable oils, and polysaccharides[J]. Chem. Rev., 2015,116:1637-1669.  

    3. [3]

      Karinen R., Vilonen K., Niemelä M.. Biorefining:heterogeneously catalyzed reactions of carbohydrates for the production of furfural and hydroxymethylfurfural[J]. ChemSusChem, 2011,4:1002-1016. doi: 10.1002/cssc.201000375

    4. [4]

      Hu L., Zhao G., Hao W.W.. Catalytic conversion of biomass-derived carbohydrates into fuels and chemicals via furanic aldehydes[J]. RSC Adv., 2012,2:11184-11206. doi: 10.1039/c2ra21811a

    5. [5]

      Climent M.J., Corma A., Iborra S.. Converting carbohydrates to bulk chemicals and fine chemicals over heterogeneous catalysts[J]. Green Chem., 2011,13:520-540. doi: 10.1039/c0gc00639d

    6. [6]

      Nakagawa Y., Tamura M., Tomishige K.. Catalytic reduction of biomass-derived furanic compounds with hydrogen[J]. ACS Catal., 2013,3:2655-2668. doi: 10.1021/cs400616p

    7. [7]

      Gürbüz E.I., Gallo J.M.R., Alonso D.M.. Gallo M.R.[J]. Conversion of hemicellulose into furfural using solid acid catalysts in γ-valerolactone, Angew. Chem. Int. Ed., 2013,52:1270-1274.

    8. [8]

      Cui J.L., Tan J.J., Deng T.S.. Conversion of carbohydrates to furfural via selective cleavage of the carbon-carbon bond:the cooperative effects of zeolite and solvent[J]. Green Chem., 2016,18:1619-1624. doi: 10.1039/C5GC01948F

    9. [9]

      Aida T.M., Sato Y., Watanabe M.. Dehydration of d-glucose in high temperature water at pressures up to 80 MPa[J]. J. Supercrit. Fluids, 2007,40:381-388. doi: 10.1016/j.supflu.2006.07.027

    10. [10]

      Jin F.M., Enomoto H.. Rapid and highly selective conversion of biomass into value-added products in hydrothermal conditions:chemistry of acid/basecatalysed and oxidation reactions[J]. Energy Environ. Sci., 2011,4:382-397. doi: 10.1039/C004268D

    11. [11]

      Yan K., Wu G., Lafleur T., Jarvis C.. Production[J]. properties and catalytic hydrogenation of furfural to fuel additives and value-added chemicals, Renew. Sustain. Energy Rev., 2014,38:663-676.

    12. [12]

      Renz M.. Ketonization of carboxylic acids by decarboxylation:mechanism and scope[J]. Eur. J. Org. Chem., 2005,2005:979-988. doi: 10.1002/(ISSN)1099-0690

    13. [13]

      Dubkov K.A., Panov G.I., Starokon E.V., Parmon V.N.. Non-catalytic liquid phase oxidation of alkenes with nitrous oxide. 2. Oxidation of cyclopentene to cyclopentanone[J]. React. Kinet. Catal. Lett., 2002,77:197-205. doi: 10.1023/A:1020372726494

    14. [14]

      Marquié J., Laporterie A., Dubac J., Roques N.. Graphite-supported ketodecarboxylation of carboxylic diacids[J]. Synlett, 2001,2001:0493-0496. doi: 10.1055/s-2001-12319

    15. [15]

      Hronec M., Fulajtarová K.. Selective transformation of furfural to cyclopentanone[J]. Catal. Commun., 2012,24:100-104. doi: 10.1016/j.catcom.2012.03.020

    16. [16]

      Hronec M., Fulajtarová K., Liptaj T.. Effect of catalyst and solvent on the furan ring rearrangement to cyclopentanone[J]. Appl. Catal. A:Gen., 2012,437:104-111.  

    17. [17]

      Fang R.Q., Liu H.L., Luque R., Li Y.W.. Efficient and selective hydrogenation of biomass-derived furfural to cyclopentanone using Ru catalysts[J]. Green Chem., 2015,17:4183-4188. doi: 10.1039/C5GC01462J

    18. [18]

      Hronec M., Fulajtarová K., Vávra I.. Carbon supported Pd-Cu catalysts for highly selective rearrangement of furfural to cyclopentanone[J]. Appl. Catal. B:Environ., 2016,181:210-219. doi: 10.1016/j.apcatb.2015.07.046

    19. [19]

      Zhang G.S., Zhu M.M., Zhang Q.. Towards quantitative and scalable transformation of furfural to cyclopentanone with supported gold catalysts[J]. Green Chem., 2016,18:2155-2164. doi: 10.1039/C5GC02528A

    20. [20]

      Liu Y.H., Chen Z.H., Wang X.F.. Highly selective and efficient rearrangement of biomass-derived furfural to cyclopentanone over interface-active Ru/carbon nanotubes catalyst in water[J]. ACS Sustain. Chem. Eng., 2017,5:744-751. doi: 10.1021/acssuschemeng.6b02080

    21. [21]

      Yang Y.L., Du Z.T., Huang Y.H.. Conversion of furfural into cyclopentanone over Ni-Cu bimetallic catalysts[J]. Green Chem., 2013,15:1932-1940. doi: 10.1039/c3gc37133f

    22. [22]

      Zhu H.Y., Zhou M.H., Zeng Z., Xiao G.M., Xiao R.. Selective hydrogenation of furfural to cyclopentanone over Cu-Ni-Al hydrotalcite-based catalysts[J]. Korean J. Chem. Eng., 2014,31:593-597. doi: 10.1007/s11814-013-0253-y

    23. [23]

      Wang Y., Sang S.Y., Zhu W., Gao L.J., Xiao G.M.. CuNi@C catalysts with high activity derived from metal-organic frameworks precursor for conversion of furfural to cyclopentanone[J]. Chem. Eng. J., 2016,299:104-111. doi: 10.1016/j.cej.2016.04.068

    24. [24]

      Guo J.H., Xu G.Y., Han Z.. Selective conversion of furfural to cyclopentanone with CuZnAl catalysts[J]. ACS Sustain. Chem. Eng., 2014,2:2259-2266. doi: 10.1021/sc5003566

    25. [25]

      Hronec M., Fulajtarová K., Soták T.. Highly selective rearrangement of furfuryl alcohol to cyclopentanone[J]. Appl. Catal. B:Environ., 2014,154:294-300.  

    26. [26]

      Ohyama J., Kanao R., Ohira Y., Satsuma A.. The effect of heterogeneous acid-base catalysis on conversion of 5-hydroxymethylfurfural into a cyclopentanone derivative[J]. Green Chem., 2016,18:676-680. doi: 10.1039/C5GC01723H

    27. [27]

      Zhou M.H., Zhu H.Y., Niu L., Xiao G.M., Xiao R.. Catalytic hydroprocessing of furfural to cyclopentanol over Ni/CNTs catalysts:model reaction for upgrading of bio-oil[J]. Catal. Lett., 2014,144:235-241. doi: 10.1007/s10562-013-1149-5

    28. [28]

      Zhou M.H., Zeng Z., Zhu H.Y., Xiao G.M., Xiao R.. Aqueous-phase catalytic hydrogenation of furfural to cyclopentanol over Cu-Mg-Al hydrotalcites derived catalysts:model reaction for upgrading of bio-oil[J]. J. Energy Chem., 2014,23:91-96. doi: 10.1016/S2095-4956(14)60109-1

    29. [29]

      Wang Y., Zhou M.H., Wang T.Z., Xiao G.M.. Conversion of furfural to cyclopentanol on Cu/Zn/Al catalysts derived from hydrotalcite-like materials[J]. Catal Lett., 2015,145:1557-1565. doi: 10.1007/s10562-015-1539-y

    30. [30]

      Li X.L., Deng J., Shi J.. Selective conversion of furfural to cyclopentanone or cyclopentanol using different preparation methods of Cu-Co catalysts[J]. Green Chem., 2015,17:1038-1046. doi: 10.1039/C4GC01601G

    31. [31]

      Xua Y., Qiu S.B., Long J.X.. In situ hydrogenation of furfural with additives over a RANEY®Ni catalyst[J]. RSC Adv., 2015,5:91190-91195. doi: 10.1039/C5RA12844G

    32. [32]

      Zhang G., Vasudevan K.V., Scott B.L., Hanson S.K.. Understanding the mechanisms of cobalt-catalyzed hydrogenation and dehydrogenation reactions[J]. J. Am. Chem. Soc., 2013,135:8668-8681. doi: 10.1021/ja402679a

    33. [33]

      Liu X.H., Xu L.J., Xu G.Y.. Selective hydrodeoxygenation of lignin-derived phenols to cyclohexanols or cyclohexanes over magnetic CoNx@NC catalysts under mild conditions[J]. ACS Catal., 2016,6:7611-7620. doi: 10.1021/acscatal.6b01785

    34. [34]

      Conley R.T., Metil I.. An investigation of the structure of furfuryl alcohol polycondensates with infrared spectroscopy[J]. J. Appl. Polym. Sci., 1963,7:37-52. doi: 10.1002/app.1963.070070104

    35. [35]

      Wewerka E.M.. An investigation of the polymerization of furfuryl alcohol with gel permeation chromatography[J]. J. Appl. Polym. Sci., 1968,12:1671-1681. doi: 10.1002/app.1968.070120716

    36. [36]

      Wewerka E.M.. Study of the γ-alumina polymerization of furfuryl alcohol[J]. J. Polym. Sci. Part A:Polym. Chem., 1971,9:2703-2715. doi: 10.1002/pol.1971.150090923

    37. [37]

      Kim T., Assary R.S., Pauls R.E.. Thermodynamics and reaction pathways of furfuryl alcohol oligomer formation[J]. Catal. Commun., 2014,46:66-70. doi: 10.1016/j.catcom.2013.11.030

    38. [38]

      Guigo N., Mija A., Vincent L., Sbirrazzuoli N.. Chemorheological analysis and model-free kinetics of acid catalysed furfuryl alcohol polymerization[J]. Phys. Chem. Chem. Phys., 2007,9:5359-5366. doi: 10.1039/b707950h

    39. [39]

      Lee J., Burt S.P., Carrero C.A.. Stabilizing cobalt catalysts for aqueousphase reactions by strongmetal-support interaction[J]. J. Catal., 2015,330:19-27. doi: 10.1016/j.jcat.2015.07.003

    40. [40]

      Kumar P., Srivastava V.C., Mishra I.M.. Dimethyl carbonate synthesis from propylene carbonate with methanol using Cu-Zn-Al catalyst[J]. Energy Fuels, 2015,29:2664-2675. doi: 10.1021/ef502856z

    41. [41]

      de Souza P.M., Rabelo-Neto R.C., Borges L.E.. Effect of zirconia morphology on hydrodeoxygenation of phenol over Pd/ZrO2[J]. ACS Catal., 2015,5:7385-7398. doi: 10.1021/acscatal.5b01501

    42. [42]

      Bandura A.V., Lvov S.N.. The ionization constant of water over wide ranges of temperature and density[J]. J. Phys. Chem. Ref. Data, 2006,35:15-30. doi: 10.1063/1.1928231

    43. [43]

      Xia S.Q., Li Y., Shang Q.Y., Zhang C.W., Ma P.S.. Liquid-phase catalytic hydrogenation of furfural in variable solvent media[J]. Trans. Tianjin Univ., 2016,22:202-210. doi: 10.1007/s12209-016-2804-x

    44. [44]

      Choura M., Belgacem N.M., Gandini A.. Acid-catalyzed polycondensation of furfuryl alcohol:mechanisms of chromophore formation and cross-linking[J]. Macromolecules, 1996,29:3839-3850. doi: 10.1021/ma951522f

    45. [45]

      Hronec M., Fulajtárova K., Mičušik M.. Influence of furanic polymers on selectivity of furfural rearrangement to cyclopentanone[J]. Appl. Catal. A:Gen., 2013,468:426-431. doi: 10.1016/j.apcata.2013.08.052

    46. [46]

      Zhang X.H., Wang T.J., Ma L.L., Wu C.Z.. Aqueous-phase catalytic process for production of pentane from furfural over nickel-based catalysts[J]. Fuel, 2010,89:2697-2702. doi: 10.1016/j.fuel.2010.05.043

  • 加载中
    1. [1]

      Jieshuai XiaoYuan ZhengYue ZhaoZhuangzhi ShiMinyan Wang . Asymmetric Nozaki-Hiyama-Kishi (NHK)-type reaction of isatins with aromatic iodides by cobalt catalysis. Chinese Chemical Letters, 2025, 36(5): 110243-. doi: 10.1016/j.cclet.2024.110243

    2. [2]

      Peng GuoShicheng DongXiang-Gui ZhangBing-Bin YangJun ZhuKe-Yin Ye . Cobalt-catalyzed migratory carbon-carbon cross-coupling of borabicyclo[3.3.1]nonane (9-BBN) borates. Chinese Chemical Letters, 2025, 36(4): 110052-. doi: 10.1016/j.cclet.2024.110052

    3. [3]

      Lingyun ShenShenxiang YinQingshu ZhengZheming SunWei WangTao Tu . A rechargeable and portable hydrogen storage system grounded on soda water. Chinese Chemical Letters, 2025, 36(3): 110580-. doi: 10.1016/j.cclet.2024.110580

    4. [4]

      Zunjie ZhangMengran LiuBingcheng GeTianfang YangShuaitong WangYang LiuShuyan GaoIn-situ reconstructed Cu/NiO nanosheets synergistically boosting nitrate electroreduction to ammonia. Chinese Chemical Letters, 2025, 36(8): 110657-. doi: 10.1016/j.cclet.2024.110657

    5. [5]

      Minghui ZhangNa ZhangQian ZhaoChao WangAlexander SteinerJianliang XiaoWeijun Tang . Cobalt pincer complex-catalyzed highly enantioselective hydrogenation of quinoxalines. Chinese Chemical Letters, 2025, 36(4): 110081-. doi: 10.1016/j.cclet.2024.110081

    6. [6]

      Hailian TangSiyuan ChenQiaoyun LiuGuoyi BaiBotao QiaoLiu Fei . Stabilized Rh/hydroxyapatite Catalyst for Furfuryl Alcohol Hydrogenation: Application of Oxidative Strong Metal-Support Interactions in Reducing Conditions. Acta Physico-Chimica Sinica, 2025, 41(4): 100036-0. doi: 10.3866/PKU.WHXB202408004

    7. [7]

      Ming HuangXiuju CaiYan LiuZhuofeng Ke . Base-controlled NHC-Ru-catalyzed transfer hydrogenation and α-methylation/transfer hydrogenation of ketones using methanol. Chinese Chemical Letters, 2024, 35(7): 109323-. doi: 10.1016/j.cclet.2023.109323

    8. [8]

      Rui HUANGShengjie LIUQingyuan WUNanfeng ZHENG . Enhanced selectivity of catalytic hydrogenation of halogenated nitroaromatics by interfacial effects. Chinese Journal of Inorganic Chemistry, 2025, 41(1): 201-212. doi: 10.11862/CJIC.20240356

    9. [9]

      Mengjun Zhao Yuhao Guo Na Li Tingjiang Yan . Deciphering the structural evolution and real active ingredients of iron oxides in photocatalytic CO2 hydrogenation. Chinese Journal of Structural Chemistry, 2024, 43(8): 100348-100348. doi: 10.1016/j.cjsc.2024.100348

    10. [10]

      Shaoming DongYiming NiuYinghui PuYongzhao WangBingsen Zhang . Subsurface carbon modification of Ni-Ga for improved selectivity in acetylene hydrogenation reaction. Chinese Chemical Letters, 2024, 35(12): 109525-. doi: 10.1016/j.cclet.2024.109525

    11. [11]

      Jinyuan Cui Tingting Yang Teng Xu Jin Lin Kunlong Liu Pengxin Liu . Hydrogen spillover enhances the selective hydrogenation of α,β-unsaturated aldehydes on the Cu-O-Ce interface. Chinese Journal of Structural Chemistry, 2025, 44(1): 100438-100438. doi: 10.1016/j.cjsc.2024.100438

    12. [12]

      Sanmei WangDengxin YanWenhua ZhangLiangbing Wang . Graphene-supported isolated platinum atoms and platinum dimers for CO2 hydrogenation: Catalytic activity and selectivity variations. Chinese Chemical Letters, 2025, 36(4): 110611-. doi: 10.1016/j.cclet.2024.110611

    13. [13]

      Danfeng ZhaoJing LinRushuo LiLiang ChuZhaokun WangXiubing HuangGe Wang . Constructing frustrated Lewis pairs on porous Ce-based metal-organic frameworks with improved dicyclopentadiene hydrogenation activity. Chinese Chemical Letters, 2025, 36(7): 110172-. doi: 10.1016/j.cclet.2024.110172

    14. [14]

      Jiaxuan YANGChenfa DENGJingyang LIUChenzexi XUHongxin CHENYahui ZHUYing LIShuhua WANGRongping ZHOUChao CHEN . Advances in selective hydrogenation of α, β-unsaturated aldehydes/ketones catalyzed by metal-organic frameworks and their derivatives: A review. Chinese Journal of Inorganic Chemistry, 2025, 41(10): 1973-2010. doi: 10.11862/CJIC.20250175

    15. [15]

      Huihua GONGTianhua CUILi JIJichuan ZHANGLiyuan ZHANGYan CHENZhenye WANGJiaqi XURuixiang LI . Hydrogenation of CO2 to formate catalyzed by N-heterocyclic carbene-nitrogen-phosphine chelated iridium(Ⅰ) complexes. Chinese Journal of Inorganic Chemistry, 2025, 41(12): 2609-2620. doi: 10.11862/CJIC.20250170

    16. [16]

      Yuanjin ChenXianghui ShiDajiang HuangJunnian WeiZhenfeng Xi . Synthesis and reactivity of cobalt dinitrogen complex supported by nonsymmetrical pincer ligand. Chinese Chemical Letters, 2024, 35(7): 109292-. doi: 10.1016/j.cclet.2023.109292

    17. [17]

      Jiayi GuoLiangxiong LingQinwei LuYi ZhouXubiao LuoYanbo Zhou . Degradation of chloroxylenol by CoSx activated peroxomonosulfate: Role of cobalt-sulfur ratio. Chinese Chemical Letters, 2025, 36(4): 110380-. doi: 10.1016/j.cclet.2024.110380

    18. [18]

      Jun-Jie Fang Yun-Peng Xie Xing Lu . Organooxotin and cobalt/manganese heterometallic nanoclusters exhibiting single-molecule magnetism. Chinese Journal of Structural Chemistry, 2025, 44(4): 100515-100515. doi: 10.1016/j.cjsc.2025.100515

    19. [19]

      Qing LiFangyu FuMengyun ZhaoYeqin FengManzhou ChiZichen ZhaoHongjin LvGuo-Yu Yang . Asymmetrically anchoring silver alkynyl cluster to the cobalt-containing polyoxometalate. Chinese Chemical Letters, 2025, 36(7): 110090-. doi: 10.1016/j.cclet.2024.110090

    20. [20]

      Yiming GuoZhouhong YuBin HePengzuo Chen . Metallic cobalt mediated molybdenum nitride for efficient glycerol upgrading with water electrolysis. Chinese Chemical Letters, 2025, 36(9): 111010-. doi: 10.1016/j.cclet.2025.111010

Metrics
  • PDF Downloads(5)
  • Abstract views(1459)
  • HTML views(49)

通讯作者: 陈斌, bchen63@163.com
  • 1. 

    沈阳化工大学材料科学与工程学院 沈阳 110142

  1. 本站搜索
  2. 百度学术搜索
  3. 万方数据库搜索
  4. CNKI搜索
Address:Zhongguancun North First Street 2,100190 Beijing, PR China Tel: +86-010-82449177-888
Powered By info@rhhz.net

/

DownLoad:  Full-Size Img  PowerPoint
Return