Citation: Sajjadi-Ghotbabadi Hadi, Javanshir Shahrzad, Rostami-Charati Faramarz. Synthesis, characterization and antioxidant activities of highly functionalized cyclopentadienes catalyzed by ZnO-nanorod as economic and efficient heterogeneous nano catalyst[J]. Chinese Chemical Letters, ;2017, 28(2): 274-279. doi: 10.1016/j.cclet.2016.09.011 shu

Synthesis, characterization and antioxidant activities of highly functionalized cyclopentadienes catalyzed by ZnO-nanorod as economic and efficient heterogeneous nano catalyst

  • Corresponding author: Javanshir Shahrzad, shjavan@iust.ac.ir
  • Received Date: 23 May 2016
    Revised Date: 7 August 2016
    Accepted Date: 7 August 2016
    Available Online: 21 February 2016

Figures(7)

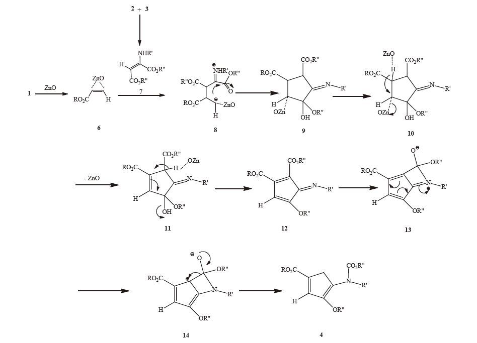
  • A three-component condensation was applied for the preparation of cyclopentadiene derivatives through the reaction of primary amines, alkyl propiolate and dialkyl acetylenedicarboxylate in the presence of catalytic amount of ZnO-nanorods (Zn-NR) under solvent-free conditions at 50℃. The method has proved to be synthetically green, simple, and effective with high atom economy and yield. The catalyst also revealed significant reusability. Moreover, the antioxidant activity and free radical scavenging capacity of the newly synthesized derivatives 4a, 4b, 4c, and 4d was screened using free radical scavenging 2, 2-diphenyl-1-picrylhydrazyl (DPPH) and ferric reducing antioxidant power (FRAP) assays and compared with hydroxytoluene (BHT) and tert-butylhydroquinone (TBHQ). These compounds do not exhibit good DPPH radical scavenging, but they have a desirable FRAP.
  • 加载中
    1. [1]

      P. Anastas, T.C. Williamson, Green Chemistry:Frontiers in Benign Chemical Syntheses and Processes, Oxford Science Publications, New York, 1998.

    2. [2]

      G.W.V. Cave, C.L. Raston, J.L. Scott. Recent advances in solventless organic reactions:towards benign synthesis with remarkable versatility[J]. Chem. Commun., 2001:2159-2169.  

    3. [3]

      R.A. Sheldon. Catalysis and pollution prevention[J]. Chem. Ind., 1997,1:12-15.  

    4. [4]

      S.B. Kalidindi, B.R. Jagirdar. Nanocatalysis and prospects of green chemistry[J]. ChemSusChem, 2012,5:65-75. doi: 10.1002/cssc.201100377

    5. [5]

      D. Beydoun, R. Amal, G. Low, S. McEvoy. Role of nanoparticles in photocatalysis[J]. J. Nanopart. Res., 1999,1:439-458. doi: 10.1023/A:1010044830871

    6. [6]

      S. Rostamizadeh, M. Nojavan, R. Aryan, E. Isapoor, M. Azad. Amino acid-based ionic liquid immobilized on α-Fe2O3-MCM-41:an efficient magnetic nanocatalyst and recyclable reaction media for the synthesis of quinazolin-4(3H)-one derivatives[J]. J. Mol. Catal. A, 2013,374-375:102-110. doi: 10.1016/j.molcata.2013.04.002

    7. [7]

      Z. Mirjafary, H. Saeidian, A. Sadeghi, F.M. Moghaddam. ZnO nanoparticles:an efficient nanocatalyst for the synthesis of (β-acetamido ketones/esters via a multi-component reaction[J]. Catal. Commun., 2008,9:299-306. doi: 10.1016/j.catcom.2007.06.018

    8. [8]

      F.M. Moghaddam, H. Saeidian. Controlled microwave-assisted synthesis of ZnO nanopowder and its catalytic activity for O-acylation of alcohol and phenol[J]. Mater. Sci. Eng.:B, 2007,139:265-269. doi: 10.1016/j.mseb.2007.03.002

    9. [9]

      L. Lietti, E. Tronconi, P. Forzatti, G. Busca. Surface properties of ZnO-based catalysts and related mechanistic features of the higher alcohol synthesis by FT-IR spectroscopy and TPSR[J]. J. Mol. Catal., 1989,55:43-54. doi: 10.1016/0304-5102(89)80241-X

    10. [10]

      M. Gupta, S. Paul, R. Gupta, A. Loupy. ZnO:a versatile agent for benzylic oxidations[J]. Tetrahedron Lett., 2005,46:4957-4960. doi: 10.1016/j.tetlet.2005.05.104

    11. [11]

      T.J. Kealy, P.L. Pauson. A new type of organo-iron compound[J]. Nature, 1951,168:1039-1040.  

    12. [12]

      G. Wilkinson, F.G.A. Stone, E.W. Abel, Comprehensive Organometallic Chemistry, Pergamon, Oxford, 1982, pp. 3-7.

    13. [13]

      U. Siemeling. Chelate complexes of cyclopentadienyl ligands bearing pendant Odonors[J]. Chem. Rev., 2000,100:1495-1526. doi: 10.1021/cr990287m

    14. [14]

      H. Butenschön. Cyclopentadienylmetal complexes bearing pendant phosphorus, arsenic, and sulfur ligands[J]. Chem. Rev., 2000,100:1527-1564. doi: 10.1021/cr940265u

    15. [15]

      A.D. Allen, T.T. Tidwell. Antiaromaticity in open-shell cyclopropenyl to cycloheptatrienyl cations, anions, free radicals, and radical ions[J]. Chem. Rev., 2001,101:1333-1348. doi: 10.1021/cr990316t

    16. [16]

      V. Nair, R.S. Menon, P.B. Beneesh, V. Sreekumar, S. Bindu. A novel multicomponent reaction involving isocyanide, dimethyl acetylenedicarboxylate (DMAD), and electrophilic styrenes:facile synthesis of highly substituted cyclopentadienes[J]. Org. Lett., 2004,6:767-769. doi: 10.1021/ol036491k

    17. [17]

      A. Gutnov, B. Heller, H.J. Drexler, A. Spannenberg, G. Oehme. Tartrate-derived cyclopentadienes for the synthesis of chiral substituted (η5-cyclopentadiene) (η4-cycloocta-1, 5-diene) cobalt (I) complexes[J]. Organometallics, 2003,22:1550-1553. doi: 10.1021/om020982b

    18. [18]

      O.T. Beachley Jr., D.J. MacRae, M.R. Churchill, A.Y. Kovalevsky, E.S. Robirds, Cyclopentadiene elimination reactions for the preparation of organoindium (III) derivatives. Crystal and molecular structures of Me2In (acac), (Me3CCH2)2In (acac), (Me)(Me3CCH2) In (acac), and[Me2InNH (t-Bu)]2, Organometallics 22(2003) 3991-4000.

    19. [19]

      P.A. Deck, M.M. Konaté, B.V. Kelly, C. Slebodnick. C-F activation reactions of (pentafluorophenyl) cyclopentadiene and 3-(pentafluorophenyl) indene with tetrakis (dimethylamido) titanium (IV)[J]. Organometallics, 2004,23:1089-1097. doi: 10.1021/om034385g

    20. [20]

      B.Y. Lee, H. Moon, Y.K. Chung, N. Jeong. Generation of cyclopentadienyl ligands via the Pauson-Khand and retro-Diels-Alder reactions[J]. J. Am. Chem. Soc., 1994,116:2163-2164. doi: 10.1021/ja00084a074

    21. [21]

      W.T. Gong, G.L. Ning, X.C. Li, L. Wang, Y. Lin. A facile oxidation and oxygen insertion of the cyclopentadiene ring by molecular oxygen in solution[J]. J. Org. Chem., 2005,70:5769-5770.  

    22. [22]

      A. Kumar, S.S. Pawar. AlCl3-catalysed dimerization of 1, 3-cyclopentadiene in the chloroaluminate room temperature ionic liquid[J]. J. Mol. Catal. A:Chem., 2004,208:33-37. doi: 10.1016/S1381-1169(03)00510-7

    23. [23]

      I. Yavari, M.J. Bayat. Ph3P-mediated tandem synthesis of functionalized cyclopentadienes from primary alkylamines and acetylenic esters[J]. Synlett, 2010:2293-2295.  

    24. [24]

      (a) B. Halliwell, Antioxidant defence mechanisms:from the beginning to the end (of the beginning), Free Radical Res. 31(1999) 261-272; (b) F. Ahmadi, M. Kadivar, M. Shahedi, Antioxidant activity of Kelussia odoratissima Mozaff. in model and food systems, Food Chem. 105(2007) 57-64.

    25. [25]

      M.A. Babizhayev, A.I. Deyev, V.N. Yermakovea, I.V. Brikman, J. Bours. Lipid peroxidation and cataracts:N-acetylcarnosine as a therapeutic tool to manage age-related cataracts in human and in canine eyes[J]. Drugs R D, 2004,5:125-139. doi: 10.2165/00126839-200405030-00001

    26. [26]

      L. Liu, M. Meydani. Combined vitamin C and E supplementation retards early progression of arteriosclerosis in heart transplant patients[J]. Nutr. Rev., 2002,60:368-371. doi: 10.1301/00296640260385810

    27. [27]

      (a) M. Sabbaghan, A. Anaraki Firooz, V. Jan Ahmadi, The effect of template on morphology, optical and photocatalytic properties of ZnO nanostructures, J. Mol. Liq. 175(2012) 135-140; (b) R. Hajinasiri, Z. Hossaini, F. Sheikholeslami-Farahani, ZnO-nanorods as the catalyst for the synthesis of 1, 3-thiazole derivatives via multicomponent reactions, Comb. Chem. High Throughput Screen. 18(2015) 42-47.

    28. [28]

      K. Shimada, K. Fujikawa, K. Yahara, T. Nakamura. Antioxidative properties of xanthan on the autoxidation of soybean oil in cyclodextrin emulsion[J]. J. Agric. Food Chem., 1992,40:945-948. doi: 10.1021/jf00018a005

    29. [29]

      G.C. Yen, P.D. Duh. Scavenging effect of methanolic extracts of Peanut Hulls on free-radical and active-oxygen species[J]. J. Agric. Food Chem., 1994,42:629-632. doi: 10.1021/jf00039a005

    30. [30]

      A. Yildırım, A. Mavi, A.A. Kara. Determination of antioxidant and antimicrobial activities of Rumex crispus L. extracts[J]. J. Agric. Food Chem., 2001,49:4083-4089. doi: 10.1021/jf0103572

    31. [31]

      M. Hosseini-Sarvari, H. Sharghi, S. Etemad. Nanocrystalline ZnO for Knoevenagel condensation and reduction of the carbon, carbon double bond in conjugated alkenes[J]. Helvet. Chim. Acta, 2008,91:715-724. doi: 10.1002/(ISSN)1522-2675

    32. [32]

      A.R. Saundane, K.N. Mathada. Synthesis, characterization, and biological evaluation of Schiff bases containing indole moiety and their derivatives[J]. Monatsh. Chem., 2015,146:1751-1761. doi: 10.1007/s00706-015-1440-9

    33. [33]

      A.M. Bidchol, A. Wilfred, P. Abhijna, R. Harish. Free radical scavenging activity of aqueous and ethanolic extract of Brassica oleracea L. var. italica[J]. Food Bioprocess Tech., 2011,4:1137-1143. doi: 10.1007/s11947-009-0196-9

    34. [34]

      M. Oyaizu. Studies on products of browning reaction:antioxidative activities of products of browning reaction prepared from glucosamine[J]. Jpn. J. Nutr. Diet., 1986,44:307-315. doi: 10.5264/eiyogakuzashi.44.307

  • 加载中
    1. [1]

      Yi LuoLin Dong . Multicomponent remote C(sp2)-H bond addition by Ru catalysis: An efficient access to the alkylarylation of 2H-imidazoles. Chinese Chemical Letters, 2024, 35(10): 109648-. doi: 10.1016/j.cclet.2024.109648

    2. [2]

      Yao ZouDifei GongHaiguang YangHongmei YuGuorong HeNingbo GongLianhua FangGuanhua DuYang Lu . Prediction, screening, characterization, antioxidant and antihypoxic effects of multi-component zwitterionic cocrystals of dietary flavonoids with picolinic acid. Chinese Chemical Letters, 2025, 36(9): 110768-. doi: 10.1016/j.cclet.2024.110768

    3. [3]

      Shifang SongChenyu WuLi ZhangDezhi YangYang LuZhengzheng Zhou . Unpacking phase transitions in multi-component drug systems: A case study. Chinese Chemical Letters, 2025, 36(7): 110911-. doi: 10.1016/j.cclet.2025.110911

    4. [4]

      Qiang FengJindong HaoYa HuRong FuWei WeiDong Yi . Photocatalytic multi-component synthesis of ester-containing quinoxalin-2(1H)-ones using water as the hydrogen donor. Chinese Chemical Letters, 2025, 36(6): 110582-. doi: 10.1016/j.cclet.2024.110582

    5. [5]

      Xiuzheng DengYi KeJiawen DingYingtang ZhouHui HuangQian LiangZhenhui Kang . Construction of ZnO@CDs@Co3O4 sandwich heterostructure with multi-interfacial electron-transfer toward enhanced photocatalytic CO2 reduction. Chinese Chemical Letters, 2024, 35(4): 109064-. doi: 10.1016/j.cclet.2023.109064

    6. [6]

      Kebo XieQian ZhangFei YeJungui Dai . A multi-enzymatic cascade reaction for the synthesis of bioactive C-oligosaccharides. Chinese Chemical Letters, 2024, 35(6): 109028-. doi: 10.1016/j.cclet.2023.109028

    7. [7]

      Yuxin WangZhengxuan SongYutao LiuYang ChenJinping LiLibo LiJia Yao . Methyl functionalization of trimesic acid in copper-based metal-organic framework for ammonia colorimetric sensing at high relative humidity. Chinese Chemical Letters, 2024, 35(6): 108779-. doi: 10.1016/j.cclet.2023.108779

    8. [8]

      Ji ChenYifan ZhaoShuwen ZhaoHua ZhangYouyu LongLingfeng YangMin XiZitao NiYao ZhouAnran Chen . Heterogeneous bimetallic oxides/phosphides nanorod with upshifted d band center for efficient overall water splitting. Chinese Chemical Letters, 2024, 35(9): 109268-. doi: 10.1016/j.cclet.2023.109268

    9. [9]

      Xiao LiuHangqi LiuQian WangDandan ZhengSibo WangMasakazu AnpoGuigang Zhang . Rational synthesis of poly(heptazine imides) nanorod in ternary LiCl/NaCl/KCl for visible light hydrogen production. Chinese Chemical Letters, 2025, 36(12): 111621-. doi: 10.1016/j.cclet.2025.111621

    10. [10]

      Huixin ChenChen ZhaoHongjun YueGuiming ZhongXiang HanLiang YinDing Chen . Unraveling the reaction mechanism of high reversible capacity CuP2/C anode with native oxidation POx component for sodium-ion batteries. Chinese Chemical Letters, 2025, 36(1): 109650-. doi: 10.1016/j.cclet.2024.109650

    11. [11]

      Jiahui LiQiao ShiYing XueMingde ZhengLong LiuTuoyu GengDaoqing GongMinmeng Zhao . The effects of in ovo feeding of selenized glucose on liver selenium concentration and antioxidant capacity in neonatal broilers. Chinese Chemical Letters, 2024, 35(6): 109239-. doi: 10.1016/j.cclet.2023.109239

    12. [12]

      Guizhi ZhuJunrui TanLongfei TanQiong WuXiangling RenChanghui FuZhihui ChenXianwei Meng . Growth of CeCo-MOF in dendritic mesoporous organosilica as highly efficient antioxidant for enhanced thermal stability of silicone rubber. Chinese Chemical Letters, 2025, 36(1): 109669-. doi: 10.1016/j.cclet.2024.109669

    13. [13]

      Qiang LuoJinfeng SunZhibo LiBin LiuJianxun Ding . Thermo-sensitive poly(amino acid) hydrogel mediates cytoprotection through an antioxidant mechanism. Chinese Chemical Letters, 2025, 36(7): 110433-. doi: 10.1016/j.cclet.2024.110433

    14. [14]

      Xicheng LiDong MoShoushan HuMeng PanMeng WangTingyu YangChangxing QuYujia WeiJianan LiHanzhi DengZhongwu BeiTianying LuoQingya LiuYun YangJun LiuJun WangZhiyong Qian . A Pt@ZIF-8/ALN-ac/GelMA composite hydrogel with antibacterial, antioxidant, and osteogenesis for periodontitis. Chinese Chemical Letters, 2025, 36(9): 110674-. doi: 10.1016/j.cclet.2024.110674

    15. [15]

      Jianqiu LiYi ZhangSongen LiuJie NiuRong ZhangYong ChenYu Liu . Cucurbit[8]uril-based non-covalent heterodimer realized NIR cell imaging through topological transformation from nanowire to nanorod. Chinese Chemical Letters, 2024, 35(10): 109645-. doi: 10.1016/j.cclet.2024.109645

    16. [16]

      Yi LiuPeng LeiYang FengShiwei FuXiaoqing LiuSiqi ZhangBin TuChen ChenYifan LiLei WangQing-Dao Zeng . Topologically engineering of π-conjugated macrocycles: Tunable emission and photochemical reaction toward multi-cyclic polymers. Chinese Chemical Letters, 2024, 35(10): 109571-. doi: 10.1016/j.cclet.2024.109571

    17. [17]

      Shujun NingZhiyuan WeiZhening ChenTianmin WuLu Zhang . Curvature and defect formation synergistically promote the photocatalysis of ZnO slabs. Chinese Chemical Letters, 2025, 36(7): 111057-. doi: 10.1016/j.cclet.2025.111057

    18. [18]

      Guangyao WangZhitong XuYe QiYueguang FangGuiling NingJunwei Ye . Electrospun nanofibrous membranes with antimicrobial activity for air filtration. Chinese Chemical Letters, 2024, 35(10): 109503-. doi: 10.1016/j.cclet.2024.109503

    19. [19]

      Jie RenHao ZongYaqun HanTianyi LiuShufen ZhangQiang XuSuli Wu . Visual identification of silver ornament by the structural color based on Mie scattering of ZnO spheres. Chinese Chemical Letters, 2024, 35(9): 109350-. doi: 10.1016/j.cclet.2023.109350

    20. [20]

      Bing ShenTongwei YuanWenshuang ZhangYang ChenJiaqiang Xu . Complex shell Fe-ZnO derived from ZIF-8 as high-quality acetone MEMS sensor. Chinese Chemical Letters, 2024, 35(11): 109490-. doi: 10.1016/j.cclet.2024.109490

Metrics
  • PDF Downloads(1)
  • Abstract views(1227)
  • HTML views(70)

通讯作者: 陈斌, bchen63@163.com
  • 1. 

    沈阳化工大学材料科学与工程学院 沈阳 110142

  1. 本站搜索
  2. 百度学术搜索
  3. 万方数据库搜索
  4. CNKI搜索
Address:Zhongguancun North First Street 2,100190 Beijing, PR China Tel: +86-010-82449177-888
Powered By info@rhhz.net

/

DownLoad:  Full-Size Img  PowerPoint
Return