Citation: Omar Adil, Ablajan Keyume, Hamdulla Mawjvda. Cetyltrimethylammonium chloride (CTAC) catalyzed one-pot synthesis of novel coumarin-4H-pyran conjugates in aqueous media[J]. Chinese Chemical Letters, ;2017, 28(5): 976-980. doi: 10.1016/j.cclet.2016.12.016 shu

Cetyltrimethylammonium chloride (CTAC) catalyzed one-pot synthesis of novel coumarin-4H-pyran conjugates in aqueous media

  • Corresponding author: Ablajan Keyume, ablajan209@hotmail.com
  • Received Date: 22 September 2016
    Revised Date: 24 November 2016
    Accepted Date: 1 December 2016
    Available Online: 16 May 2016

Figures(3)

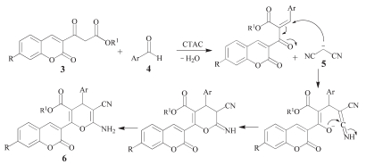
  • Novel fluorescent coumarin-4H-pyran conjugates were achieved by three-component reactions of various synthetic β-ketoesters with aldehydes and malononitrile in aqueous media. Besides mild reaction conditions, operational simplicity, absence of tedious separation procedures, using of inexpensive and nontoxic commercially available cationic surfactant cetyltrimethylammonium chloride (CTAC) as a catalyst are the prominent advantage of this method.
  • 加载中
    1. [1]

      Abenavoli M.R., Santis C.D., Sidari M.. Influence of coumarin on the net nitrate uptake in durum wheat[J]. New Phytol., 2001(150):619-627.  

    2. [2]

      Hwang C.H., Jaki B.U., Klein L.L.. Chlorinated coumarins from the polypore mushroom Fomitopsis officinalis and their activity against Mycobacterium tuberculosis[J]. J. Nat. Prod., 2013(76):1916-1922.  

    3. [3]

      Li Y., Zhang T., Schwartz S.J., Sun D.. New developments in Hsp90 inhibitors as anti-cancer therapeutics:mechanisms. clinical perspective and more potential[J]. Drug Resist. Update, 2009(12):17-27.  

    4. [4]

      Fylaktakidou K.C., Ke H.L.D., Nicolaides D.N.. Natural and synthetic coumarin derivatives with anti-inflammatory/antioxidant activities[J]. Curr. Pharm. Des., 2004(10):3813-3833.  

    5. [5]

      Sardari S., Mori Y., Horita K.. Synthesis and antifungal activity of coumarins and angular furanocoumarins[J]. Bioorg. Med. Chem., 1999(7):1933-1940.  

    6. [6]

      Amin K.M., Awadalla F.M., Eissa A.A.M., Abou-Seri S.M., Hassan G.S.. Design. synthesis and vasorelaxant evaluation of novel coumarin-pyrimidine[J]. Bioorg. Med. Chem., 2011(19):6087-6097.  

    7. [7]

      Rost S., Fregin A., Ivaskevicius V.. Mutations in VKORC1 cause warfarin resistance and multiple coagulation factor deficiency type 2[J]. Nature, 2004(427):537-541.  

    8. [8]

      Wang T., Wang C., Zhou N., Pan X., He H.. Synthesis and vasorelaxation evaluation of novel biphenyl-furocoumarin derivatives[J]. Med. Chem. Res., 2015(24):2417-2431.  

    9. [9]

      Gupta V.K., Mergu N., Kumawat L.K., Singh A.K.. Selective naked-eye detection of magnesium (Ⅱ) ions using a coumarin-derived fluorescent probe[J]. Sens. Actuators B:Chem., 2015(207):216-223.  

    10. [10]

      Yoo M., Park S., Kim H.J.. Highly selective detection of cyanide by 2-hydroxyphenylsalicylimine of latent fluorescence through the cyanidecatalyzed imine-to-oxazole transformation[J]. Sens. Actuators B:Chem., 2015(220):788-793.  

    11. [11]

      Wang H., Guo L.E., Li X.M.. Coumarin-based turn-on fluorescence probes for highly selective detection of Pi in cell culture and Caenorhabditis elegans[J]. Dyes Pigments, 2015(120):293-298.  

    12. [12]

      Ye D., Wang L., Li H., Zhou J., Cao D.. Synthesis of coumarin-containing conjugated polymer for naked-eye detection of DNA and cellular imaging[J]. Sens. Actuators B:Chem., 2013(181):234-243.  

    13. [13]

      Sarwar T., Rehman S.U., Husain M.A., Ishqi H.M., Tabish M.. Interaction of coumarin with calf thymus DNA:deciphering the mode of binding by in vitro studies[J]. Int. J. Biol. Macromol., 2015(73):9-16.  

    14. [14]

      Zhu S., Lin W., Yuan L.. Development of a ratiometric fluorescent pH probe for cell imaging based on a coumarin-quinoline platform[J]. Dyes Pigments, 2013(99):465-471.  

    15. [15]

      Gu Y.. Multicomponent reactions in unconventional solvents:state of the art[J]. Green Chem., 2012(14):2091-2128.  

    16. [16]

      Hernández F., Sánchez A., Rendón-Vallejo P.. Synthesis. ex vivo and in silico studies of 3-cyano-2-pyridone derivatives with vasorelaxant activity[J]. Eur. J. Med. Chem., 2013(70):669-676.  

    17. [17]

      Wang J.L., Liu D., Zhang Z.J.. Structure-based discovery of an organic compound that binds Bcl-2 protein and induces apoptosis of tumor cells[J]. Proc. Natl. Acad. Sci. U. S. A., 2000(97):7124-7129.  

    18. [18]

      Li J., Sui Y.P., Xin J.J.. Synthesis of biscoumarin and dihydropyran derivatives with promising antitumor and antibacterial activities[J]. Bioorg. Med. Chem. Lett., 2015(25):5520-5523.  

    19. [19]

      Kamatchi T.S., Kalaivani P., Poornima P.. New organometallic ruthenium (ii) complexes containing chelidonic acid (4-oxo-4H-pyran-2, 6-dicarboxylic acid):synthesis. structure and in vitro biological activity[J]. RSC Adv., 2014(4):2004-2022.  

    20. [20]

      Giblin G.M., O'Shaughnessy C.T., Naylor A.. Discovery of 2-[(2, 4-dichlorophenyl) amino]-N-[(tetrahydro-2H-pyran-4-yl)methyl]-4-(trifluoromethyl)-5-pyrimidinecarboxamide. a selective CB2 receptor agonist for the treatment of inflammatory pain[J]. J. Med. Chem., 2007(50):2597-2600.

    21. [21]

      Dömling A.. Recent developments in isocyanide based multicomponent reactions in applied chemistry[J]. Chem. Rev., 2006(106):17-89.  

    22. [22]

      Liju W., Ablajan K., Jun F.. Rapid and efficient one-pot synthesis of spiro[indoline-3, 4'-pyrano[2.3-c] pyrazole] derivatives catalyzed by L-proline under ultrasound irradiation[J]. Ultrason. Sonochem., 2015(22):113-118.  

    23. [23]

      Keyume A., Esmayil Z., Wang L., Jun F.. Convenient DABCO-catalyzed one-pot synthesis of multi-substituted pyrano[2.3-c] pyrazole dicarboxylates[J]. Tetrahedron, 2014(70):3976-3980.  

    24. [24]

      Nanayakkara Y.S., Armstrong D.W.. A liquid drop RC filter apparatus for detection[J]. Anal. Bioanal. Chem., 2011(401):2669-2678.  

    25. [25]

      Reddy K.R., Rajanna K., Uppalaiah K.. Environmentally benign contemporary Friedel-Crafts acylation of 1-halo-2-methoxy naphthalenes and its related compounds under conventional and nonconventional conditions[J]. Tetrahedron Lett., 2013(54):3431-3436.  

    26. [26]

      Jin T.S., Xiao J.C., Wang S.J., Li T.S.. Ultrasound-assisted synthesis of 2-amino-2-chromenes with cetyltrimethylammonium bromide in aqueous media[J]. Ultrason. Sonochem., 2004(11):393-397.  

    27. [27]

      Albanese D., Donghi A., Landini D., Lupi V., Penso M.. Environmentally benign sequential synthesis of 3, 4-dihydro-2H-1.4-benzoxazines under phase transfer catalysis conditions[J]. Green Chem., 2003(5):367-369.  

    28. [28]

      Ablajan K., Liju W., Tuoheti A., Kelimu Y.. An efficient four-component one-pot synthesis of 6-amino-4-aryl-3-methyl-2, 4-dihydropyrano[2.3-C] pyrazole-5-carbonitriles under phase-transfer catalyst[J]. Lett. Org. Chem., 2012(9):639-643.  

    29. [29]

      Benazzouz A., Makhloufi-Chebli M., Khatir-Hamdi N.. A facile synthesis of new coumarin-3.4-dihydropyrimidin-2(1H)-ones/thiones dyads[J]. Tetrahedron, 2015(71):3890-3894.  

    30. [30]

      Ghosh P.P., Pal G., Paul S., Das A.R.. Design and synthesis of benzylpyrazolyl coumarin derivatives via a four-component reaction in water:investigation of the weak interactions accumulating in the crystal structure of a signified compound[J]. Green Chem., 2012(14):2691-2698.  

    31. [31]

      Wang H., Liu X., Feng X., Huang Z., Shi D.. GAP chemistry for pyrrolyl coumarin derivatives:a highlyefficientone-potsynthesis undercatalyst-freeconditions[J]. Green Chem., 2013(15):3307-3311.  

    32. [32]

      Vitório F., Pereira T.M., Castro R.N.. Synthesis and mechanism of novel fluorescent coumarin-dihydropyrimidinone dyads obtained by the Biginelli multicomponent reaction[J]. New J. Chem., 2015(39):2323-2332.  

    33. [33]

      Sugino T., Tanaka K.. Solvent-free coumarin synthesis[J]. Chem. Lett., 2001(11):110-111.

    34. [34]

      Gawande M.B., Bonifacio V.D.B., Luque R., Branco P.S., Varma R.S.. Benign by design:catalyst-free in-water. on-water green chemical methodologies in organic synthesis[J]. Chem. Soc. Rev., 2013(42):5522-5551.  

    35. [35]

      Li D., Li H., Fu Y.. Critical micelle concentrations of cetyltrimethylammonium chloride and their influence on the periodic structure of mesoporous silica[J]. Colloid J., 2008(70):747-752.  

  • 加载中
    1. [1]

      Meihui Cai Yi Huang Xingxing Ma Qiuling Song . Exploring the Mysteries of the Petasis-Boronic Acid-Mannich Reaction. University Chemistry, 2025, 40(11): 184-190. doi: 10.12461/PKU.DXHX202412054

    2. [2]

      Yingying YanWanhe JiaRui CaiChun Liu . An AIPE-active fluorinated cationic Pt(Ⅱ) complex for efficient detection of picric acid in aqueous media. Chinese Chemical Letters, 2024, 35(5): 108819-. doi: 10.1016/j.cclet.2023.108819

    3. [3]

      Junying ZhangRuochen LiHaihua WangWenbing KangXing-Dong Xu . Photo-induced tunable luminescence from an aggregated amphiphilic ethylene-pyrene derivative in aqueous media. Chinese Chemical Letters, 2024, 35(6): 109216-. doi: 10.1016/j.cclet.2023.109216

    4. [4]

      Ying ChenLun LiGuohao HanRen LiuGuanghui AnYi Zhu . Macromolecular coumarin sulfonium salt with side chain effect constructed by copolymerization strategy for free radical, cationic, and hybrid photopolymerizations. Chinese Chemical Letters, 2025, 36(7): 110458-. doi: 10.1016/j.cclet.2024.110458

    5. [5]

      Rong-Nan YiWei-Min He . Photocatalytic Minisci-type multicomponent reaction for the synthesis of 1-(halo)alkyl-3-heteroaryl bicyclo[1.1.1]pentanes. Chinese Chemical Letters, 2024, 35(10): 110115-. doi: 10.1016/j.cclet.2024.110115

    6. [6]

      Yi LuoLin Dong . Multicomponent remote C(sp2)-H bond addition by Ru catalysis: An efficient access to the alkylarylation of 2H-imidazoles. Chinese Chemical Letters, 2024, 35(10): 109648-. doi: 10.1016/j.cclet.2024.109648

    7. [7]

      Jian HanLi-Li ZengQin-Yu FeiYan-Xiang GeRong-Hui HuangFen-Er Chen . Recent advances in remote C(sp3)–H functionalization via chelating group-assisted metal-catalyzed chain-walking reaction. Chinese Chemical Letters, 2024, 35(11): 109647-. doi: 10.1016/j.cclet.2024.109647

    8. [8]

      Wei-Tao DouQing-Wen ZengYan KangHaidong JiaYulian NiuJinglong WangLin Xu . Construction and application of multicomponent fluorescent droplets. Chinese Chemical Letters, 2025, 36(1): 109995-. doi: 10.1016/j.cclet.2024.109995

    9. [9]

      Zhen LiuZhi-Yuan RenChen YangXiangyi ShaoLi ChenXin Li . Asymmetric alkenylation reaction of benzoxazinones with diarylethylenes catalyzed by B(C6F5)3/chiral phosphoric acid. Chinese Chemical Letters, 2024, 35(5): 108939-. doi: 10.1016/j.cclet.2023.108939

    10. [10]

      Yiqian JiangZihan YangXiuru BiNan YaoPeiqing ZhaoXu Meng . Mediated electron transfer process in α-MnO2 catalyzed Fenton-like reaction for oxytetracycline degradation. Chinese Chemical Letters, 2024, 35(8): 109331-. doi: 10.1016/j.cclet.2023.109331

    11. [11]

      Yi-Fan WangHao-Yun YuHao XuYa-Jie WangXiaodi YangYu-Hui WangPing TianGuo-Qiang Lin . Rhodium(Ⅲ)-catalyzed diastereo- and enantioselective hydrosilylation/cyclization reaction of cyclohexadienone-tethered α, β-unsaturated aldehydes. Chinese Chemical Letters, 2024, 35(9): 109520-. doi: 10.1016/j.cclet.2024.109520

    12. [12]

      Shuai ZhuMingjie ChenHaichao ShenHanming DingWenbo LiJunliang Zhang . Palladium/Xu-Phos-catalyzed enantioselective arylalkoxylation reaction of γ-hydroxyalkenes at room temperature. Chinese Chemical Letters, 2024, 35(11): 109879-. doi: 10.1016/j.cclet.2024.109879

    13. [13]

      Hongliang ZengYuan JiJinfeng WenXu LiTingting ZhengQiu JiangChuan Xia . Pt nanocluster-catalyzed hydrogen evolution reaction: Recent advances and future outlook. Chinese Chemical Letters, 2025, 36(3): 109686-. doi: 10.1016/j.cclet.2024.109686

    14. [14]

      Yi-Kao XuGuo-Ping LuoLiang-Bin HuWei-Min He . Asymmetric Büchner reaction and arene cyclopropanation via copper-catalyzed controllable cyclization of diynes. Chinese Chemical Letters, 2025, 36(8): 111226-. doi: 10.1016/j.cclet.2025.111226

    15. [15]

      Xinghui YaoZhouyu WangDa-Gang Yu . Sustainable electrosynthesis: Enantioselective electrochemical Rh(III)/chiral carboxylic acid-catalyzed oxidative CH cyclization coupled with hydrogen evolution reaction. Chinese Chemical Letters, 2024, 35(9): 109916-. doi: 10.1016/j.cclet.2024.109916

    16. [16]

      Zhenguo ZhangLanyang LiXinlong ZongYongheng LvShuanglei LiuLiang JiXuefei ZhaoZhenhua JiaTeck-Peng Loh . "Water" accelerated B(C6F5)3-catalyzed Mukaiyama-aldol reaction: Outer-sphere activation model. Chinese Chemical Letters, 2025, 36(7): 110504-. doi: 10.1016/j.cclet.2024.110504

    17. [17]

      Xin LiJia-Min LuBo LiChen ZhaoBei-Bei YangLi Li . Chiroptical sensing for remote chiral amines via a C–H activation reaction. Chinese Chemical Letters, 2025, 36(5): 110310-. doi: 10.1016/j.cclet.2024.110310

    18. [18]

      Peiyan ZhuYanyan YangHui LiJinhua WangShiqing Li . Rh(Ⅲ)‐Catalyzed sequential ring‐retentive/‐opening [4 + 2] annulations of 2H‐imidazoles towards full‐color emissive imidazo[5,1‐a]isoquinolinium salts and AIE‐active non‐symmetric 1,1′‐biisoquinolines. Chinese Chemical Letters, 2024, 35(10): 109533-. doi: 10.1016/j.cclet.2024.109533

    19. [19]

      Chunru ZhaoYi LiuShilong LiXiang WuJinghai Liu . PVP decorated H3.78V6O13 microspheres assembled by nanosheets for aqueous zinc ion batteries at variable work temperature. Chinese Chemical Letters, 2025, 36(6): 110185-. doi: 10.1016/j.cclet.2024.110185

    20. [20]

      Yan ZouYuting XueChenxue DuWenyang FuBin XiaYu HeLiang AoXiaoshu LvGuangming Jiang . Anhydrous sodium sulfate microparticles for efficient water separation from surfactant-stabilized water-in-oil emulsions. Chinese Chemical Letters, 2025, 36(11): 110814-. doi: 10.1016/j.cclet.2025.110814

Metrics
  • PDF Downloads(4)
  • Abstract views(1538)
  • HTML views(63)

通讯作者: 陈斌, bchen63@163.com
  • 1. 

    沈阳化工大学材料科学与工程学院 沈阳 110142

  1. 本站搜索
  2. 百度学术搜索
  3. 万方数据库搜索
  4. CNKI搜索
Address:Zhongguancun North First Street 2,100190 Beijing, PR China Tel: +86-010-82449177-888
Powered By info@rhhz.net

/

DownLoad:  Full-Size Img  PowerPoint
Return