Citation:
. Theophylline as a new and green catalyst for the one-pot synthesis of spiro[benzo[a]pyrano[2,3-c]phenazine] and benzo[a]pyrano[2,3-c]phenazine derivatives under solvent-free conditions[J]. Chinese Chemical Letters,
;2017, 28(2): 446-452.
doi:
10.1016/j.cclet.2016.09.016
-
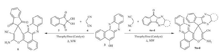
A green, convenient, high yielding and one-pot procedure for the synthesis of novel spiro[benzo[a]pyrano[2,3-c]phenazine] derivatives by domino multi-component condensation reaction between 2-hydroxynaphthalene-1,4-dione, benzene-1,2-diamines, ninhydrine, and malononitrile in the presence of a catalytic amount of 1,3-dimethyl-7H-purine-2,6-dione (theophylline) as an expedient, eco-friendly and reusable solid base catalyst under thermal, microwave irradiation and solvent-free conditions. This procedure has also been applied successfully for the synthesis of benzo[a]pyrano[2,3-c]phenazines.
-
-
-
-
[1]
Lianshun Zhang , Lan Bao , Ting Song , Shangying Qiao , Yifan Liu , Xianxiu Xu , Jinhuan Dong . Cu-catalyzed biheterocyclization along with sulfonyl remote migration: Access to Marinoquinoline alkaloids and 4-sulfonyl pyrrolo[2,3-c]quinolines. Chinese Chemical Letters, 2025, 36(10): 110915-. doi: 10.1016/j.cclet.2025.110915
-
[2]
Bairu Meng , Zongji Zhuo , Han Yu , Sining Tao , Zixuan Chen , Erik De Clercq , Christophe Pannecouque , Dongwei Kang , Peng Zhan , Xinyong Liu . Design, synthesis, and biological evaluation of benzo[4,5]thieno[2,3-d]pyrimidine derivatives as novel HIV-1 NNRTIs. Chinese Chemical Letters, 2024, 35(6): 108827-. doi: 10.1016/j.cclet.2023.108827
-
[3]
Ke Zhang , Sheng Zuo , Pengyuan You , Tong Ru , Fen-Er Chen . Palladium-catalyzed stereoselective decarboxylative [4 + 2] cyclization of 2-methylidenetrimethylene carbonates with pyrrolidone-derived enones: Straightforward access to chiral tetrahydropyran-fused spiro-pyrrolidine-2,3-diones. Chinese Chemical Letters, 2024, 35(6): 109157-. doi: 10.1016/j.cclet.2023.109157
-
[4]
Hai-Yang Song , Jun Jiang , Yu-Hang Song , Min-Hang Zhou , Chao Wu , Xiang Chen , Wei-Min He . Supporting-electrolyte-free electrochemical [2 + 2 + 1] annulation of benzo[d]isothiazole 1,1-dioxides, N-arylglycines and paraformaldehyde. Chinese Chemical Letters, 2024, 35(6): 109246-. doi: 10.1016/j.cclet.2023.109246
-
[5]
Min Fu , Ruihan Wang , Wenqiang Liu , Sen Zhou , Chunhong Zhong , Yaohao Li , Pan He , Xin Li , Shiying Shang , Zhongping Tan . Improved one-pot protein synthesis enabled by a more precise assessment of peptide arylthioester reactivity. Chinese Chemical Letters, 2025, 36(7): 110542-. doi: 10.1016/j.cclet.2024.110542
-
[6]
Xinyuan Li , Zhuozhu Li , Wenzhong Huang , Jiantao Li , Wei Zhang , Shihao Feng , Hao Fan , Zhuo Chen , Sungsik Lee , Congcong Cai , Liang Zhou . Solvent-free synthesis of Co single atom and nanocluster decorated N-doped carbon for efficient oxygen reduction. Chinese Chemical Letters, 2025, 36(9): 110716-. doi: 10.1016/j.cclet.2024.110716
-
[7]
Yuqing Zhong , Mengmeng Jiang , Deyong Yang , Nan Feng , Ying Sun , Huimin Wang , Feng Zhou . Nickel-catalyzed electrochemical carboxylation of propargylic esters with CO2 to 2,3-allenoic acids. Chinese Chemical Letters, 2025, 36(12): 111169-. doi: 10.1016/j.cclet.2025.111169
-
[8]
Renyuan Wang , Lei Ke , Houxiang Wang , Yueheng Tao , Yujie Cui , Peipei Zhang , Minjie Shi , Xingbin Yan . Facile synthesis of phenazine-conjugated polymer material with extraordinary proton-storage redox capability. Chinese Chemical Letters, 2025, 36(5): 109920-. doi: 10.1016/j.cclet.2024.109920
-
[9]
Yu Pang , Min Wang , Ning-Hua Yang , Min Xue , Yong Yang . One-pot synthesis of a giant twisted double-layer chiral macrocycle via [4 + 8] imine condensation and its X-ray structure. Chinese Chemical Letters, 2024, 35(10): 109575-. doi: 10.1016/j.cclet.2024.109575
-
[10]
Chun-Ying Xu , Xiao-Lin Luan , Yuan-Yuan Cui , Cheng-Xiong Yang . One-pot in situ doping synthesis of phenylboronic acid-functionalized magnetic-cyclodextrin microporous organic network for specific enrichment and detection of sulfonylurea herbicides. Chinese Chemical Letters, 2025, 36(9): 110937-. doi: 10.1016/j.cclet.2025.110937
-
[11]
Zhao Gu , Yunhui Yang , Song Ye , Congyang Wang . 2,3-Arylacylation of allenes through synergetic catalysis of palladium and N-heterocyclic carbene. Chinese Chemical Letters, 2025, 36(5): 110334-. doi: 10.1016/j.cclet.2024.110334
-
[12]
Ao Sun , Zipeng Li , Shuchun Li , Xiangbao Meng , Zhongtang Li , Zhongjun Li . Stereoselective synthesis of α-3-deoxy-D-manno-oct-2-ulosonic acid (α-Kdo) derivatives using a C3-p-tolylthio-substituted Kdo fluoride donor. Chinese Chemical Letters, 2025, 36(3): 109972-. doi: 10.1016/j.cclet.2024.109972
-
[13]
Ren Shen , Yanmei Fang , Chunxiao Yang , Quande Wei , Pui-In Mak , Rui P. Martins , Yanwei Jia . UV-assisted ratiometric fluorescence sensor for one-pot visual detection of Salmonella. Chinese Chemical Letters, 2025, 36(4): 110143-. doi: 10.1016/j.cclet.2024.110143
-
[14]
Meiling Xu , Xinyang Li , Pengyuan Liu , Junjun Liu , Xiao Han , Guodong Chai , Shuangling Zhong , Bai Yang , Liying Cui . A novel and visible ratiometric fluorescence determination of carbaryl based on red emissive carbon dots by a solvent-free method. Chinese Chemical Letters, 2025, 36(2): 109860-. doi: 10.1016/j.cclet.2024.109860
-
[15]
Xiao Xiao , Biao Chen , Jia-Wei Li , Jun-Bo Zheng , Xu Wang , Hang Zhao , Fen-Er Chen . Nitrite-catalyzed economic and sustainable bromocyclization of tryptamines/tryptophols to access hexahydropyrrolo[2,3-b]indoles/tetrahydrofuroindolines in batch and flow. Chinese Chemical Letters, 2024, 35(7): 109280-. doi: 10.1016/j.cclet.2023.109280
-
[16]
Huirong Chen , Yingzhi He , Yan Han , Jianbo Hu , Jiantang Li , Yunjia Jiang , Basem Keshta , Lingyao Wang , Yuanbin Zhang . A new SIFSIX anion pillared cage MOF with crs topological structure for efficient C2H2/CO2 separation. Chinese Journal of Structural Chemistry, 2025, 44(2): 100508-100508. doi: 10.1016/j.cjsc.2024.100508
-
[17]
Hongjin Shi , Guoyin Yin , Xi Lu , Yangyang Li . Stereoselective synthesis of 2-deoxy-α-C-glycosides from glycals. Chinese Chemical Letters, 2024, 35(12): 109674-. doi: 10.1016/j.cclet.2024.109674
-
[18]
Yu Xiong , Li-Jun Hu , Jian-Guo Song , Di Zhang , Yi-Shuang Peng , Xiao-Jun Huang , Jian Hong , Bin Zhu , Wen-Cai Ye , Ying Wang . Structure elucidation of plumerubradins A–C: Correlations between 1H NMR signal patterns and structural information of [2+2]-type cyclobutane derivatives. Chinese Chemical Letters, 2025, 36(5): 110149-. doi: 10.1016/j.cclet.2024.110149
-
[19]
Mengxing Liu , Jing Liu , Hongxing Zhang , Jianan Tao , Peiwen Fan , Xin Lv , Wei Guo . One-pot accessing of meso–aryl heptamethine indocyanine NIR fluorophores and potential application in developing dye-antibody conjugate for imaging tumor. Chinese Chemical Letters, 2025, 36(4): 109994-. doi: 10.1016/j.cclet.2024.109994
-
[20]
Xinghao Cai , Chen Ma , Ying Kang , Yuqiang Ren , Xue Meng , Wei Lu , Shiming Fan , Shouxin Liu . Nickel-catalyzed C(sp2)–H alkynylation of free α-substituted benzylamines using a transient directing group. Chinese Chemical Letters, 2025, 36(10): 110901-. doi: 10.1016/j.cclet.2025.110901
-
[1]
Metrics
- PDF Downloads(6)
- Abstract views(1223)
- HTML views(41)
Login In
DownLoad: