Citation:
. Synthesis and biological activities of (E)-β-farnesene analogues containing 1,2,3-thiadiazole[J]. Chinese Chemical Letters,
;2017, 28(2): 372-376.
doi:
10.1016/j.cclet.2016.10.030
-
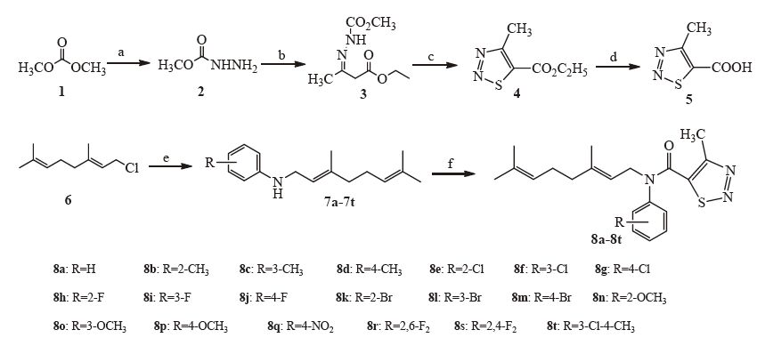
In order to discover novel compounds with high-activity to control aphid, a series of novel ((E)-β-farnesene analogues containing 1,2,3-thiadiazole were designed and synthesized, and their structures were confirmed by IR, 1H NMR, 13C NMR, and HRMS (ESI). The stability of representative compounds was studied by HPLC and 1H NMR techniques. Repellent activity results indicated that compounds 8h and 8j displayed 60.3% and 62.0% repellent rates, respectively. The aphicidal bioassay results showed that most analogues exhibited considerable aphicidal activity against Myzus persicae. Especially, analogues 8l, 8s and 8t exhibited high activity with LC50 values of 33.4 μg/mL, 50.2 μg/mL and 61.8 μg/mL, respectively, which were higher than the lead compound (E)-β-farnesene, but lower than commercial insecticide pymetrozine with a LC50 of 7.1 μg/mL.
-
-
-
-
[1]
Yanye Fan , Jingjing Chen , Bichun Chen , Jinyu Bai , Bowen Yang , Feng Liang , Lijing Fang . Design, synthesis and biological evaluation of Leu10-teixobactin analogues. Chinese Chemical Letters, 2025, 36(4): 110075-. doi: 10.1016/j.cclet.2024.110075
-
[2]
Bairu Meng , Zongji Zhuo , Han Yu , Sining Tao , Zixuan Chen , Erik De Clercq , Christophe Pannecouque , Dongwei Kang , Peng Zhan , Xinyong Liu . Design, synthesis, and biological evaluation of benzo[4,5]thieno[2,3-d]pyrimidine derivatives as novel HIV-1 NNRTIs. Chinese Chemical Letters, 2024, 35(6): 108827-. doi: 10.1016/j.cclet.2023.108827
-
[3]
Qiang Feng , Jindong Hao , Ya Hu , Rong Fu , Wei Wei , Dong Yi . Photocatalytic multi-component synthesis of ester-containing quinoxalin-2(1H)-ones using water as the hydrogen donor. Chinese Chemical Letters, 2025, 36(6): 110582-. doi: 10.1016/j.cclet.2024.110582
-
[4]
Chao LIU , Jiang WU , Zhaolei JIN . Synthesis, crystal structures, and antibacterial activities of two zinc(Ⅱ) complexes bearing 5-phenyl-1H-pyrazole group. Chinese Journal of Inorganic Chemistry, 2024, 40(10): 1986-1994. doi: 10.11862/CJIC.20240153
-
[5]
Zhiwei Chen , Heyun Sheng , Xue Li , Menghan Chen , Xin Li , Qiuling Song . Efficient capture of difluorocarbene by pyridinium 1,4-zwitterionic thiolates: A concise synthesis of difluoromethylene-containing 1,4-thiazine derivatives. Chinese Chemical Letters, 2024, 35(4): 108937-. doi: 10.1016/j.cclet.2023.108937
-
[6]
Xiao-Ming Chen , Lianhui Song , Jun Pan , Fei Zeng , Yi Xie , Wei Wei , Dong Yi . Visible-light-induced four-component difunctionalization of alkenes to construct phosphorodithioate-containing quinoxalin-2(1H)-ones. Chinese Chemical Letters, 2024, 35(11): 110112-. doi: 10.1016/j.cclet.2024.110112
-
[7]
Qiong-Hui Peng , Ning-Bo Li , Jia-Cheng Hou , Cai-Jun He , Ya-Xin Yang , Chun-Lin Zhuang , Li-Juan Ou , Mei Yuan , Wei-Min He . Nd@g-C3N4 dual-functional photosynthesis and antitumor activities of 3-fluoroalkylated quinoxalin-2(1H)-ones. Chinese Chemical Letters, 2025, 36(12): 111402-. doi: 10.1016/j.cclet.2025.111402
-
[8]
Qunlong Zhang , Jingyi Kang , Jingwen Wang , Tiancheng Tan , Zhaoyong Lu . Divergent total synthesis of sesquiterpene (hydro)quinone meroterpenoids dysideanones A and E–G. Chinese Chemical Letters, 2025, 36(3): 109915-. doi: 10.1016/j.cclet.2024.109915
-
[9]
Wenyi Mei , Lijuan Xie , Xiaodong Zhang , Cunjian Shi , Fengzhi Wang , Qiqi Fu , Zhenjiang Zhao , Honglin Li , Yufang Xu , Zhuo Chen . Design, synthesis and biological evaluation of fluorescent derivatives of ursolic acid in living cells. Chinese Chemical Letters, 2024, 35(5): 108825-. doi: 10.1016/j.cclet.2023.108825
-
[10]
Gangsheng Li , Xiang Yuan , Fu Liu , Zhihua Liu , Xujie Wang , Yuanyuan Liu , Yanmin Chen , Tingting Wang , Yanan Yang , Peicheng Zhang . Three-step synthesis of flavanostilbenes with a 2-cyclohepten-1-one core by Cu-mediated [5 + 2] cycloaddition/decarboxylation cascade. Chinese Chemical Letters, 2025, 36(2): 109880-. doi: 10.1016/j.cclet.2024.109880
-
[11]
Liping GUO . Synthesis and crystal structure characterization of yttrium imido complex: The reactivity of 2-substituted-1-amino-o-carborane with yttrium dialkyl complex. Chinese Journal of Inorganic Chemistry, 2025, 41(7): 1409-1415. doi: 10.11862/CJIC.20250065
-
[12]
Xiaochun Liu , Gaoyan Chen , Xiaodong Yue , Chaoyue Wang , Xue-Xin Zhang , Xuecheng Ran , Yingxiao Zong , Junke Wang , Xicun Wang . A novel N-stable Co2P nano-catalyst for the synthesis of quinoxalines by annulation of alkynes and 1,2-diaminobenzenes. Chinese Chemical Letters, 2025, 36(8): 110707-. doi: 10.1016/j.cclet.2024.110707
-
[13]
Ya Ren , Cong Zhang , Haiyan Wang , Jin-Xia Liang , Chun Zhu , Han-Shi Hu , Jun Li . Defective Ru1@Mo2COx Single-Atom Catalyst for Efficient Thermal Catalysis for Ammonia Synthesis. Chinese Journal of Structural Chemistry, 2025, 44(8): 100649-100649. doi: 10.1016/j.cjsc.2025.100649
-
[14]
Mianling Yang , Meehyein Kim , Peng Zhan . Modular miniaturized synthesis and in situ biological evaluation facilitate rapid discovery of potent MraY inhibitors as antibacterial agents. Chinese Chemical Letters, 2025, 36(2): 110455-. doi: 10.1016/j.cclet.2024.110455
-
[15]
Zhiqiang Cui , Dongxiang Zhang , Yanru Huang , Chunyu Shao , Yiming Zhang , Changliang Sun , Xin-Dong Jiang , Xiaohong Sun , Qinghuan Xiao . Novel 1-phenylethyl-containing aza-BDOIPY for phototherapy and simultaneous monitoring of tumor immune microenvironment reprogramming. Chinese Chemical Letters, 2025, 36(7): 110460-. doi: 10.1016/j.cclet.2024.110460
-
[16]
Hong-Tao Ji , Yu-Han Lu , Yan-Ting Liu , Yu-Lin Huang , Jiang-Feng Tian , Feng Liu , Yan-Yan Zeng , Hai-Yan Yang , Yong-Hong Zhang , Wei-Min He . Nd@C3N4-photoredox/chlorine dual catalyzed synthesis and evaluation of antitumor activities of 4-alkylated sulfonyl ketimines. Chinese Chemical Letters, 2025, 36(2): 110568-. doi: 10.1016/j.cclet.2024.110568
-
[17]
Qingyun Yang , Yue Ma , Quanyi Ye , Yiqing Liu , Yuhong Luo , Yongbo Wu , Zhiguang Xu , Xiaoming Lin . Prussian blue analogues derived MO/MFe2O4 (M = Ni, Cu, Zn) nanoparticles as a high-performance anode material for enhanced lithium storage. Chinese Journal of Structural Chemistry, 2025, 44(8): 100631-100631. doi: 10.1016/j.cjsc.2025.100631
-
[18]
Chen Lian , Si-Han Zhao , Hai-Lou Li , Xinhua Cao . A giant Ce-containing poly(tungstobismuthate): Synthesis, structure and catalytic performance for the decontamination of a sulfur mustard simulant. Chinese Chemical Letters, 2024, 35(10): 109343-. doi: 10.1016/j.cclet.2023.109343
-
[19]
Guoping Yang , Zhoufu Lin , Xize Zhang , Jiawei Cao , Xuejiao Chen , Yufeng Liu , Xiaoling Lin , Ke Li . Assembly of Y(Ⅲ)-containing antimonotungstates induced by malic acid with catalytic activity for the synthesis of imidazoles. Chinese Chemical Letters, 2024, 35(12): 110274-. doi: 10.1016/j.cclet.2024.110274
-
[20]
Yuetong Gao , Tong Mu , Xinyue Hu , Yang Pang , Chengji Zhao . Facile synthesis of all-carbon fluorinated backbone polymers containing sulfide linkage as proton exchange membranes for fuel cells. Chinese Chemical Letters, 2025, 36(6): 110763-. doi: 10.1016/j.cclet.2024.110763
-
[1]
Metrics
- PDF Downloads(2)
- Abstract views(1377)
- HTML views(73)
Login In
DownLoad: