Citation:
. A new and efficient method for the synthesis of rocuronium bromide[J]. Chinese Chemical Letters,
;2017, 28(2): 487-492.
doi:
10.1016/j.cclet.2016.10.026
-
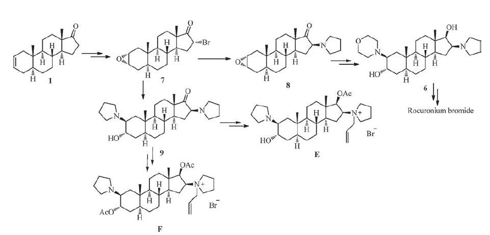
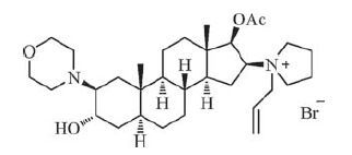
Rocuronium bromide has been used as an aminosteroid non-depolarizing neuromuscular blocker and muscle relaxant. In this work, a new and efficient route for preparing a key intermediate 2β-(4-morpholinyl)-16β-(1-pyrrolidinyl)-5α-androstan-3α,17β-diol (6) was developed through a ring-opening of epoxide followed by introducing and pyrrolidine. Compound 6 can easily provide rocuronium bromide and the overall yield of compound 6 in 5 steps increased to 57.8%, which was higher than currently reported methods. Extraordinarily, this method would avoid the generation of disubstituted impurities E and F which are difficult to remove.
-
-
-
-
[1]
Xia-Lin Dai , Yu-Hang Yao , Jian-Feng Zhen , Wei Gao , Jia-Mei Chen , Tong-Bu Lu . Reaction crystallization method based on deep eutectic solvents: A novel, green and efficient cocrystal synthesis approach. Chinese Chemical Letters, 2025, 36(11): 110413-. doi: 10.1016/j.cclet.2024.110413
-
[2]
Keyang Li , Yanan Wang , Yatao Xu , Guohua Shi , Sixian Wei , Xue Zhang , Baomei Zhang , Qiang Jia , Huanhua Xu , Liangmin Yu , Jun Wu , Zhiyu He . Flash nanocomplexation (FNC): A new microvolume mixing method for nanomedicine formulation. Chinese Chemical Letters, 2024, 35(10): 109511-. doi: 10.1016/j.cclet.2024.109511
-
[3]
Wenxuan Yang , Long Shang , Xiaomeng Liu , Sihan Zhang , Haixia Li , Zhenhua Yan , Jun Chen . Ultrafast synthesis of nanocrystalline spinel oxides by Joule-heating method. Chinese Chemical Letters, 2024, 35(11): 109501-. doi: 10.1016/j.cclet.2024.109501
-
[4]
Xu-Hui Yue , Xiang-Wen Zhang , Hui-Min He , Lei Qiao , Zhong-Ming Sun . Synthesis, chemical bonding and reactivity of new medium-sized polyarsenides. Chinese Chemical Letters, 2024, 35(7): 108907-. doi: 10.1016/j.cclet.2023.108907
-
[5]
Ying Li , Long-Jie Wang , Yong-Kang Zhou , Jun Liang , Bin Xiao , Ji-Shen Zheng . An improved installation of 2-hydroxy-4-methoxybenzyl (iHmb) method for chemical protein synthesis. Chinese Chemical Letters, 2024, 35(5): 109033-. doi: 10.1016/j.cclet.2023.109033
-
[6]
Yihong Li , Zhong Qiu , Lei Huang , Shenghui Shen , Ping Liu , Haomiao Zhang , Feng Cao , Xinping He , Jun Zhang , Yang Xia , Xinqi Liang , Chen Wang , Wangjun Wan , Yongqi Zhang , Minghua Chen , Wenkui Zhang , Hui Huang , Yongping Gan , Xinhui Xia . Plasma enhanced reduction method for synthesis of reduced graphene oxide fiber/Si anode with improved performance. Chinese Chemical Letters, 2024, 35(11): 109510-. doi: 10.1016/j.cclet.2024.109510
-
[7]
Huirong Chen , Yingzhi He , Yan Han , Jianbo Hu , Jiantang Li , Yunjia Jiang , Basem Keshta , Lingyao Wang , Yuanbin Zhang . A new SIFSIX anion pillared cage MOF with crs topological structure for efficient C2H2/CO2 separation. Chinese Journal of Structural Chemistry, 2025, 44(2): 100508-100508. doi: 10.1016/j.cjsc.2024.100508
-
[8]
Wujun Jian , Mong-Feng Chiou , Yajun Li , Hongli Bao , Song Yang . Cu-catalyzed regioselective diborylation of 1,3-enynes for the efficient synthesis of 1,4-diborylated allenes. Chinese Chemical Letters, 2024, 35(5): 108980-. doi: 10.1016/j.cclet.2023.108980
-
[9]
Zhixiang Li , Zhirong Yang , Chang Yao , Bin Wu , Gang Qian , Xuezhi Duan , Xinggui Zhou , Jing Zhang . Efficient continuous synthesis of 2-hydroxycarbazole and 4-hydroxycarbazole in a millimeter scale photoreactor. Chinese Chemical Letters, 2024, 35(4): 108893-. doi: 10.1016/j.cclet.2023.108893
-
[10]
Ting Xie , Xun He , Lang He , Kai Dong , Yongchao Yao , Zhengwei Cai , Xuwei Liu , Xiaoya Fan , Tengyue Li , Dongdong Zheng , Shengjun Sun , Luming Li , Wei Chu , Asmaa Farouk , Mohamed S. Hamdy , Chenggang Xu , Qingquan Kong , Xuping Sun . CoSe2 nanowire array enabled highly efficient electrocatalytic reduction of nitrate for ammonia synthesis. Chinese Chemical Letters, 2024, 35(11): 110005-. doi: 10.1016/j.cclet.2024.110005
-
[11]
Xinyu Hou , Xuelian Yu , Meng Liu , Hengxing Peng , Lijuan Wu , Libing Liao , Guocheng Lv . Ultrafast synthesis of Mo2N with highly dispersed Ru for efficient alkaline hydrogen evolution. Chinese Chemical Letters, 2025, 36(4): 109845-. doi: 10.1016/j.cclet.2024.109845
-
[12]
Genxiang Wang , Linfeng Fan , Peng Wang , Junfeng Wang , Fen Qiao , Zhenhai Wen . Efficient synthesis of nano high-entropy compounds for advanced oxygen evolution reaction. Chinese Chemical Letters, 2025, 36(4): 110498-. doi: 10.1016/j.cclet.2024.110498
-
[13]
Qiao Song , Xue Peng , Zhouyu Wang , Leyong Wang . Iron-catalyzed C–H activation: A sustainable approach to efficient organic synthesis. Chinese Chemical Letters, 2025, 36(5): 110869-. doi: 10.1016/j.cclet.2025.110869
-
[14]
Chunwei Lei , Jian Li , Bo Xu , Yu Xie , Yun Ling , Juhua Luo , Wei Zhang . Synthesis of Ni/MnO/C nano-microspheres with synergistic effects of dielectric and magnetic loss for efficient microwave absorption. Chinese Chemical Letters, 2025, 36(7): 110419-. doi: 10.1016/j.cclet.2024.110419
-
[15]
Yuhan Zhang , Xiao-Lin Zhang , Han Ding , Yuan Xu , Xue-Wei Liu . Catalytic ring-strain release toward a facial and efficient synthesis of versatile C-glycosides. Chinese Chemical Letters, 2025, 36(7): 110560-. doi: 10.1016/j.cclet.2024.110560
-
[16]
Xinyuan Li , Zhuozhu Li , Wenzhong Huang , Jiantao Li , Wei Zhang , Shihao Feng , Hao Fan , Zhuo Chen , Sungsik Lee , Congcong Cai , Liang Zhou . Solvent-free synthesis of Co single atom and nanocluster decorated N-doped carbon for efficient oxygen reduction. Chinese Chemical Letters, 2025, 36(9): 110716-. doi: 10.1016/j.cclet.2024.110716
-
[17]
Xiao Yang , Wenjing Liu , Jiarui Kong , Xiangcheng Shan , Qiupei Lei , Zhipeng Yin , Runzeng Liu , Min Zhang , Qingzhe Zhang , Yongguang Yin , Chuanyong Jing , Yong Cai . Synthesis of amine-functionalized polystyrene resin-based globular adsorbents for efficient and selective removal of As and Sb species. Chinese Chemical Letters, 2025, 36(11): 110856-. doi: 10.1016/j.cclet.2025.110856
-
[18]
Aonan Wang , Jingwen Dai , Yiming Guo , Fanghua Ning , Xiaoyu Liu , Sidra Subhan , Jiaqian Qin , Shigang Lu , Jin Yi . Imidazolium bromide based dual-functional redox mediator for the construction of dendrite-free Li-CO2 batteries. Chinese Chemical Letters, 2025, 36(7): 110186-. doi: 10.1016/j.cclet.2024.110186
-
[19]
Zhiwei Zhong , Yanbin Huang , Wantai Yang . A simple photochemical method for surface fluorination using perfluoroketones. Chinese Chemical Letters, 2024, 35(5): 109339-. doi: 10.1016/j.cclet.2023.109339
-
[20]
Meijuan Chen , Liyun Zhao , Xianjin Shi , Wei Wang , Yu Huang , Lijuan Fu , Lijun Ma . Synthesis of carbon quantum dots decorating Bi2MoO6 microspherical heterostructure and its efficient photocatalytic degradation of antibiotic norfloxacin. Chinese Chemical Letters, 2024, 35(8): 109336-. doi: 10.1016/j.cclet.2023.109336
-
[1]
Metrics
- PDF Downloads(16)
- Abstract views(1589)
- HTML views(34)
Login In
DownLoad: