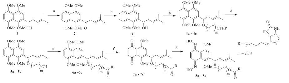
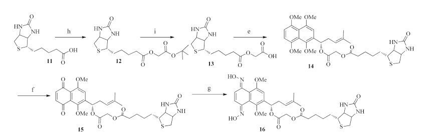
Citation: Huang Guang, Meng Qing-Qing, Zhou Wen, Zhang Qi-Jing, Dong Jin-Yun, Li Shao-Shun. Design and synthesis of biotinylated dimethylation of alkannin oxime derivatives[J]. Chinese Chemical Letters, ;2017, 28(2): 453-457. doi: 10.1016/j.cclet.2016.09.015 shu

Design and synthesis of biotinylated dimethylation of alkannin oxime derivatives

  • Corresponding author: Li Shao-Shun, ssli@sjtu.edu.cn
  • 1These authors contributed equally to this work.
  • Received Date: 25 July 2016
    Revised Date: 29 August 2016
    Accepted Date: 6 September 2016
    Available Online: 1 March 2016

Figures(3)

Metrics
  • PDF Downloads(5)
  • Abstract views(1315)
  • HTML views(63)

通讯作者: 陈斌, bchen63@163.com
  • 1. 

    沈阳化工大学材料科学与工程学院 沈阳 110142

  1. 本站搜索
  2. 百度学术搜索
  3. 万方数据库搜索
  4. CNKI搜索
Address:Zhongguancun North First Street 2,100190 Beijing, PR China Tel: +86-010-82449177-888
Powered By info@rhhz.net

/

DownLoad:  Full-Size Img  PowerPoint
Return