Citation: Yadavalli Suneel Kumar, Fazlur-Rahman Nawaz Khan. Chemo-selective Suzuki-Miyaura reactions: Synthesis of highly substituted [1, 6]-naphthyridines[J]. Chinese Chemical Letters, ;2017, 28(7): 1607-1612. doi: 10.1016/j.cclet.2017.02.007 shu

Chemo-selective Suzuki-Miyaura reactions: Synthesis of highly substituted [1, 6]-naphthyridines

  • Corresponding author: Fazlur-Rahman Nawaz Khan, nawazvit@gmail.com; nawaz_f@yahoo.co.in
  • Received Date: 20 November 2016
    Revised Date: 19 January 2017
    Accepted Date: 13 February 2017
    Available Online: 16 July 2017

Figures(4)

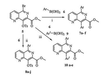
  • The Suzuki-Miyaura reaction of methyl-5-bromo-8-(tosyloxy)-1, 6-naphthyridine-7-carboxylate (5), with 2 equiv. of arylboronic acids gave diarylated product, 5, 8-diaryl-1, 6-naphthyridine-7-carboxylate (7), whereas 1 equiv. of arylboronic acid resulted in site-selective formation of 5-aryl-8-(tosyloxy)-1, 6-naphthyridine-7-carboxylate (8). The reactions proceeded with excellent chemo-selectivity in favor of the bromide group. Likewise, one-pot reaction with completely different boronic acids by sequential addition produced 1, 6-naphthyridine-7-carboxylates, (10) containing two different aryl groups at 5 and 8 positions.
  • 加载中
    1. [1]

      (a) S. Aoki, H. Wei, K. Matsui, R. Rachmat, M. Kobayashi, Pyridoacridine alkaloids inducing Neuronal differention in a neuroblastoma cell line, from marine sponge biemna fortis, Bioorg. Med. Chem. 11(2003) 1969-1973.

    2. [2]

      (a) T. Suresh, T. Dhanabal, R. Nandha Kumar, P. S. Mohan, Synthesis, characterization and antimicrobial activities of fused 1, 6-naphthyridines, Indian J. Chem. 44(2005) 2375-2379. 

    3. [3]

      Austin N.E., Hadley M.S., Harling J.D.. The design of 8, 8-dimethyl [1, 6] naphthyridines as potential anticonvulsant agents[J]. Bioorg. Med. Chem. Lett., 2003,13:1627-1629. doi: 10.1016/S0960-894X(03)00288-9

    4. [4]

      Falardeau G., Lachance H., Pierre A. St. Design and synthesis of a potent macrocyclic 1, 6-naphthyridine anti-human cytomegalovirus (HCMV) inhibitors[J]. Bioorg. Med. Chem. Lett., 2005,15:1693-1695. doi: 10.1016/j.bmcl.2005.01.050

    5. [5]

      Ruchelman A.L., Singh S.K., Ray A.. 5H-dibenzo[c, h]naphthyridine-6-ones: novel topoisomerase I-targeting anticancer agents with potent cytotoxic activity[J]. Bioorg. Med. Chem., 2003,11:2061-2073. doi: 10.1016/S0968-0896(03)00051-8

    6. [6]

      (a) K. Ramkumar, E. Serrao, S. Odde, N. Neamati, HIV-1 integrase inhibitors, 2007-2008 update, Med. Res. Rev. 30(2010) 890-954. 

    7. [7]

      (a) J. M. Schaus, D. C. Thompson, W. E. Bloomquist, et al. , Synthesis and structure-activity-relationships of potent and orally-active 5-HT4 receptor antagonists-indazole and benzimidazolone derivatives, J. Med. Chem. 41(1998) 1943-1955. 

    8. [8]

      (a) R. B. Toche, B. P. Pagar, R. R. Zoman, G. B. Shinde, M. N. Jachak, Synthesis of novel benzo[h][1, 6] naphthyridine derivatives from 4-aminoquinoline and cyclic b-ketoester, Tetrahedron 66(2010) 5204-5211. 

    9. [9]

      Mukhopadhyay C., Das P., Butcher R.J.. An expeditious and efficient synthesis of highly functionalized [1, 6]-naphthyridines under catalyst-free conditions in aqueous medium[J]. Org. Lett., 2011,13:4664-4667. doi: 10.1021/ol201877v

    10. [10]

      Zhou Y., Porco J.A., Snyder J.K.. Synthesis of 5, 6, 7, 8-tetrahydro-1, 6-naphthyridines and related heterocycles by cobalt-catalyzed [2+2+2] cyclizations[J]. Org. Lett., 2007,9:393-396. doi: 10.1021/ol0625280

    11. [11]

      (a) L. W. Deady, T. Rodemann, The reaction of homophthalic acid and some aza analogues with vilsmeier reagent: a reinvestigation, J. Heterocycl. Chem. 38(2001) 1185-1190. 

    12. [12]

      Singh R.M., Kumar R., Sharma N., Asthana M.. Palladium-catalyzed one-pot synthesis of benzo[b][1, 6]naphthyridines via Sonogashira coupling and annulation reactions from 2-chloroquinoline-3-carbonitriles[J]. Tetrahedron, 2013,69:9443-9450. doi: 10.1016/j.tet.2013.08.072

    13. [13]

      Ali I., Hassan Z., Martin H.. Regioselective Pd(0)-catalysed cross-coupling reactions of 5, 7-dichloro-1, 6-naphthyridine[J]. Synthesis, 2012,44:2255-2263. doi: 10.1055/s-00000084

    14. [14]

      Vanlaer S., Voet A., Gielens C., Maeyer M.D., Compernolle F.. Bridged 5, 6, 7, 8-tetrahydro -1, 6-naphthyridines, analogues of huperzine A: synthesis, modelling studies and evaluation as inhibitors of acetylcholinesterase[J]. Eur. J. Org. Chem., 2009:643-654.  

    15. [15]

      Zhang Q., Shi C., Zhang H.R., Wang K.K.. Synthesis of 6H-indolo[2, 3-b][1, 6] naphthyridines and related compounds as the 5-aza analogues of ellipticine alkaloids[J]. J. Org. Chem., 2000,65:7977-7983. doi: 10.1021/jo000978e

    16. [16]

      Suzuki H., Sakai N., Iwahara R.. Novel synthesis of 7-fluoro-8-(trifluoromethyl)-1H-1, 6-naphthyridin-4-one derivatives: intermolecular cyclization of an N-silyl-1-azaallyl anion with perfluoroalkene and subsequent intramolecular skeletal transformation of the resulting pentasubstituted pyridines[J]. J. Org. Chem., 2007,72:5878-5881. doi: 10.1021/jo070564m

    17. [17]

      Zhou Y., Porco J.A., Snyder J.K.. Synthesis of 5, 6, 7, 8-tetrahydro-1, 6-napthyridines and related heterocycles by cobalt-catalyzed [2+2+2] cyclizations[J]. Org. Lett., 2007,9:393-396. doi: 10.1021/ol0625280

    18. [18]

      Colandrea V.J., Naylor E.M.. Synthesis and regioselective alkylation of 1, 6-and 1, 7-naphthyridines[J]. Tetrahedron Lett., 2000,41:8053-8057. doi: 10.1016/S0040-4039(00)01400-3

    19. [19]

      Chandra A., Singh B., Upadhyay S., Singh R.M.. Copper-free Sonogashira coupling of 2-chloroquinolines with phenyl acetylene and quick annulation to benzo[b][1, 6]naphthyridine derivatives in aqueous ammonia[J]. Tetrahedron, 2008,64:11680-11685. doi: 10.1016/j.tet.2008.10.010

    20. [20]

      Sabitha G., Venkata Reddy E.R., Maruthi C., Yadav J.S.. Bismuth(Ⅲ) chloridecatalysed intramolecular hetero-Diels-Alder reactions: a novel synthesis of hexahydrodibenzo[b, h][1, 6]naphthyridines[J]. Tetrahedron Lett., 2002,43:1573-1575. doi: 10.1016/S0040-4039(02)00018-7

    21. [21]

      Turner J.A.. A general approach to the synthesis of 1, 6-, 1, 7-, and 1, 8-naphthyridines[J]. J. Org. Chem., 1990,55:4744-4750. doi: 10.1021/jo00302a049

    22. [22]

      Février F.C., Smith E.D., Comins D.L.. Regioselective C-2 and C-6 substitution of (S)-nicotine and nicotine derivatives[J]. Org. Lett., 2005,7:5457-5460. doi: 10.1021/ol052196j

    23. [23]

      Arterburn J.B., Rao K.V., Ramdas R., Dible B.R.. Catalytic amination of 2-substituted pyridines with hydrazine[J]. Org. Lett., 2001,3:1351-1354. doi: 10.1021/ol015731y

    24. [24]

      Ji J., Li T., Bunnelle W.H.. Selective amination of polyhalopyridines catalyzed by a palladium xantphos complex[J]. Org. Lett., 2003,5:4611-4614. doi: 10.1021/ol0357696

    25. [25]

      Jiang W., Guan J., Macielag M.J.. Pyrroloquinolone PDE5 inhibitors with improved pharmaceutical profiles for clinical studies on erectile dysfunction[J]. J. Med. Chem., 2005,48:2126-2133. doi: 10.1021/jm0401098

    26. [26]

      Zhang H., Cai Q., Ma D.J.. Amino acid promoted CuI-catalysed C N bond formation between aryl halides and amines or N-containg heterocycles[J]. J. Org. Chem., 2005,70:5164-5173. doi: 10.1021/jo0504464

    27. [27]

      Sandee A.J., Williams C.K., Evans N.R.. Solution-processible conjugated electrophosphorescent polymers[J]. J. Am. Chem. Soc., 2004,126:7041-7048. doi: 10.1021/ja039445o

    28. [28]

      Fang Y.Q., Hanan G.S.. Rapid and efficient synthesis of functionalized bipyridines[J]. Synlett, 2003:852-854.  

    29. [29]

      Nakano Y., Ishizuka K., Muraoka K.. Synthesis of conjugated oligomers having aromatic and enediyne unites alternately in the backbone that shows intense fluorescence Emission[J]. Org. Lett., 2004,6:2373-2376. doi: 10.1021/ol049277k

    30. [30]

      Hartner F.W., Hsiao Y., Eng K.K.. Methods for the synthesis of 5, 6, 7, 8-tetrahydro-1, 8-naphthyridine fragments for αvß3 integrin antagonists[J]. J. Org. Chem., 2004,69:8723-8730. doi: 10.1021/jo0486950

    31. [31]

      Bonnet V., Mongin F., Trecourt F., Queguiner G., Knochel P.. Syntheses of substituted pyridines, quinolines and diazines via palladium-catalysed crosscoupling of aryl Grignard reagents[J]. Tetrahedron, 2002,58:4429-4438. doi: 10.1016/S0040-4020(02)00411-8

    32. [32]

      Handy S.T., Wilson T., Muth A.. Disubstituted pyridines: The double coupling approach[J]. J. Org. Chem., 2007,72:8496-8500. doi: 10.1021/jo701709a

    33. [33]

      Sicre C., Alonso-Gómez J.L., Cid M.M.. Regioselectivity in alkenyl(aryl)-heteroaryl Suzuki cross-coupling reactions of 2. 4-dibromopyridine. A synthetic and mechanistic study[J]. Tetrahedron, 2006,62:11063-11072. doi: 10.1016/j.tet.2006.09.040

    34. [34]

      García-Lago R., Alonso-Gómez J.L., Sicre C., Cid M.M.. Synthesis of 2, 4-dibromopyridine and 4, 4'-dibromo-2. 2'-dipyridine. Efficient usage in selective bromine-substitution under palladium catalyst[J]. Heterocycles, 2008,75:57-64. doi: 10.3987/COM-07-11170

    35. [35]

      Nolan J.M., Comins D.L.. Regioselective Sonogashira couplings of 2. 4-dibromoquinolines. A correction[J]. J. Org. Chem., 2003,68:3736-3738. doi: 10.1021/jo034122w

    36. [36]

      Comins D.L., Nolan J.M., Bori I.D.. Regioselective lithium-halogen exchange and palladium-catalysed cross coupling reactions of 2, 4-dihalaquinolines[J]. Tetrahedron Lett., 2005,46:6697-6699. doi: 10.1016/j.tetlet.2005.07.137

    37. [37]

      Beletskaya P., Tsvetkov A.V., Latyshev G.V., Lukashev N.V.. Successive replacement of halogen atoms in 4, 6-dihaloquinolines in cross-coupling reactions with arylboronic acids catalyzed by palladium and nickel complexes[J]. Russ. J. Org. Chem., 2003,39:1660-1667. doi: 10.1023/B:RUJO.0000013144.15578.2d

    38. [38]

      Piala A., Mayi D., Handy S.T.. Studies of one-pot double coupling on bidromoquinolines[J]. Tetrahedron, 2011,67:4147-4154. doi: 10.1016/j.tet.2011.04.052

    39. [39]

      Littke A.F., Dai C.Y., Fu G.C.. Versatile catalysts for the suzuki cross-coupling of arylboronic acids with aryl and vinyl halides and triflates under mild conditions[J]. J. Am. Chem. Soc., 2000,122:4020-4028. doi: 10.1021/ja0002058

    40. [40]

      Roy A.H., Hartwig J.F.. Oxidative addition of aryl sulfonates to palladium (0) complexes of mono-and bidentate phosphines.Mild addition of sryl tosylates and the effects of anions on rate and mechanisum[J]. Organometallics, 2004,23:194-202. doi: 10.1021/om034187p

    41. [41]

      Espinet P., Echavarren A.M.. The mechanisum of the stille reaction[J]. Angew. Chem. Int. Ed, 2004,43:4704-4734.  

    42. [42]

      Espino G., Kurbangalieva A., Brown J.M.. Aryl bromide/triflate selectivities reveal mechanistic divergence in palladium-catalysed couplings; the Suzuki-Miyaura anomaly[J]. Chem. Commun., 2007:1742-1744.  

    43. [43]

      Eleya N., Mahal A., Hein M., Villinger A., Langer P.. Synthesis of srylated quinolines by chemo-and site-selective suzuki-Miyaura reactions of 5, 7-dibromo-8-(trifluoromethanesulfonyloxy)quinoline[J]. Adv. Synth. Catal., 2011,353:2761-2774. doi: 10.1002/adsc.v353.14/15

    44. [44]

      Hassan Z., Hussain M., Villinger A., Langer P.. Synthesis of aryl-substituted naphthalenes by chemoselective Suzuki-Miyaura reactions of bromotrifluoromethanesulfonyloxy-naphthalenes[J]. Influence of steric and elecronic parameters, Tetrahedron, 2012,68:6305-6313.  

    45. [45]

      Suneel Kumar Y., Dasaradhan C., Prabakaran K.. A convenient and efficient C-OH bond activation, PdCl2(PPh3)2, catalysed, C-C bond formation of tautomerizable quinolines with the aid of BOP reagent and boronic acids[J]. RSC Adv., 2014,4:40259-40286. doi: 10.1039/C4RA05161K

    46. [46]

      Prabakaran K., Nawaz Khan F., Jin J.S.. An efficient copper-free Pd(OAc)2/ Ruphos-catalyzed Sonogashira coupling of 1-chloroisoquinolines in the formation of 1-alkynyl-3-substituted isoquinolines[J]. Tetrahedron Lett., 2011,52:2566-2570. doi: 10.1016/j.tetlet.2011.03.040

    47. [47]

      Prabakaran K., Manivel P., Nawaz Khan F.. An effective BINAP and microwave accelerated palladium-catalyzed amination of 1-chloroisoquinolines in the synthesis of new 1, 3-disubstituted isoquinolines[J]. Tetrahedron Lett., 2010,51:4340-4343. doi: 10.1016/j.tetlet.2010.06.045

    48. [48]

      (a) C. Dasaradhan, Y. Suneel Kumar, F. R. Nawaz Khan, E. D. Jeong, E. H. Chung, Efficient copper free Pd(OAc)2/Ruphos-catalysed Sonogashira coupling in the preparation of 3'-hydroxycorfin and gymnopalynes A analogues, Tetrahedron Lett. 56(2015) 187-1191.

    49. [49]

      (a) C. Dasaradhan, Y. Suneel Kumar, K. Prabakaran, et al. , Efficient and convenient copper-free Pd(OAc)2/Ruphos-catalyzed Sonogashira coupling in the preparation of corfin analogues, Tetrahedron Lett. 56(2015) 784-788;
      (b) Y. Isogai, F. Nawaz Khan, N. Asao, CuX2-mediated [4+2] benzannulation as a new synthetic tool for stereoselective construction of haloaromatic compounds, Tetrahedron 65(2009) 9575-9582.

    50. [50]

      Suneel Kumar Y., Dasaradhan C., Prabakaran K.. Palladium catalysed Suzuki Miyaura cross coupling of 3-chloroisocromen-1-one: synthesis of glomellin and reticulol analogues[J]. Tetrahedron Lett., 2015,56:941-945. doi: 10.1016/j.tetlet.2014.12.114

    51. [51]

      Zeng L.F., Wang Y., Kazemi R.. Repositioning HIV-1 integrase inhibitors for cancer therapeutics: 1, 6-naphthyridine-7-carboxamide as a promising scaffold with drug-like properties[J]. J. Med. Chem., 2012,55:9492-9509. doi: 10.1021/jm300667v

  • 加载中
    1. [1]

      Hao SunShengke LiQian LiuMinzan ZuoXueqi TianKaiya WangXiao-Yu Hu . Supramolecular prodrug vesicles for selective antimicrobial therapy employing a chemo-photodynamic strategy. Chinese Chemical Letters, 2025, 36(3): 109999-. doi: 10.1016/j.cclet.2024.109999

    2. [2]

      Yuanyuan ZhaoZhiming ZhuLiang LiBingyao ShiZiyang LiYuyang HuangLijun JiangChao Shu . Photoinduced site-selective thiosulfinylation of alkynols for the synthesis of oxathiolene oxides. Chinese Chemical Letters, 2025, 36(10): 110900-. doi: 10.1016/j.cclet.2025.110900

    3. [3]

      Xuan LiuQing Li . Tailoring interatomic active sites for highly selective electrocatalytic biomass conversion reaction. Chinese Chemical Letters, 2025, 36(4): 110670-. doi: 10.1016/j.cclet.2024.110670

    4. [4]

      Jian LiJinjin ChenQi-Long HuZhen WangXiao-Feng Xiong . Recent progress of chemical methods for lysine site-selective modification of peptides and proteins. Chinese Chemical Letters, 2025, 36(5): 110126-. doi: 10.1016/j.cclet.2024.110126

    5. [5]

      Hua TianXin YangGe ShiHeng XuYi Dong . Rhodium-catalyzed site-selective cross-couplings of indoles and pyridotriazoles through carbene insertion. Chinese Chemical Letters, 2025, 36(7): 110434-. doi: 10.1016/j.cclet.2024.110434

    6. [6]

      Yingxiao GaoFeng FengTing LuoYusong HanMingxuan Wu . Development of site-selective photo crosslinking between tyrosine and sulfonium in methyllysine readers. Chinese Chemical Letters, 2025, 36(10): 110756-. doi: 10.1016/j.cclet.2024.110756

    7. [7]

      Junjun HuangRan ChenYajian HuangHang ZhangAnran ZhengQing XiaoDan WuRuxia DuanZhi ZhouFei HeWei Yi . Discovery of an enantiopure N-[2-hydroxy-3-phenyl piperazine propyl]-aromatic carboxamide derivative as highly selective α1D/1A-adrenoceptor antagonist and homology modelling. Chinese Chemical Letters, 2024, 35(11): 109594-. doi: 10.1016/j.cclet.2024.109594

    8. [8]

      Kezhen QiShu-yuan LiuRuchun Li . Selective dissolution for stabilizing solid electrolyte interphase. Chinese Chemical Letters, 2024, 35(5): 109460-. doi: 10.1016/j.cclet.2023.109460

    9. [9]

      Cheng-Da ZhaoHuan YaoShi-Yao LiFangfang DuLi-Li WangLiu-Pan Yang . Amide naphthotubes: Biomimetic macrocycles for selective molecular recognition. Chinese Chemical Letters, 2024, 35(4): 108879-. doi: 10.1016/j.cclet.2023.108879

    10. [10]

      Jiaqi JiaKathiravan MurugesanChen ZhuHuifeng YueShao-Chi LeeMagnus Rueping . Multiphoton photoredox catalysis enables selective hydrodefluorinations. Chinese Chemical Letters, 2025, 36(2): 109866-. doi: 10.1016/j.cclet.2024.109866

    11. [11]

      Xinyu HuBo SongShukai SongQinghui LingBangkun YueLianrui HuFeifei WangLi HeLin Xu . Development of luminescent metallohelicate as a selective chloride transporter. Chinese Chemical Letters, 2025, 36(12): 110918-. doi: 10.1016/j.cclet.2025.110918

    12. [12]

      Shanqing YANGLulu WANGQiang ZHANGJiajia LIYilong LITongliang HU . A propane-selective metal-organic framework for inverse selective adsorption propane/propylene separation. Chinese Journal of Inorganic Chemistry, 2025, 41(10): 2138-2148. doi: 10.11862/CJIC.20250154

    13. [13]

      Rui PANYuting MENGRuigang XIEDaixiang CHENJiefa SHENShenghu YANJianwu LIUYue ZHANG . Selective electrocatalytic reduction of Sn(Ⅳ) by carbon nitrogen materials prepared with different precursors. Chinese Journal of Inorganic Chemistry, 2024, 40(5): 1015-1024. doi: 10.11862/CJIC.20230433

    14. [14]

      Zhipeng Wan Hao Xu Peng Wu . Selective oxidation using in-situ generated hydrogen peroxide over titanosilicates. Chinese Journal of Structural Chemistry, 2024, 43(6): 100298-100298. doi: 10.1016/j.cjsc.2024.100298

    15. [15]

      Shengtao JiangMengjiao XieLimin JinYifan RenWentian ZhengSiping JiYanbiao Liu . New insights into electrocatalytic singlet oxygen generation for effective and selective water decontamination. Chinese Chemical Letters, 2025, 36(5): 110293-. doi: 10.1016/j.cclet.2024.110293

    16. [16]

      Wei GAOMeiqi SONGXuan RENJianliang BAIJing SUJianlong MAZhijun WANG . A self-calibrating fluorescent probe for the selective detection and bioimaging of HClO. Chinese Journal of Inorganic Chemistry, 2025, 41(6): 1173-1182. doi: 10.11862/CJIC.20250112

    17. [17]

      Jun XiongKe-Ke ChenNeng-Bin XieWei ChenWen-Xuan ShaoTong-Tong JiSi-Yu YuYu-Qi FengBi-Feng Yuan . Demethylase-assisted site-specific detection of N1-methyladenosine in RNA. Chinese Chemical Letters, 2024, 35(5): 108953-. doi: 10.1016/j.cclet.2023.108953

    18. [18]

      Tianze WangJunyi RenDongxiang ZhangHuan WangJianjun DuXin-Dong JiangGuiling Wang . Development of functional dye with redshifted absorption based on Knoevenagel condensation at 1-site in phenyl[b]-fused BODIPY. Chinese Chemical Letters, 2024, 35(6): 108862-. doi: 10.1016/j.cclet.2023.108862

    19. [19]

      Hanqing Zhang Xiaoxia Wang Chen Chen Xianfeng Yang Chungli Dong Yucheng Huang Xiaoliang Zhao Dongjiang Yang . Selective CO2-to-formic acid electrochemical conversion by modulating electronic environment of copper phthalocyanine with defective graphene. Chinese Journal of Structural Chemistry, 2023, 42(10): 100089-100089. doi: 10.1016/j.cjsc.2023.100089

    20. [20]

      Tianbo JiaLili WangZhouhao ZhuBaikang ZhuYingtang ZhouGuoxing ZhuMingshan ZhuHengcong Tao . Modulating the degree of O vacancy defects to achieve selective control of electrochemical CO2 reduction products. Chinese Chemical Letters, 2024, 35(5): 108692-. doi: 10.1016/j.cclet.2023.108692

Metrics
  • PDF Downloads(1)
  • Abstract views(1261)
  • HTML views(60)

通讯作者: 陈斌, bchen63@163.com
  • 1. 

    沈阳化工大学材料科学与工程学院 沈阳 110142

  1. 本站搜索
  2. 百度学术搜索
  3. 万方数据库搜索
  4. CNKI搜索
Address:Zhongguancun North First Street 2,100190 Beijing, PR China Tel: +86-010-82449177-888
Powered By info@rhhz.net

/

DownLoad:  Full-Size Img  PowerPoint
Return