Citation: Qi Wen-Jie, Han Ying, Liu Chang-Zhou, Yan Chao-Guo. Three-component reaction of triphenylphosphine, dialkyl but-2-ynedioate and arylidene pivaloylacetonitrile for diastereoselective synthesis of densely substituted 2,3-dihydrofurans[J]. Chinese Chemical Letters, ;2017, 28(2): 442-445. doi: 10.1016/j.cclet.2016.09.014 shu

Three-component reaction of triphenylphosphine, dialkyl but-2-ynedioate and arylidene pivaloylacetonitrile for diastereoselective synthesis of densely substituted 2,3-dihydrofurans

  • Corresponding author: Han Ying, hanying@yzu.edu.cn Yan Chao-Guo, cgyan@yzu.edu.cn
  • Received Date: 24 June 2016
    Revised Date: 5 August 2016
    Accepted Date: 30 August 2016
    Available Online: 1 March 2016

Figures(3)

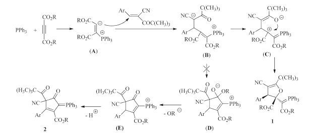
  • The three-component reaction of triphenylphosphine, dialkyl but-2-ynedioate and arylidene pivaloylacetonitrile in dry methylene dichloride at room temperature resulted in unexpected densely substituted 1-(triphenyl-λ5-phosphanylidene)ethyl)-2,3-dihydrofurans in satisfactory yields with high diastereoselectivity. The relative configuration of the 2,3-dihydrofurans was elucidated by determination of single crystal structures.
  • 加载中
    1. [1]

      X. Lu, C. Zhang, Z. Xu. Reactions of electron-deficient alkynes and allenes under phosphine catalysis[J]. Acc. Chem. Res., 2001,34:535-544. doi: 10.1021/ar000253x

    2. [2]

      J.L. Methot, W.R. Roush. Nucleophilic phosphine organocatalysis[J]. Adv. Synth. Catal., 2004,346:1035-1050. doi: 10.1002/(ISSN)1615-4169

    3. [3]

      A. Marinetti, A. Voituriez. Enantioselective phosphine organocatalysis[J]. Synlett, 2010:174-195.

    4. [4]

      Y. Wei, M. Shi. Multifunctional chiral phosphine organocatalysts in catalytic asymmetric Morita-Baylis-Hillman and related reactions[J]. Acc. Chem. Res., 2010,43:1005-1018. doi: 10.1021/ar900271g

    5. [5]

      L.W. Ye, J. Zhou, Y. Tang. Phosphine-triggered synthesis of functionalized cyclic compounds[J]. Chem. Soc. Rev., 2008,37:1140-1152. doi: 10.1039/b717758e

    6. [6]

      B.J. Cowen, S.J. Miller. Enantioselective catalysis and complexity generation from allenoates[J]. Chem. Soc. Rev., 2009,38:3102-3116. doi: 10.1039/b816700c

    7. [7]

      S.L. Xu, Z.J. He. Reactivities of allenoates with aldehydes under the mediation of tertiary phosphines[J]. Sci. Sin. Chim., 2010,40:856-868.  

    8. [8]

      C. Zhang, X. Lu. Phosphine-catalyzed cycloaddition of 2,3-butadienoates or 2-butynoates with electron-deficient olefins. A novel[3+2] annulation approach to cyclopentenes[J]. J. Org. Chem., 1995,602906. doi: 10.1021/jo00114a048

    9. [9]

      Y.S. Tran, O. Kwon. Phosphine-catalyzed[4+2] annulation:synthesis of cyclohexenes[J]. J. Am. Chem. Soc., 2007,129:12632-12633. doi: 10.1021/ja0752181

    10. [10]

      Q.F. Zhou, F. Yang, Q.X. Guo, S. Xue. Triphenylphosphine-catalyzed isomerization of alkynyl ketones in aqueous solution[J]. Chin. Chem. Lett., 2007,18:1029-1032. doi: 10.1016/j.cclet.2007.06.024

    11. [11]

      W. Wu, X.Y. Zhang, S.X. Kang, Y.M. Gao. Tri(t-butyl)phosphine-assisted selective hydrosilylation of terminal alkynes[J]. Chin. Chem. Lett., 2010,21:312-316. doi: 10.1016/j.cclet.2009.11.040

    12. [12]

      H. Anaraki-Ardakani, M. Noei, A. Tabarzad. Facile synthesis of N-(arylsulfonyl)-4-ethoxy-5-oxo-2,5-dihydro-1H-pyrolle-2,3-dicarboxylates by one-pot three-component reaction[J]. Chin. Chem. Lett., 2012,23:45-48. doi: 10.1016/j.cclet.2011.09.010

    13. [13]

      F. Sheikholeslami-Farahani, Z. Hossaini, F. Rostami-Charati. Solvent-free synthesis of substituted thiopyrans via multicomponent reactions of α-haloketones[J]. Chin. Chem. Lett., 2014,25:152-154. doi: 10.1016/j.cclet.2013.10.016

    14. [14]

      L.Y. Cui, S.H. Guo, B. Li, X.Y. Zhang, X.S. Fan. Synthesis of cyclopentenyl and cyclohexenyl ketones via[3+2] and[4+2] annulations of 1,2-allenic ketones[J]. Chin. Chem. Lett., 2014,25:55-57. doi: 10.1016/j.cclet.2013.10.008

    15. [15]

      H.Y. Duan, J. Ma, Z.Z. Yuan. Phosphine-promoted[3+2] cycloaddition between nonsubstituted MBH carbonates and trifluoromethyl ketones[J]. Chin. Chem. Lett., 2015,26:646-648. doi: 10.1016/j.cclet.2015.03.019

    16. [16]

      X.F. Zhu, C.E. Henry, O. Kwon. Stable tetravalent phosphonium enolate zwitterions[J]. J. Am. Chem. Soc., 2007,129:6722-6723. doi: 10.1021/ja071990s

    17. [17]

      E. Mercier, B. Fonovic, C. Henry, O. Kwon, T. Dudding. Phosphine triggered[3+2] allenoate-acrylate annulation:a mechanistic enlightenment[J]. Tetrahedron Lett., 2007,48:3617-3620. doi: 10.1016/j.tetlet.2007.03.030

    18. [18]

      S. Xu, L. Zhou, R. Ma, H. Song, Z. He. Phosphane-catalyzed[3+2] annulation of allenoates with aldehydes:a simple and efficient synthesis of 2-alkylidenetetrahydrofurans[J]. Chem. Eur. J., 2009,15:8698-8702. doi: 10.1002/chem.v15:35

    19. [19]

      R. Zhou, C.J. Yang, Y.Y. Liu, R.F. Li, Z.J. He. Diastereoselective synthesis of functionalized spirocyclopropyl oxindoles via P(NMe2)3-mediated reductive cyclopropanation[J]. J. Org. Chem., 2014,79:10709-10715. doi: 10.1021/jo502106c

    20. [20]

      Y.Q. Jiang, Y.L. Shi, M. Shi. Chiral phosphine-catalyzed enantioselective construction of γ-butenolides through substitution of Morita-Baylis-Hillman acetates with 2-trimethylsilyloxy furan[J]. J. Am. Chem. Soc., 2008,130:7202-7203. doi: 10.1021/ja802422d

    21. [21]

      S. Xu, L. Zhou, S. Zeng. Phosphine-mediated olefination between aldehydes and allenes:an efficient synthesis of trisubstituted 1,3-dienes with high Eselectivity[J]. Org. Lett., 2009,11:3498-3501. doi: 10.1021/ol901334c

    22. [22]

      Z. Chen, J. Zhang. An unexpected phosphine-catalyzed regio-and diastereoselective[4+1] annulation reaction of modified allylic compounds with activated enones[J]. Chem. Asian J., 2010,5:1542-1545. doi: 10.1002/asia.v5:7

    23. [23]

      P. Xie, Y. Huang, R. Chen. Phosphine-catalyzed domino reaction:highly stereoselective synthesis of trans-2,3-dihydrobenzofurans from salicyl N-thiophosphinyl imines and allylic carbonates[J]. Org. Lett., 2010,12:3768-3771. doi: 10.1021/ol101611v

    24. [24]

      S. Xu, L. Zhou, R. Ma, H. Song, Z. He. Phosphine-mediated stereoselective reductive cyclopropanation of α-substituted allenoates with aromatic aldehydes[J]. Org. Lett., 2010,12:544-547. doi: 10.1021/ol902747c

    25. [25]

      S. Xu, W. Zou, G. Wu, H. Song, Z. He. Stereoselective synthesis of 1,2,3,4-tetrasubstituted dienes from allenoates and aldehydes:an observation of phosphineinduced chemoselectivity[J]. Org. Lett., 2010,12:3556-3559. doi: 10.1021/ol101429z

    26. [26]

      S.C. Chuang, J.C. Deng, F.W. Chan. [3+2] Cycloaddition of dialkyl (E)-Hex-2-en-4-ynedioates to[60] fullerene by phosphane-promoted tandem α(δ')-Michael additions[J]. Eur. J. Org. Chem., 2012,13:2606-2613.

    27. [27]

      P.Y. Tseng, S.C. Chuang. Chemo-, regio-and stereoselective tricyclohexylphosphine-catalyzed[3+2] cycloaddition of enynes with[60] fullerene initiated by 1,4-Michael addition:synthesis of cyclopenteno[60] fullerenes and their electrochemical properties[J]. Adv. Synth. Catal., 2013,355:2165-2171. doi: 10.1002/adsc.201300255

    28. [28]

      A.S. Chavan, J.C. Deng, S. C.. Chuang, α(δ')-Michael addition of alkyl amines to dimethyl (E)-hex-2-en-4-ynedioate:synthesis of α,β-dehydroamino acid derivatives[J]. Molecules, 2013,18:2611-2622. doi: 10.3390/molecules18032611

    29. [29]

      Y.W. Lin, J.C. Deng, Y.Z. Hsieh, S.C. Chuang. One-pot formation of fluorescent γ-lactams having an α-phosphorus ylide moiety through three-component α(δ')-Michael reactions of phosphines with an enyne and N-tosyl aldimines[J]. Org. Biomol. Chem., 2014,12:162-170. doi: 10.1039/C3OB41811A

    30. [30]

      V. Nair, A.Deepthi , P.B. Beneesh, S. Eringathodi. Anovel three-component reaction of triphenylphosphine, DMAD, and electron-deficient styrenes:facile synthesis of cyclopentenyl phosphoranes[J]. Synthesis, 2006,9:1443-1446.  

    31. [31]

      Y. Han, Y.J. Sheng, C.G. Yan. Convenient synthesis of triphenylphosphanylidene spiro[cyclopent[2] ene-1,3'-indolines] via three-component reactions[J]. Org. Lett., 2014,16:2654-2657. doi: 10.1021/ol5008394

    32. [32]

      G. Hui, J. Sun, C.G. Yan. Synthesis of (triphenylphosphoranylidene) spiro[cyclopentene-1,3'-indole]s by a three-component reaction of triphenylphosphine, dialkyl acetylenedicarboxylates, and 3-(aroylmethylene)-1,3-dihydro-2H-indol-2-ones[J]. Synthesis, 2014,46:2327-2332. doi: 10.1055/s-00000084

    33. [33]

      Y. Han, W.J. Qi, Y.J. Sheng, C.G. Yan. Synthesis of triphenylphosphanylidene cyclopent-2-enecaroboxylates with three-component reaction of triphenylphospine, hex-2-en-4-ynedioate, and β-nitrostyrene[J]. Tetrahedron Lett., 2015,56:5196-5198. doi: 10.1016/j.tetlet.2015.07.071

    34. [34]

      J.C. Deng, F.W. Chan, C.W. Kuo. Assembly of dimethyl acetylenedicarboxylate and phosphanes with aldehydes leading to γ-lactones bearing α-phosphorus ylides as Wittig reagents[J]. Eur. J. Org. Chem., 2012:5738-5747.

    35. [35]

      J.C. Deng, S.C. Chuang. Three-component and nonclassical reaction of phosphines with enynes and aldehydes:formation of γ-lactones featuring α-phosphorus ylides[J]. Org. Lett., 2011,13:2248-2251. doi: 10.1021/ol200527t

    36. [36]

      Y. Han, L.Y. Guo, C.G. Yan. Triphenylphosphine catalyzed domino reaction of dialkyl acetylenedicarboxylate with 3-aryl-2-benzoylcyclopropane-1,1-dicarbonitrile[J]. Heterocycl. Commun., 2015,21:329-333.

  • 加载中
    1. [1]

      Meihui Cai Yi Huang Xingxing Ma Qiuling Song . Exploring the Mysteries of the Petasis-Boronic Acid-Mannich Reaction. University Chemistry, 2025, 40(11): 184-190. doi: 10.12461/PKU.DXHX202412054

    2. [2]

      Yi LuoLin Dong . Multicomponent remote C(sp2)-H bond addition by Ru catalysis: An efficient access to the alkylarylation of 2H-imidazoles. Chinese Chemical Letters, 2024, 35(10): 109648-. doi: 10.1016/j.cclet.2024.109648

    3. [3]

      Yuqing ZhongMengmeng JiangDeyong YangNan FengYing SunHuimin WangFeng Zhou . Nickel-catalyzed electrochemical carboxylation of propargylic esters with CO2 to 2,3-allenoic acids. Chinese Chemical Letters, 2025, 36(12): 111169-. doi: 10.1016/j.cclet.2025.111169

    4. [4]

      Rong-Nan YiWei-Min He . Photocatalytic Minisci-type multicomponent reaction for the synthesis of 1-(halo)alkyl-3-heteroaryl bicyclo[1.1.1]pentanes. Chinese Chemical Letters, 2024, 35(10): 110115-. doi: 10.1016/j.cclet.2024.110115

    5. [5]

      Zhao GuYunhui YangSong YeCongyang Wang . 2,3-Arylacylation of allenes through synergetic catalysis of palladium and N-heterocyclic carbene. Chinese Chemical Letters, 2025, 36(5): 110334-. doi: 10.1016/j.cclet.2024.110334

    6. [6]

      Linfang ZHANGWenzhu YINGui YIN . A 2-dicyanomethylene-3-cyano-4,5,5-trimethyl-2,5-dihydrofuran-based near-infrared fluorescence probe for the detection of hydrogen sulfide and imaging of living cells. Chinese Journal of Inorganic Chemistry, 2025, 41(3): 540-548. doi: 10.11862/CJIC.20240405

    7. [7]

      Bairu MengZongji ZhuoHan YuSining TaoZixuan ChenErik De ClercqChristophe PannecouqueDongwei KangPeng ZhanXinyong Liu . Design, synthesis, and biological evaluation of benzo[4,5]thieno[2,3-d]pyrimidine derivatives as novel HIV-1 NNRTIs. Chinese Chemical Letters, 2024, 35(6): 108827-. doi: 10.1016/j.cclet.2023.108827

    8. [8]

      Xiao XiaoBiao ChenJia-Wei LiJun-Bo ZhengXu WangHang ZhaoFen-Er Chen . Nitrite-catalyzed economic and sustainable bromocyclization of tryptamines/tryptophols to access hexahydropyrrolo[2,3-b]indoles/tetrahydrofuroindolines in batch and flow. Chinese Chemical Letters, 2024, 35(7): 109280-. doi: 10.1016/j.cclet.2023.109280

    9. [9]

      Lianshun ZhangLan BaoTing SongShangying QiaoYifan LiuXianxiu XuJinhuan Dong . Cu-catalyzed biheterocyclization along with sulfonyl remote migration: Access to Marinoquinoline alkaloids and 4-sulfonyl pyrrolo[2,3-c]quinolines. Chinese Chemical Letters, 2025, 36(10): 110915-. doi: 10.1016/j.cclet.2025.110915

    10. [10]

      Ke ZhangSheng ZuoPengyuan YouTong RuFen-Er Chen . Palladium-catalyzed stereoselective decarboxylative [4 + 2] cyclization of 2-methylidenetrimethylene carbonates with pyrrolidone-derived enones: Straightforward access to chiral tetrahydropyran-fused spiro-pyrrolidine-2,3-diones. Chinese Chemical Letters, 2024, 35(6): 109157-. doi: 10.1016/j.cclet.2023.109157

    11. [11]

      Haojie DuanHejingying NiuLina GanXiaodi DuanShuo ShiLi Li . Reinterpret the heterogeneous reaction of α-Fe2O3 and NO2 with 2D-COS: The role of SDS, UV and SO2. Chinese Chemical Letters, 2024, 35(6): 109038-. doi: 10.1016/j.cclet.2023.109038

    12. [12]

      Zizhuo Liang Fuming Du Ning Zhao Xiangxin Guo . Revealing the reason for the unsuccessful fabrication of Li3Zr2Si2PO12 by solid state reaction. Chinese Journal of Structural Chemistry, 2023, 42(11): 100108-100108. doi: 10.1016/j.cjsc.2023.100108

    13. [13]

      Jing CaoDezheng ZhangBianqing RenPing SongWeilin Xu . Mn incorporated RuO2 nanocrystals as an efficient and stable bifunctional electrocatalyst for oxygen evolution reaction and hydrogen evolution reaction in acid and alkaline. Chinese Chemical Letters, 2024, 35(10): 109863-. doi: 10.1016/j.cclet.2024.109863

    14. [14]

      Wei-Tao DouQing-Wen ZengYan KangHaidong JiaYulian NiuJinglong WangLin Xu . Construction and application of multicomponent fluorescent droplets. Chinese Chemical Letters, 2025, 36(1): 109995-. doi: 10.1016/j.cclet.2024.109995

    15. [15]

      Chaozheng HeJia WangLing FuWei Wei . Nitric oxide assists nitrogen reduction reaction on 2D MBene: A theoretical study. Chinese Chemical Letters, 2024, 35(5): 109037-. doi: 10.1016/j.cclet.2023.109037

    16. [16]

      Yiqian JiangZihan YangXiuru BiNan YaoPeiqing ZhaoXu Meng . Mediated electron transfer process in α-MnO2 catalyzed Fenton-like reaction for oxytetracycline degradation. Chinese Chemical Letters, 2024, 35(8): 109331-. doi: 10.1016/j.cclet.2023.109331

    17. [17]

      Yu-Hang MiaoZheng-Xu ZhangXu-Yi HuangYuan-Zhao HuaShi-Kun JiaXiao XiaoMin-Can WangLi-Ping XuGuang-Jian Mei . Catalytic asymmetric dearomative azo-Diels–Alder reaction of 2-vinlyindoles. Chinese Chemical Letters, 2024, 35(4): 108830-. doi: 10.1016/j.cclet.2023.108830

    18. [18]

      Mengli Xu Zhenmin Xu Zhenfeng Bian . Achieving Ullmann coupling reaction via photothermal synergy with ultrafine Pd nanoclusters supported on mesoporous TiO2. Chinese Journal of Structural Chemistry, 2024, 43(7): 100305-100305. doi: 10.1016/j.cjsc.2024.100305

    19. [19]

      Junan PanXinyi LiuHuachao JiYanwei ZhuYanling ZhuangKang ChenNing SunYongqi LiuYunchao LeiKun WangBao ZangLonglu Wang . The strategies to improve TMDs represented by MoS2 electrocatalytic oxygen evolution reaction. Chinese Chemical Letters, 2024, 35(11): 109515-. doi: 10.1016/j.cclet.2024.109515

    20. [20]

      Chenhao ZhangQian ZhangYezhou HuHanyu HuJunhao YangChang YangYe ZhuZhengkai TuDeli Wang . N-doped carbon confined ternary Pt2NiCo intermetallics for efficient oxygen reduction reaction. Chinese Chemical Letters, 2025, 36(3): 110429-. doi: 10.1016/j.cclet.2024.110429

Metrics
  • PDF Downloads(6)
  • Abstract views(1392)
  • HTML views(76)

通讯作者: 陈斌, bchen63@163.com
  • 1. 

    沈阳化工大学材料科学与工程学院 沈阳 110142

  1. 本站搜索
  2. 百度学术搜索
  3. 万方数据库搜索
  4. CNKI搜索
Address:Zhongguancun North First Street 2,100190 Beijing, PR China Tel: +86-010-82449177-888
Powered By info@rhhz.net

/

DownLoad:  Full-Size Img  PowerPoint
Return