Citation:
. Facile synthesis of CF3-substituted dienamides via one-pot tandem reactions[J]. Chinese Chemical Letters,
;2017, 28(7): 1469-1472.
doi:
10.1016/j.cclet.2017.02.017
-
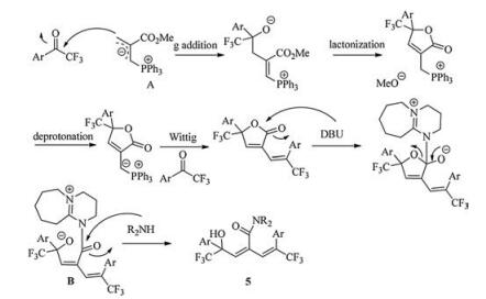
A one-pot reaction sequence of sequential phosphine-promoted tandem annulations of aryl trifluoromethyl ketones and MBH (Morita-Baylis-Hillman) carbonates and DBU-mediated aminolysis was developed. This method provides a step-economical approach to trifluoromethylated dienamides with diverse structural complexity from readily available starting materials in moderate yields.
-
-
-
-
[1]
Yu Pang , Min Wang , Ning-Hua Yang , Min Xue , Yong Yang . One-pot synthesis of a giant twisted double-layer chiral macrocycle via [4 + 8] imine condensation and its X-ray structure. Chinese Chemical Letters, 2024, 35(10): 109575-. doi: 10.1016/j.cclet.2024.109575
-
[2]
Min Fu , Ruihan Wang , Wenqiang Liu , Sen Zhou , Chunhong Zhong , Yaohao Li , Pan He , Xin Li , Shiying Shang , Zhongping Tan . Improved one-pot protein synthesis enabled by a more precise assessment of peptide arylthioester reactivity. Chinese Chemical Letters, 2025, 36(7): 110542-. doi: 10.1016/j.cclet.2024.110542
-
[3]
Chun-Ying Xu , Xiao-Lin Luan , Yuan-Yuan Cui , Cheng-Xiong Yang . One-pot in situ doping synthesis of phenylboronic acid-functionalized magnetic-cyclodextrin microporous organic network for specific enrichment and detection of sulfonylurea herbicides. Chinese Chemical Letters, 2025, 36(9): 110937-. doi: 10.1016/j.cclet.2025.110937
-
[4]
Ren Shen , Yanmei Fang , Chunxiao Yang , Quande Wei , Pui-In Mak , Rui P. Martins , Yanwei Jia . UV-assisted ratiometric fluorescence sensor for one-pot visual detection of Salmonella. Chinese Chemical Letters, 2025, 36(4): 110143-. doi: 10.1016/j.cclet.2024.110143
-
[5]
Mengxing Liu , Jing Liu , Hongxing Zhang , Jianan Tao , Peiwen Fan , Xin Lv , Wei Guo . One-pot accessing of meso–aryl heptamethine indocyanine NIR fluorophores and potential application in developing dye-antibody conjugate for imaging tumor. Chinese Chemical Letters, 2025, 36(4): 109994-. doi: 10.1016/j.cclet.2024.109994
-
[6]
Ze-Hong Zheng , Mu-Qiu Chen , Jin Zhou , Jie Wang , Yan-Rong Wei , Cheng Peng , Gu Zhan , Qian-Qian Yang , Bo Han . Diverse synthesis of bridged bicyclo[3.2.1]octa-2,6-diene and tricyclo[3.2.1.02,7]oct-3-ene frameworks via stepwise cascade reactions. Chinese Chemical Letters, 2025, 36(12): 111202-. doi: 10.1016/j.cclet.2025.111202
-
[7]
Xiao-Ya Yuan , Cong-Cong Wang , Bing Yu . Recent advances in FeCl3-photocatalyzed organic reactions via hydrogen-atom transfer. Chinese Chemical Letters, 2024, 35(9): 109517-. doi: 10.1016/j.cclet.2024.109517
-
[8]
Xingang Kong , Yabei Su , Cuijuan Xing , Weijie Cheng , Jianfeng Huang , Lifeng Zhang , Haibo Ouyang , Qi Feng . Facile synthesis of porous TiO2/SnO2 nanocomposite as lithium ion battery anode with enhanced cycling stability via nanoconfinement effect. Chinese Chemical Letters, 2024, 35(11): 109428-. doi: 10.1016/j.cclet.2023.109428
-
[9]
Jindian Duan , Xiaojuan Ding , Pui Ying Choy , Binyan Xu , Luchao Li , Hong Qin , Zheng Fang , Fuk Yee Kwong , Kai Guo . Oxidative spirolactonisation for modular access of γ-spirolactones via a radical tandem annulation pathway. Chinese Chemical Letters, 2024, 35(10): 109565-. doi: 10.1016/j.cclet.2024.109565
-
[10]
Qiuting Zhang , Fan Wu , Jin Liu , Hang Su , Yanhui Zhong , Zian Lin . Facile synthesis of single-crystal 3D covalent organic frameworks as stationary phases for high-performance liquid chromatographic separation. Chinese Chemical Letters, 2025, 36(8): 110649-. doi: 10.1016/j.cclet.2024.110649
-
[11]
Mei Peng , Wei-Min He . Photochemical synthesis and group transfer reactions of azoxy compounds. Chinese Chemical Letters, 2024, 35(8): 109899-. doi: 10.1016/j.cclet.2024.109899
-
[12]
Ao Sun , Zipeng Li , Shuchun Li , Xiangbao Meng , Zhongtang Li , Zhongjun Li . Stereoselective synthesis of α-3-deoxy-D-manno-oct-2-ulosonic acid (α-Kdo) derivatives using a C3-p-tolylthio-substituted Kdo fluoride donor. Chinese Chemical Letters, 2025, 36(3): 109972-. doi: 10.1016/j.cclet.2024.109972
-
[13]
Shengkai Li , Yuqin Zou , Chen Chen , Shuangyin Wang , Zhao-Qing Liu . Defect engineered electrocatalysts for C–N coupling reactions toward urea synthesis. Chinese Chemical Letters, 2024, 35(8): 109147-. doi: 10.1016/j.cclet.2023.109147
-
[14]
Xiaoxue Li , Hongwei Zhou , Rongrong Qian , Xu Zhang , Lei Yu . A concise synthesis of Se/Fe materials for catalytic oxidation reactions of anthracene and polyene. Chinese Chemical Letters, 2025, 36(3): 110036-. doi: 10.1016/j.cclet.2024.110036
-
[15]
Tao Zhou , Jing Zhou , Yunyun Liu , Jie-Ping Wan , Fen-Er Chen . Transition metal-free tunable synthesis of 3-(trifluoromethylthio) and 3-trifluoromethylsulfinyl chromones via domino C–H functionalization and chromone annulation of enaminones. Chinese Chemical Letters, 2024, 35(11): 109683-. doi: 10.1016/j.cclet.2024.109683
-
[16]
Bo Yang , Pu-An Lin , Tingwei Zhou , Xiaojia Zheng , Bing Cai , Wen-Hua Zhang . Facile surface regulation for highly efficient and thermally stable perovskite solar cells via chlormequat chloride. Chinese Chemical Letters, 2024, 35(10): 109425-. doi: 10.1016/j.cclet.2023.109425
-
[17]
Rui Cheng , Tingting Zhang , Xin Huang , Jian Yu . Facile synthesis of high-brightness green-emitting carbon dots with narrow bandwidth towards backlight display. Chinese Chemical Letters, 2024, 35(5): 108763-. doi: 10.1016/j.cclet.2023.108763
-
[18]
Zhen Zhang , Xue-ling Chen , Xiu-Mei Xie , Tian-Yu Gao , Jing Qin , Jun-Jie Li , Chao Feng , Da-Gang Yu . Iron-promoted carbonylation–rearrangement of α-aminoaryl-tethered alkylidenecyclopropanes with CO2: Facile synthesis of quinolinofurans. Chinese Chemical Letters, 2025, 36(4): 110056-. doi: 10.1016/j.cclet.2024.110056
-
[19]
Renyuan Wang , Lei Ke , Houxiang Wang , Yueheng Tao , Yujie Cui , Peipei Zhang , Minjie Shi , Xingbin Yan . Facile synthesis of phenazine-conjugated polymer material with extraordinary proton-storage redox capability. Chinese Chemical Letters, 2025, 36(5): 109920-. doi: 10.1016/j.cclet.2024.109920
-
[20]
Yuetong Gao , Tong Mu , Xinyue Hu , Yang Pang , Chengji Zhao . Facile synthesis of all-carbon fluorinated backbone polymers containing sulfide linkage as proton exchange membranes for fuel cells. Chinese Chemical Letters, 2025, 36(6): 110763-. doi: 10.1016/j.cclet.2024.110763
-
[1]
Metrics
- PDF Downloads(1)
- Abstract views(1124)
- HTML views(27)
Login In
DownLoad: