Citation:
. Synthesis and antitumor activity of some new pyrazolo[1,5-a] pyrimidines[J]. Chinese Chemical Letters,
;2017, 28(2): 388-393.
doi:
10.1016/j.cclet.2016.10.022
-
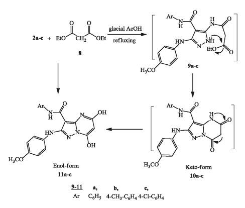
New series of pyrazolo[1,5-a]pyrimidine derivatives 7a-i, 11a-c and Schiff bases 13a-c were synthesized and screened for their in vitro antitumor activity against three human carcinoma cell lines, namely colorectal carcinoma (HCT116), prostate adenocarcinoma (PC-3) and liver carcinoma (HepG-2) using MTT cytotoxicity assay at 100 μg/mL. Some of the tested compounds displayed good anticancer activities against HCT-116 and PC-3 cells. Whereas, compounds 7d and 11a showed better antitumor activity than the rest of the compounds against both cell lines. A structure-activity relationship (SAR) has been discussed and structures of the newly synthesized compounds were confirmed by different spectral data (MS, IR, 1H NMR and 13C NMR) and elemental analysis.
-
-
-
-
[1]
Bofei JIA , Zhihao LIU , Zongyuan GAO , Shuai ZHOU , Mengxiang WU , Qian ZHANG , Xiamei ZHANG , Shuzhong CHEN , Xiaohan YANG , Yahong LI . Cu(Ⅱ) and Cu(Ⅰ) complexes based on derivatives of imidazo[1,5-a]pyridine: Synthesis, structures, in situ metal-ligand reactions, and catalytic activity. Chinese Journal of Inorganic Chemistry, 2025, 41(5): 1020-1036. doi: 10.11862/CJIC.20240317
-
[2]
Zhaodong WANG . In situ synthesis, crystal structure, and magnetic characterization of a trinuclear copper complex based on a multi-substituted imidazo[1,5-a]pyrazine scaffold. Chinese Journal of Inorganic Chemistry, 2025, 41(3): 597-604. doi: 10.11862/CJIC.20240268
-
[3]
Chunhua Ma , Mengjiao Liu , Siyu Ouyang , Zhenwei Cui , Jingjing Bi , Yuqin Jiang , Zhiguo Zhang . Metal-free construction of diverse 1,2,4-triazolo[1,5-a]pyridines on water. Chinese Chemical Letters, 2025, 36(1): 109755-. doi: 10.1016/j.cclet.2024.109755
-
[4]
Guoxi Yang , Hongji Tan , Jieji Zhu , Qingxiao Tong , Jingxin Jian , Zhihai Yang , Deli Li , Denghui Liu , Shijian Su . [1,2,4]Triazolo[1,5-a]pyridine as regulating unit with high horizontal orientation for efficient non-doped blue OLEDs with negligible efficiency roll-off. Chinese Chemical Letters, 2025, 36(8): 111138-. doi: 10.1016/j.cclet.2025.111138
-
[5]
Keke Han , Wenjun Rao , Xiuli You , Haina Zhang , Xing Ye , Zhenhong Wei , Hu Cai . Two new high-temperature molecular ferroelectrics [1,5-3.2.2-Hdabcni]X (X = ClO4−, ReO4−). Chinese Chemical Letters, 2024, 35(6): 108809-. doi: 10.1016/j.cclet.2023.108809
-
[6]
Kun Wang , Tianxue Gong , Yaohuang Huang , Boyang Han , Hanxiao Yang , Pavlo O. Dral , Weiwei Fang . Bornylimidazo[1,5–a]pyridin-3-ylidene allylic Pd catalyst with optimal electronic and steric properties for synthesis of 3,3′-disubstituted oxindoles. Chinese Chemical Letters, 2025, 36(7): 110539-. doi: 10.1016/j.cclet.2024.110539
-
[7]
Zhi-Lin Wu , Rong-Nan Yi , Chunlin Zhuang . Electrochemical synthesis strategy for the development of antitumor selenoheterocyclic compounds. Chinese Chemical Letters, 2025, 36(10): 111408-. doi: 10.1016/j.cclet.2025.111408
-
[8]
Di ZHANG , Tianxiang XIE , Xu HE , Wanyu WEI , Qi FAN , Jie QIAO , Gang JIN , Ningbo LI . Construction and antitumor activity of pH/GSH dual-responsive magnetic nanodrug. Chinese Journal of Inorganic Chemistry, 2025, 41(4): 786-796. doi: 10.11862/CJIC.20240329
-
[9]
Fengqing Wang , Changxing Qi , Chunmei Chen , Qin Li , Qingyi Tong , Weiguang Sun , Zhengxi Hu , Minyan Wang , Hucheng Zhu , Lianghu Gu , Yonghui Zhang . Discovery and enantioselective total synthesis of antitumor agent asperfilasin A via a regio- and diastereoselective Nazarov cyclization. Chinese Chemical Letters, 2025, 36(6): 110252-. doi: 10.1016/j.cclet.2024.110252
-
[10]
Xu-Hui Yue , Xiang-Wen Zhang , Hui-Min He , Lei Qiao , Zhong-Ming Sun . Synthesis, chemical bonding and reactivity of new medium-sized polyarsenides. Chinese Chemical Letters, 2024, 35(7): 108907-. doi: 10.1016/j.cclet.2023.108907
-
[11]
Hong-Tao Ji , Yu-Han Lu , Yan-Ting Liu , Yu-Lin Huang , Jiang-Feng Tian , Feng Liu , Yan-Yan Zeng , Hai-Yan Yang , Yong-Hong Zhang , Wei-Min He . Nd@C3N4-photoredox/chlorine dual catalyzed synthesis and evaluation of antitumor activities of 4-alkylated sulfonyl ketimines. Chinese Chemical Letters, 2025, 36(2): 110568-. doi: 10.1016/j.cclet.2024.110568
-
[12]
Qiong-Hui Peng , Ning-Bo Li , Jia-Cheng Hou , Cai-Jun He , Ya-Xin Yang , Chun-Lin Zhuang , Li-Juan Ou , Mei Yuan , Wei-Min He . Nd@g-C3N4 dual-functional photosynthesis and antitumor activities of 3-fluoroalkylated quinoxalin-2(1H)-ones. Chinese Chemical Letters, 2025, 36(12): 111402-. doi: 10.1016/j.cclet.2025.111402
-
[13]
Wujun Jian , Mong-Feng Chiou , Yajun Li , Hongli Bao , Song Yang . Cu-catalyzed regioselective diborylation of 1,3-enynes for the efficient synthesis of 1,4-diborylated allenes. Chinese Chemical Letters, 2024, 35(5): 108980-. doi: 10.1016/j.cclet.2023.108980
-
[14]
Anqiu LIU , Long LIN , Dezhi ZHANG , Junyu LEI , Kefeng WANG , Wei ZHANG , Junpeng ZHUANG , Haijun HAO . Synthesis, structures, and catalytic activity of aluminum and zinc complexes chelated by 2-((2,6-dimethylphenyl)amino)ethanolate. Chinese Journal of Inorganic Chemistry, 2024, 40(4): 791-798. doi: 10.11862/CJIC.20230424
-
[15]
Guoping Yang , Zhoufu Lin , Xize Zhang , Jiawei Cao , Xuejiao Chen , Yufeng Liu , Xiaoling Lin , Ke Li . Assembly of Y(Ⅲ)-containing antimonotungstates induced by malic acid with catalytic activity for the synthesis of imidazoles. Chinese Chemical Letters, 2024, 35(12): 110274-. doi: 10.1016/j.cclet.2024.110274
-
[16]
Yao HUANG , Yingshu WU , Zhichun BAO , Yue HUANG , Shangfeng TANG , Ruixue LIU , Yancheng LIU , Hong LIANG . Copper complexes of anthrahydrazone bearing pyridyl side chain: Synthesis, crystal structure, anticancer activity, and DNA binding. Chinese Journal of Inorganic Chemistry, 2025, 41(1): 213-224. doi: 10.11862/CJIC.20240359
-
[17]
Wen-Rui Li , Ru-Bing Wang , Huiqiang Wang , Jin-Yao Yong , Yu-Huan Li , Shi-Shan Yu , Shuang-Gang Ma . Ring-reorganization strategy for asymmetric synthesis of sesquiterpenoid illihenin A and its antiviral activity evaluation. Chinese Chemical Letters, 2025, 36(11): 110945-. doi: 10.1016/j.cclet.2025.110945
-
[18]
Fuyun Chi , Man Zhang , Yiman Han , Fukui Shen , Shijie Peng , Bo Su , Yuanyuan Hou , Gang Bai . Covalent modulation of mPGES1 activity via α,β-unsaturated aldehyde group: Implications for downregulating PGE2 expression and antipyretic response. Chinese Chemical Letters, 2025, 36(4): 109913-. doi: 10.1016/j.cclet.2024.109913
-
[19]
Yang Liu , Jing Liang , Mengzhu Zheng , Haoze Song , Lixia Chen , Hua Li . PD-L1/SHP2 dual PROTACs inhibit melanoma by enhancing T-cell killing activity. Chinese Chemical Letters, 2025, 36(6): 110317-. doi: 10.1016/j.cclet.2024.110317
-
[20]
Gen Zhang , Ying Gu , Lin Li , Fuli Ma , Dan Yue , Xiaoguang Zhou , Chungui Tian . Anion-modulated HER and OER activity of 1D Co-Mo based interstitial compound heterojunctions for the effective overall water splitting. Chinese Chemical Letters, 2025, 36(7): 110110-. doi: 10.1016/j.cclet.2024.110110
-
[1]
Metrics
- PDF Downloads(4)
- Abstract views(1321)
- HTML views(49)
Login In
DownLoad: