Citation: Salehpour Mahboobeh, Azizian Javad, Kefayati Hassan. Clean synthesis of novel spiro[indene-2, 2'-[1, 3, 5]-oxathiazine]-1, 3-diones in water[J]. Chinese Chemical Letters, ;2017, 28(5): 1079-1082. doi: 10.1016/j.cclet.2016.12.036 shu

Clean synthesis of novel spiro[indene-2, 2'-[1, 3, 5]-oxathiazine]-1, 3-diones in water

  • Corresponding author: Azizian Javad, azizian@srbiau.ac.ir
  • Received Date: 31 October 2016
    Revised Date: 5 December 2016
    Accepted Date: 7 December 2016
    Available Online: 9 May 2017

Figures(2)

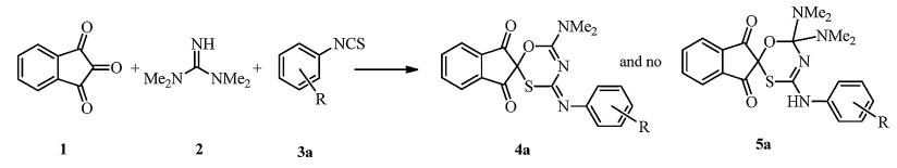
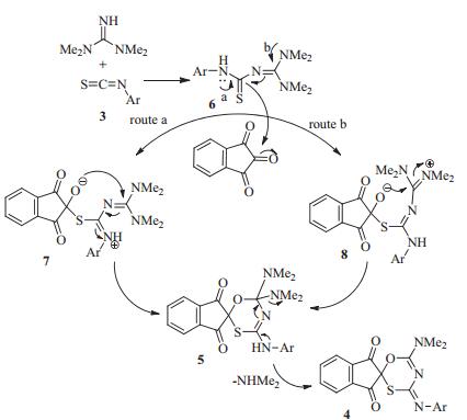
  • In this work, we have designed an efficient and convenient method for the synthesis of novel spiro[indene-2, 2'-[1, 3, 5]oxathiazine]-1, 3-diones by the one-pot, three component condensation of tetramethyl guanidine, ninhydrin, and isothiocyanates in water. Easy purification, green reaction conditions, easy performance and good yields are some advantages of this procedure.
  • 加载中
    1. [1]

      (a) J. Zhu, H. Bienayme, Multicomponent Reactions, Wiley-VCH, Weinheim, Germany, 2006;
      (b) A. Dömling, Recent developments in isocyanide based multicomponent reactions in applied chemistry, Chem. Rev. 106(2006) 17-89;
      (c) P. Lu, Y. Wang, Strategies for heterocyclic synthesis via cascade reactions based on ketenimines, Synlett (2010) 165-173;
      (d) B. Ganem, Strategies for innovation in multicomponent reaction design, Acc. Chem. Res. 42(2009) 463-472;
      (e) D. J. Ramón, M. Yus, Asymmetric multicomponent reactions (AMCRs), Angew. Chem. Int. Ed. 44(2005) 1602-1634.

    2. [2]

      (a) R. Fringuelli, L. Milanese, F. Schiaffella, Role of 1, 4-benzothiazine derivatives in medicinal chemistry, Mini Rev. Med. Chem. 5(2005) 1061-1073;
      (b) H. Li, G. J. Dryhurst, Irreversible inhibition of mitochondrial complex I by 7-(2-aminoethyl)-3, 4-dihydro-5-hydroxy-2H-1, 4-benzothiazine-3-carboxylic acid (DHBT-1): a putative nigral endotoxin of relevance to parkinson's disease, Neurochemistry 69(1997) 153'-1541.

    3. [3]

      C. Giordano, M. Ferraris, E. Barsuglia. , Methods of combatting nematodes using certain derivatives of 1, 3, 5-oxathiazine, Montedison Fibre SPA, U. S. Patent 4, 035, 496(1977). 

    4. [4]

      (a) W. G. Brouwer, A. R. Bell, A. R. Blem, R. A. Davis, 3-Aryl-5, 6-dihydro-1, 4, 2-oxathiazines and their oxides, U. S. Patent 4, 569, 690, issued February 11(1986).
      (b) W. G. Brouwer, A. R. Bell, A. R. Blem, R. A. Davis, 3-Aryl-5, 6-dihydro-1, 4, 2-oxathiazines and their oxides, U. S. Patent 4, 675, 044, issued June 23(1987).
      (c) W. G. Brouwer, A. R. Bell, A. R. Blem, R. A. Davis, 3-Aryl-5, 6-dihydro-1, 4, 2-oxathiazines and their oxides, Eur. Patent 0, 104, 940 A1(1984).

    5. [5]

      (a) J. F. E. Van Gestel, Antibacterial and antifouling oxathiazines and their oxides, U. S. Patent 5, 712, 275, issued January 27(1998).
      (b) J. F. E. Van Gestel, Antibacterial and antifouling oxathiazines and their oxides, U. S. Patent 5, 922, 113, issued July 13(1999).

    6. [6]

      (a) R. A. Davis, A. R. A Valcke, W. G. Brouwer, Uniroyal Chemical Company, Inc. and Uniroyal Chemical Ltd. /Ltee, Wood preservative oxathiazines, U. S. Patent 5, 777, 110(1998).
      (b) R. A. Davis, A. R. A Valcke, W. G. Brouwer, Oxathiazine holzschutzmittel, Eur. Patent Speci. 0, 715, 625 B1(1997).
      (c) R. A. Davis, A. R. A. Valcke, W. G. Brouwer, Wood preservative oxathiazines, U. S. Patent 6, 372, 297 B1(2002).
      (d) L. A. De Witte, A. R. A Valcke, M. A. Van der Flaas, W. M. Willems, Synergistic compositions comprising an oxathiazine and a benzothiophene-2-carboxamide-S, S-dioxide, U. S. Patent 6, 242, 440 B1(2001).

    7. [7]

      (a) M. Van der Flaas, Preservative formulations comprising an oxathiazine and alkoxylated amines, Eur. Pat. Appl. 1273233 A1(2003). ;
      (b) G. L. Chee, B. Bhattarai, R. D. Gietz, et al. , Chemical reactivity and microbicidal action of bethoxazin, Bioorg. Med. Chem. 20(2012) 1494-1501;
      (c) S. Hoff, E. Zwanenbug, 6-acetamido-56-dihydro-1, 4, 2-oxathiazines: a novel class of compounds, Tetrahedron Lett. 13(1972) 5267-5268

    8. [8]

      C. H. Heathcock, S. L. Graham, M. C. Pirrung, F. Plavac, C. T. White, Spirocyclic Systems in the Total Synthesis of Natural Products, vol. Ⅱ, John Wiley & Sons, New York, 1983, pp. p264.

    9. [9]

      G.S. Singh, Z.Y. Desta. Isatins as privileged molecules in design and synthesis of spiro-fused cyclic frameworks[J]. Chem. Rev., 2012,112:6104-6155. doi: 10.1021/cr300135y

    10. [10]

      (a) A. Alizadeh, R. Ghanbaripour, M. Feizabadi, L. G. Zhu, M. Dusek, Synthesis of 3-[(coumarinyl)carbonyl]-3a, 8b-dihyroindeno[1, 2-b]pyrrole-4(1 H)-ones and their conversion to coumarin bearing spiro[isobenzofuran-1, 2'-pyrrole] moiety compounds via oxidative cleavage reaction, RSC Adv. 5(2015) 80518-80525;
      (b) H. Liu, J. Li, M. Xiong, J. Jiang, J. Wang, Cp* coⅢ-catalyzed C-H alkenylation/annulation to afford spiro indenyl benzosultam, J. Org. Chem. 81(2016) 6093-6099;
      (c) Z. Yuan, X. Fang, X. Li, et al. , 1, 6-Conjugated addition-mediated[2+1] annulation: approach to spiro[2. 5] octa-47-dien-6-one, J. Org. Chem. 80(2015) 11123-11130.

    11. [11]

      (a) H. Peng, J. Li, F. Wang, B. Liu, B. Yin, Synthesis of spiro-lactams and polysubstituted pyrroles via ceric ammonium nitrate-mediated oxidative cyclization of N-furan-2-ylmethyl-beta enaminones, J. Org. Chem. 81(2016) 4939-4946;
      (c) J. Zheng, W. J. Cui, C. Zheng, S. L. You, Synthesis and application of chiral spiro Cp ligands in rhodium-catalyzed asymmetric oxidative coupling of biaryl compounds with alkenes, J. Am. Chem. Soc. 138(2016) 5242-5245.

    12. [12]

      (a) G. I. Shakibaei, A. Bazgir, A highly efficient one-pot synthesis of indenopyridine-fused spirocyclic systems, RSC Adv. 6(2016) 22306-22311;
      (b) S. Hajra, S. Maity, S. Roy, Regioselective friedel-crafts reaction of electronrich benzenoid arenes and spiro epoxy oxindole at the spiro-centre: efficient synthesis of benzofuro indolines and 2H-spiro[benzofuran]33'-oxindoles, Adv. Synt. Catal. 358(2016) 230'-2306;
      (c) A. Alizadeh, J. Mokhtari, Novel four-component route to the synthesis of spiro[indoline-34'-pyridine]-3'-carboxylate derivatives, Tetrahedron 67(2011) 3519-3523.

    13. [13]

      (a) I. Yavari, M. Nematpour, T. Damghani, Copper-catalyzed S-arylation of tetramethyl guanidine heterocumulene adducts, Tetrahedron Lett. 55(2014) 1323-1325;
      (b) I. Yavari, M. Nematpour, Copper-catalyzed tandem synthesis of tetrasubstituted pyrimidines from alkynes, sulfonyl azides, trichloro acetonitrile, and tetramethyl guanidine, Synlett 24(2013) 165-168;
      (c) I. Yavari, A. S. Shahvelayati, A. Malekafzali, Efficient synthesis of functionalized 24-diaminothiazoles from tetramethyl guanidine, isothiocyanates, and α-bromoketones, J. Sulf. Chem. 31(2010) 499-508;
      (d) I. Yavari, A. Sheikhi, M. Nematpour, Z. Taheri, Copper-catalyzed synthesis of pentasubstituted pyridines from N-sulfonyl ketenimines, 1, 1, 3, 3-tetramethyl guanidine, and acetylene dicarboxylates, Helv. Chim. Acta 98(2015) 534-538.

    14. [14]

      (a) S. B. Azimi, J. Azizian, A green, one-pot synthesis of substituted 2, 3-dihydroquinazoline-4(1H)-ones in the presence of N-sulfonic acid pyridinium chloride, Synlett 27(2016) 1836-1839;
      (b) S. B. Azimi, J. Azizian, Reaction of benzyl alcohols, isatoic anhydride, and primary amines mediated by I2/K2CO3 in water: a new and green approach for the synthesis of 2, 3-dihydroquinazolin-4(1H)-ones, Tetrahedron Lett. 57(2016) 181-184;
      (c) P. Torabi, J. Azizian, J. Noei, Synthesis of benzimidazoles and benzoxazoles using TiCl3OTf in ethanol at room temperature, Tetrahedron Lett. 57(2016) 185-188.

    15. [15]

      (a) J. S. Yu, Y. L. Liu, J. Tang, X. Wang, J. Zhou, Highly efficient on water catalystfree nucleophilic addition reactions using difluoroenoxysilanes: dramatic fluorine effects, Angew. Chem. Int. Ed. 53(2014) 9512-9516;
      (b) F. Zhou, X. P. Zeng, C. Wang, X. L. Zhao, J. Zhou, Organocatalytic asymmetric synthesis of 33-disubstituted oxindoles featuring two heteroatoms at the C3 position, Chem. Commun. 49(2013) 2022-2024;
      (c) J. S. Yu, H. M. Huang, P. G. Ding, et al. , Catalytic enantioselective construction of sulfur-containing tetr-asubstituted carbon stereocenters, ACS Catal. 6(2016) 5319-5344.

  • 加载中
    1. [1]

      Hongyuan ShaDongling YangYanran ShangZujian WangRongbing SuChao HeXiaoming YangXifa Long . Trithionic guanidine: A novel semi-organic short-wave ultraviolet nonlinear optical sulfate with dimeric heteroleptic tetrahedra. Chinese Chemical Letters, 2025, 36(4): 109730-. doi: 10.1016/j.cclet.2024.109730

    2. [2]

      Jindan ZhangZhenghong LiChi LiMengqi ZhuShicheng TangKaicong CaiZhibin ChengChulong LiuShengchang XiangZhangjing Zhang . Revealing a new doping mechanism of spiro-OMeTAD with tBP participation through the introduction of radicals into HTM. Chinese Chemical Letters, 2025, 36(3): 110046-. doi: 10.1016/j.cclet.2024.110046

    3. [3]

      Min LiuDi WangZenghui YeDonghao JiangBencan TangYanqi WuFengzhi Zhang . Highly stereo- and enantio-selective synthesis of spiro cyclopropyl oxindoles via organic catalyst-mediated cyclopropanation. Chinese Chemical Letters, 2025, 36(10): 110923-. doi: 10.1016/j.cclet.2025.110923

    4. [4]

      Ke ZhangSheng ZuoPengyuan YouTong RuFen-Er Chen . Palladium-catalyzed stereoselective decarboxylative [4 + 2] cyclization of 2-methylidenetrimethylene carbonates with pyrrolidone-derived enones: Straightforward access to chiral tetrahydropyran-fused spiro-pyrrolidine-2,3-diones. Chinese Chemical Letters, 2024, 35(6): 109157-. doi: 10.1016/j.cclet.2023.109157

Metrics
  • PDF Downloads(2)
  • Abstract views(1280)
  • HTML views(61)

通讯作者: 陈斌, bchen63@163.com
  • 1. 

    沈阳化工大学材料科学与工程学院 沈阳 110142

  1. 本站搜索
  2. 百度学术搜索
  3. 万方数据库搜索
  4. CNKI搜索
Address:Zhongguancun North First Street 2,100190 Beijing, PR China Tel: +86-010-82449177-888
Powered By info@rhhz.net

/

DownLoad:  Full-Size Img  PowerPoint
Return