Citation: M. Shaban Samy, Aiad Ismail, M. El-Sukkary Mohamed, A. Soliman E., Y. El-Awady Moshira. Synthesis of newly cationic surfactant based on dimethylaminopropyl amine and their silver nanoparticles: Characterization; surface activity and biological activity[J]. Chinese Chemical Letters, ;2017, 28(2): 264-273. doi: 10.1016/j.cclet.2016.09.010 shu

Synthesis of newly cationic surfactant based on dimethylaminopropyl amine and their silver nanoparticles: Characterization; surface activity and biological activity

  • Corresponding author: M. Shaban Samy, dr.samyshaban@yahoo.com
  • Received Date: 23 May 2016
    Revised Date: 22 August 2016
    Accepted Date: 22 August 2016
    Available Online: 21 February 2016

Figures(9)

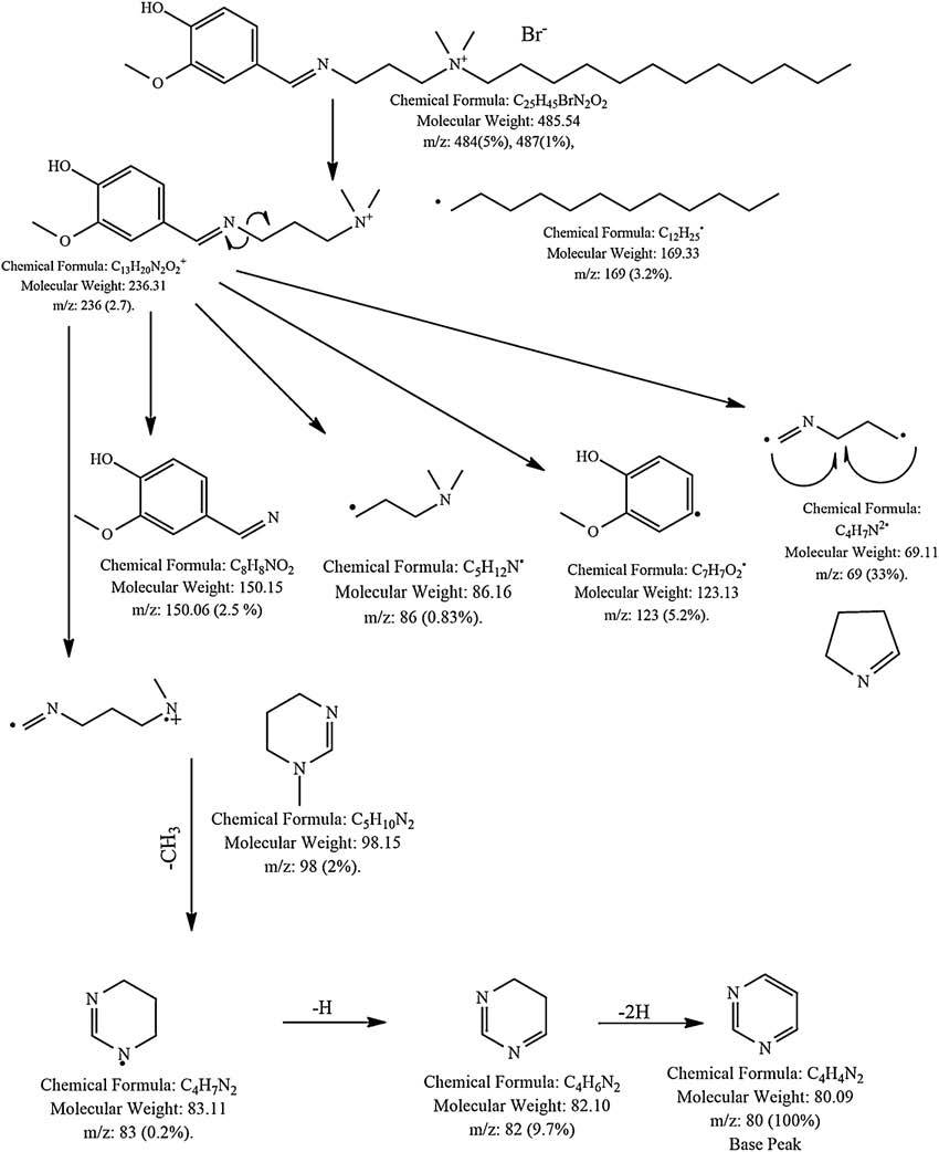
  • The chemical structure of newly synthesized cationic surfactants based on Schiff base was confirmed using Fourier transform infrared spectroscopy, proton nuclear magnetic resonance spectroscopy, and mass spectroscopy. The synthesized surfactants were used in the synthesis of silver nanoparticles by a simple one-step method. The silver nanoparticle (AgNPs) formation was confirmed using transmission electron microscopy (TEM), electron diffraction (SAED), dynamic light scattering (DLS), and energy dispersive X-ray spectroscopy (EDX). The structure of the surfactant played an important role in the synthesis process. Increasing the hydrophobic chain length, the stability, and the amount of surfactant increased the quantity of AgNPs formed. The surface activity of the synthesized cationic surfactants was determined using surface tension measurements at three different temperatures. The synthesized surfactants showed a high tendency toward adsorption and micellization. Increasing the hydrophobic chain length of the synthesized surfactant increased its adsorption. Screening the synthesized cationic surfactants and their nano-form against bacteria and fungi showed that they are highly effective. The silver nanoparticles enhanced the biological activity of the synthesized cationic surfactants.
  • 加载中
    1. [1]

      N.A. Negm, A.A. Abd-Elaal, D.E. Mohamed, A.F. El-Farargy, S. Mohamed. Synthesis and evaluation of silver nanoparticles loaded with Gemini surfactants:surface and antimicrobial activity[J]. J. Ind. Eng. Chem., 2015,24:34-41. doi: 10.1016/j.jiec.2014.09.006

    2. [2]

      T. Mishra, R.K. Sahu, S.H. Lim, L.G. Salaman-Riba, S. Bhattacharjee. Hexadecylamine capped silver and gold nanoparticles:comparative study on formation and self-organization[J]. Mater. Chem. Phys., 2010,123:540-545. doi: 10.1016/j.matchemphys.2010.05.011

    3. [3]

      S.S. Wei, X.Y. Xu, Y.J. Liu, J.M. Yang. Preparation of hydrophobic nano-silver colloid and aqueous nano-silver colloid by phase transfer[J]. Mater. Chem. Phys., 2011,126:12-15. doi: 10.1016/j.matchemphys.2010.11.012

    4. [4]

      A.M. Al Sabagh. Surface and thermodynamic properties of p-alkylbenzene polyethoxylated and glycerated sulfonate derivative surfactants[J]. Colloids Surf. A:Physicochem. Eng. Asp., 1998,134:313-320. doi: 10.1016/S0927-7757(97)00205-7

    5. [5]

      V.I. Martín, R.R. de la Haba, A. Ventosa. Colloidal and biological properties of cationic single-chain and dimeric surfactants[J]. Colloids Surf. B, 2014,114:247-254. doi: 10.1016/j.colsurfb.2013.10.017

    6. [6]

      I. Ahmad, P. Patial, C. Kaur, S. Kaur. Cationic imidazolium monomeric surfactants:their synthesis and surface active properties[J]. J. Surf. Deterg., 2014,17:269-277. doi: 10.1007/s11743-013-1527-4

    7. [7]

      S.M. Shaban, I. Aiad, M.M. El-Sukkary, E.A. Soliman, M.Y. El-Awady. Inhibition of mild steel corrosion in acidic medium by vanillin cationic surfactants[J]. J. Mol. Liq., 2015,203:20-28. doi: 10.1016/j.molliq.2014.12.033

    8. [8]

      M.I. Abdou, A.M. Al-sabagh, M.M. Dardir. Evaluation of Egyptian bentonite and nano-bentonite as drilling mud[J]. Egypt. J. Petrol., 2013,22:53-59. doi: 10.1016/j.ejpe.2012.07.002

    9. [9]

      S.M. Shaban, I. Aiad, M.M. El-Sukkary, E.A. Soliman, M.Y. El-Awady. Evaluation of some cationic surfactants based on dimethylaminopropylamine as corrosion inhibitors[J]. J. Ind. Eng. Chem., 2015,21:1029-1038. doi: 10.1016/j.jiec.2014.05.012

    10. [10]

      W. Zieliński, K.A. Wilk, G. Para. Synthesis, surface activity and antielectrostatic properties of new soft dichain cationic surfactants[J]. Colloids Surf. A:Physicochem. Eng. Asp., 2015,480:63-70. doi: 10.1016/j.colsurfa.2015.01.050

    11. [11]

      M. Potempa, M. Hafner, C. Frech. Mechanism of Gemini disulfide detergent mediated oxidative refolding of lysozyme in a new artificial chaperone system[J]. Protein J., 2010,29:457-465. doi: 10.1007/s10930-010-9279-8

    12. [12]

      C.C. Lai, K.M. Chen. Dyeing properties of modified Gemini surfactants on a disperse dye-polyester system[J]. Text. Res. J., 2008,78:382-389. doi: 10.1177/0040517507087676

    13. [13]

      R. Janardhanan, M. Karuppaiah, N. Hebalkar, T.N. Rao. Synthesis and surface chemistry of nano silver particles[J]. Polyhedron, 2009,28:2522-2530. doi: 10.1016/j.poly.2009.05.038

    14. [14]

      Z. Khan, S.A. Al-Thabaiti, A.Y. Obaid, A.O. Al-Youbi. Preparation and characterization of silver nanoparticles by chemical reduction method[J]. Colloids Surf. B, 2011,82:513-517. doi: 10.1016/j.colsurfb.2010.10.008

    15. [15]

      Z.L. Yang, D.D. Zhai, X. Wang, J. Wei. In situ synthesis of highly mono dispersed non aqueous small-sized silver nano-colloids and silver/polymer nanocomposites by ultraviolet photo polymerization[J]. Colloids Surf. A:Physicochem. Eng. Asp., 2014,448:107-114. doi: 10.1016/j.colsurfa.2014.02.017

    16. [16]

      I. Aiad, M.M. El-Sukkary, E.A. Soliman, M.Y. El-Awady, S.M. Shaban. In situ and green synthesis of silver nanoparticles and their biological activity[J]. J. Ind. Eng. Chem., 2014,20:3430-3439. doi: 10.1016/j.jiec.2013.12.031

    17. [17]

      S.M. Shaban, I. Aiad, M.M. El-Sukkary, E.A. Soliman, M.Y. El-Awady. Preparation of capped silver nanoparticles using sunlight and cationic surfactants and their biological activity[J]. Chin. Chem. Lett., 2015,26:1415-1420. doi: 10.1016/j.cclet.2015.06.006

    18. [18]

      N.M. Zaina, A.G.F. Stapley, G. Sham. Green synthesis of silver and copper nanoparticles using ascorbic acid and chitosan for antimicrobial applications[J]. Carbohydr. Polym., 2014,112:195-202. doi: 10.1016/j.carbpol.2014.05.081

    19. [19]

      C.J. Lee, K.Y. Nam, D.Y. Kim. New routes to the preparation of silver-soft liner nanocomposites as an antibacterial agent[J]. J. Ind. Eng. Chem., 2014,20:1276-1279. doi: 10.1016/j.jiec.2013.07.004

    20. [20]

      M.E. Young, H.I. Alakomi, I. Fortune. Development of a biocidal treatment regime to inhibit biological growths on cultural heritage:BIODAM[J]. Environ. Geol., 2008,56:631-641. doi: 10.1007/s00254-008-1455-1

    21. [21]

      I. Aiad, M.M. El-Sukkary, E.A. Soliman, M.Y. El-Awady, S.M. Shaban. Characterization, surface properties and biological activity of new prepared cationic surfactants[J]. J. Ind. Eng. Chem., 2014,20:1633-1640. doi: 10.1016/j.jiec.2013.08.010

    22. [22]

      S. Chavda, P. Bahadur, V.K. Aswal. Interaction between nonionic and Gemini (cationic) surfactants:effect of spacer chain length[J]. J. Surf. Deterg., 2011,14:353-362. doi: 10.1007/s11743-011-1263-6

    23. [23]

      S.M. Shaban, I. Aiad, M.M. El-Sukkary, E.A. Soliman, M.Y. El-Awady. Synthesis, surface, thermodynamic properties and biological activity of dimethylaminopropylamine surfactants[J]. J. Ind. Eng. Chem., 2014,20:4194-4201. doi: 10.1016/j.jiec.2014.01.020

    24. [24]

      D.N. Muanza, B.W. Kim, K.L. Euler, L. Williams. Antibacterial and antifungal activities of nine medicinal plants from Zaire[J]. Int. J. Pharm., 1994,32:337-345. doi: 10.3109/13880209409083012

    25. [25]

      J.W.T. Spinks, R.J.Y. Woods, An Introduction to Radiation Chemistry, 3rd ed., Wiley Interscience, New York, 1990p. 255.

    26. [26]

      S.M. Shaban, I. Aiad, M.M. El-Sukkary, E.A. Soliman, M.Y. El-Awady. One step green synthesis of hexagonal silver nanoparticles and their biological activity[J]. J. Ind. Eng. Chem., 2014,20:4473-4481. doi: 10.1016/j.jiec.2014.02.019

    27. [27]

      B. Wiley, T. Herricks, Y.G. Sun, Y.N. Xia. Polyol synthesis of silver nanoparticles:use of chloride and oxygen to promote the formation of single-crystal, truncated cubes and tetrahedrons[J]. Nano Lett., 2004,4:1733-1739. doi: 10.1021/nl048912c

    28. [28]

      A. Tao, P. Sinsermsuksakul, P.D. Yang. Polyhedral silver nanocrystals with distinct scattering signatures[J]. Angew. Chem. Int. Ed., 2006,45:4597-4601. doi: 10.1002/(ISSN)1521-3773

    29. [29]

      K. Yvon, W. Jeitschko, E. Parthé. LAZY PULVERIX, a computer program, for calculating X-ray and neutron diffraction powder patterns[J]. J. Appl. Crystallogr., 1977,10:73-74. doi: 10.1107/S0021889877012898

    30. [30]

      G.A. Bhaduri, R. Little, R.B. Khomane. Green synthesis of silver nanoparticles using sunlight[J]. J. Photochem. Photobiol. A:Chem., 2013,258:1-9. doi: 10.1016/j.jphotochem.2013.02.015

    31. [31]

      M.V. Roldán, L.B. Scaffardi, O. de Sanctis, N. Pellegri. Optical properties and extinction spectroscopy to characterize the synthesis of amine capped silver nanoparticles[J]. Mater. Chem. Phys., 2008,112:984-990. doi: 10.1016/j.matchemphys.2008.06.057

    32. [32]

      M. Chen, Y.G. Feng, X. Wang. Silver nanoparticles capped by oleylamine:formation, growth, and self-organization[J]. Langmuir, 2007,23:5296-5304. doi: 10.1021/la700553d

    33. [33]

      J. Hedberg, M. Lundin, T. Lowe. Interactions between surfactants and silver nanoparticles of varying charge[J]. J. Colloids Interface Sci., 2012,369:193-201. doi: 10.1016/j.jcis.2011.12.004

    34. [34]

      M. Zargar, K. Shameli, G.R. Najafi, F. Farahani. Plant mediated green biosynthesis of silver nanoparticles using Vitex negundo L. extract[J]. J. Ind. Eng. Chem., 2014,20:4169-4175. doi: 10.1016/j.jiec.2014.01.016

    35. [35]

      S. Elzey, V.H. Grassian. Agglomeration, isolation and dissolution of commercially manufactured silver nanoparticles in aqueous environments[J]. J. Nanopart. Res., 2010,12:1945-1958. doi: 10.1007/s11051-009-9783-y

    36. [36]

      K.S. Lokesh, A. Shambhulinga, N. Manjunatha, M. Imadadulla, M. Hojamberdiev. Porphyrin macrocycle-stabilized gold and silver nanoparticles and their application in catalysis of hydrogen peroxide[J]. Dyes Pigm., 2015,120:155-160. doi: 10.1016/j.dyepig.2015.04.002

    37. [37]

      S.X.Hu, Y.L.Hsieh. Synthesis of surface bound silver nanoparticles on cellulose fibers using lignin as multi-functional agent[J]. Carbohydr. Polym., 2015,131:134-141. doi: 10.1016/j.carbpol.2015.05.060

    38. [38]

      S.M. Shaban, I. Aiad, M.M. El-Sukkary, E.A. Soliman, M.Y. El-Awady. Surface and biological activity of N-(dimethoxybenzylidene) amino) propyl)-N, N-dimethylalkyl-1-ammonium derivatives as cationic surfactants[J]. J. Mol. Liq., 2015,207:256-265. doi: 10.1016/j.molliq.2015.03.043

    39. [39]

      P. Patial, A. Shaheen, I. Ahmad. Synthesis, surface active and thermal properties of novel imidazolium cationic monomeric surfactants[J]. J. Ind. Eng. Chem., 2014,20:4267-4275. doi: 10.1016/j.jiec.2014.01.032

    40. [40]

      B. Gao, M.M. Sharma. A family of alkyl sulfate gemini surfactants. 1. Characterization of surface properties[J]. J. Colloids Interface Sci., 2013,404:80-84. doi: 10.1016/j.jcis.2013.04.043

    41. [41]

      X. Zhong, J.W. Guo, L.J. Feng, X.J. Xu, D.Y. Zhu. Cationic Gemini surfactants based on adamantane:synthesis, surface activity and aggregation properties[J]. Colloids Surf. A:Physicochem. Eng. Asp., 2014,441:572-580. doi: 10.1016/j.colsurfa.2013.10.016

    42. [42]

      S.M. Shaban, I. Aiad, H.A. Fetouh, A. Maher. Amidoamine double tailed cationic surfactant based on dimethylaminopropylamine:synthesis, characterization and evaluation as biocide[J]. J. Mol. Liq., 2015,212:699-707. doi: 10.1016/j.molliq.2015.10.024

    43. [43]

      M.A. Rub, M.S. Sheikh, F. Khan, S.B. Khan, A.M. Asiri. Bile salts aggregation behavior at various temperatures under the influence of amphiphilic drug imipramine hydrochloride in aqueous medium[J]. Z. Phys. Chem., 2014,228:747-767.  

    44. [44]

      C.C. Ruiz. Thermodynamics of micellization of tetradecyltrimethylammonium bromide in ethylene glycol-water binary mixtures[J]. Colloids Polym. Sci., 1999,277:701-707. doi: 10.1007/s003960050443

    45. [45]

      T. Yoshimura, T. Kusano, H. Iwase, M. Shibayama, T. Ogawa, H. Kurata. Starshaped trimeric quaternary ammonium bromide surfactants:adsorption and aggregation properties[J]. Langmuir, 2012,28:9322-9331. doi: 10.1021/la301220y

    46. [46]

      S.M. Shaban, I. Aiad, H.Y. Moustafa, A. Hamed. Amidoamine gemini surfactants based dimethylamino propyl amine:preparation, characterization and evaluation as biocide[J]. J. Mol. Liq., 2015,212:907-914. doi: 10.1016/j.molliq.2015.10.048

    47. [47]

      L.F. Zhi, Q.X. Li, Y.L. Li, Y.B. Song. Synthesis, adsorption and aggregation properties of new saccharide-cationic surfactants[J]. Colloids Surf. A:Physicochem. Eng. Asp., 2013,436:684-692. doi: 10.1016/j.colsurfa.2013.08.009

    48. [48]

      C.C. Ren, F. Wang, Z.Q. Zhang. Synthesis, surface activity and aggregation behavior of Gemini imidazolium surfactants 1, 3-bis (3-alkylimidazolium-1-yl) propane bromide[J]. Colloids Surf. A:Physicochem. Eng. Asp., 2015,467:1-8. doi: 10.1016/j.colsurfa.2014.11.031

    49. [49]

      M.T. Garcia, I. Ribosa, L. Perez, A. Manresa, F. Comelles. Self-assembly and antimicrobial activityof long-chain amide-functionalized ionic liquids in aqueous solution[J]. Colloids Surf. B, 2014,123:318-325. doi: 10.1016/j.colsurfb.2014.09.033

    50. [50]

      R. Kamboj, S. Singh, V. Chauhan. Synthesis, characterization and surface properties of N-(2-hydroxyalkyl)-N'-(2-hydroxyethyl) imidazolium surfactants[J]. Colloids Surf. A:Physicochem. Eng. Asp., 2014,441:233-241. doi: 10.1016/j.colsurfa.2013.08.063

    51. [51]

      M.J. Rosen, Surfactants and Interfacial Phenomena, 2nd ed., Wiley, New York, 1989.

    52. [52]

      B. Dong, X.Y. Zhao, L.Q. Zheng. Aggregation behavior of long-chain imidazolium ionic liquids in aqueous solution:micellization and characterization of micelle microenvironment[J]. Colloids Surf. A:Physicochem. Eng. Asp., 2008,317:666-672. doi: 10.1016/j.colsurfa.2007.12.001

    53. [53]

      G.Z. Cao, X.F. Guo, L.H. Jia, X.H. Tian. Aggregation behaviours and bactericidal activities of novel cationic surfactants functionalized with amides and ether groups[J]. RSC Adv., 2015,5:27197-27204. doi: 10.1039/C4RA14645J

    54. [54]

      Z.L. Zhao, X.F. Guo, L.H. Jia, Y.Y. Liu. Synthesis and properties of quaternary ammonium surfactants containing a methoxy benzyl substitute[J]. RSC Adv., 2014,4:56918-56925. doi: 10.1039/C4RA07363K

    55. [55]

      V. Chauhan, S. Singh, R. Mishra, G. Kaur. Synthesis and bio-physicochemical properties of amide-functionalized N-methylpiperazinium surfactants[J]. J. Colloids Interface Sci., 2014,436:122-131. doi: 10.1016/j.jcis.2014.08.029

    56. [56]

      B. Kumar, D. Tikariha, K.K. Ghosh, N. Barbero, P. Quagliotto. Effect of polymers and temperature on critical micelle concentration of some gemini and monomeric surfactants[J]. J. Chem. Thermodyn., 2013,62:178-185. doi: 10.1016/j.jct.2013.03.006

    57. [57]

      A.A. Abd-Elaal, S.M. Tawfik, S.M. Shaban. Simple one step synthesis of nonionic dithiol surfactants and their self-assembling with silver nanoparticles:characterization, surface properties, biological activity[J]. Appl. Surf. Sci., 2015,342:144-153. doi: 10.1016/j.apsusc.2015.03.038

    58. [58]

      S. Chauhan, K. Sharma. Effect of temperature and additives on the critical micelle concentration and thermodynamics of micelle formation of sodium dodecyl benzene sulfonate and dodecyltrimethylammonium bromide in aqueous solution:a conductometric study[J]. J. Chem. Thermodyn., 2014,71:205-211. doi: 10.1016/j.jct.2013.12.019

    59. [59]

      S.M. Tawfik, A.A. Abd-Elaal, S.M. Shaban, A.A. Roshdy. Surface, thermodynamic and biological activities of some synthesized Gemini quaternary ammonium salts based on polyethylene glycol[J]. J. Ind. Eng. Chem., 2015,30:112-119. doi: 10.1016/j.jiec.2015.05.011

    60. [60]

      A.S. Janoff, M.J. Pringle, K.W. Miller. Correlation of general anesthetic potency with solubility in membranes[J]. Biochim. Biophys. Acta, 1981,649:125-128. doi: 10.1016/0005-2736(81)90017-1

    61. [61]

      G. Viscardi, P. Quagliotto, C. Barolo. Synthesis and surface and antimicrobial properties of novel cationic surfactants[J]. J. Org. Chem., 2000,65:8197-8203. doi: 10.1021/jo0006425

    62. [62]

      M.J. Pringle, K.B. Brown, K.W. Miller. Can the lipid theories of anesthesia account for the cutoff in anesthetic potency in homologous series of alcohols[J]. Mol. Pharmacol., 1981,19:49-55.  

    63. [63]

      H. Nagamune, T. Maeda, K. Ohkura. Evaluation of the cytotoxic effects of bisquaternary ammonium antimicrobial reagents on human cells[J]. Toxicol. In Vitro, 2000,14:139-147. doi: 10.1016/S0887-2333(00)00003-5

    64. [64]

      F. Devínsky, A. Kopecka-Leitmanová, F. Šeršeň, P. Balgavý. Cut-off effect in antimicrobial activity and in membrane perturbation efficiency of the homologous series of N, N-dimethylalkylamine oxides[J]. J. Pharm. Pharmacol., 1990,42:790-794. doi: 10.1111/jphp.1990.42.issue-11

    65. [65]

      C. Campanac, L. Pineau, A. Payard, G. Baziard-Mouysset, C. Roques. Interactions between biocide cationic agents and bacterial biofilms[J]. Antimicrob. Agents Chemother., 2002,46:1469-1474. doi: 10.1128/AAC.46.5.1469-1474.2002

    66. [66]

      A.M. Badawi, M.A. Mekawi, A.S. Mohamed, M.Z. Mohamed, M.M. Khowdairy. Surface and biological activity of some novel cationic surfactants[J]. J. Surf. Deterg., 2007,10:243-255. doi: 10.1007/s11743-007-1040-8

    67. [67]

      L. Pérez, A. Pinazo, R. Pons, M. Infante. Gemini surfactants from natural amino acids[J]. Adv. Colloids Interface Sci., 2014,205:134-155. doi: 10.1016/j.cis.2013.10.020

    68. [68]

      I. Sondi, B. Salopek-Sondi. Silver nanoparticles as antimicrobial agent:a case study on E. coli as a model for Gram-negative bacteria[J]. J. Colloids Interface Sci., 2004,275:177-182. doi: 10.1016/j.jcis.2004.02.012

    69. [69]

      H.M. Willemen, L.C.P.M. de Smet, A. Koudijs. Micelle formation and antimicrobial activity of cholic acid derivatives with three permanent ionic head groups[J]. Angew. Chem. Int. Ed., 2002,41:4275-4277. doi: 10.1002/1521-3773(20021115)41:22<4275::AID-ANIE4275>3.0.CO;2-U

    70. [70]

      M. Tiecco, G. Cardinali, L. Roscini, R. Germani, L. Corte. Biocidal and inhibitory activity screening of de novo synthesized surfactants against two eukaryotic and two prokaryotic microbial species[J]. Colloids Surf. B, 2013,111:407-417. doi: 10.1016/j.colsurfb.2013.06.033

  • 加载中
    1. [1]

      Tao YuVadim A. SoloshonokZhekai XiaoHong LiuJiang Wang . Probing the dynamic thermodynamic resolution and biological activity of Cu(Ⅱ) and Pd(Ⅱ) complexes with Schiff base ligand derived from proline. Chinese Chemical Letters, 2024, 35(4): 108901-. doi: 10.1016/j.cclet.2023.108901

    2. [2]

      Ping SunYuanqin HuangShunhong ChenXining MaZhaokai YangJian Wu . Indole derivatives as agrochemicals: An overview. Chinese Chemical Letters, 2024, 35(7): 109005-. doi: 10.1016/j.cclet.2023.109005

    3. [3]

      Wei SunAnjing LiaoLi LeiXu TangYa WangJian Wu . Research progress on piperidine-containing compounds as agrochemicals. Chinese Chemical Letters, 2025, 36(1): 109855-. doi: 10.1016/j.cclet.2024.109855

    4. [4]

      Anjing LiaoWei SunYaming LiuHan YanZhi XiaJian Wu . Pyrrole and pyrrolidine analogs: The promising scaffold in discovery of pesticides. Chinese Chemical Letters, 2025, 36(3): 110094-. doi: 10.1016/j.cclet.2024.110094

    5. [5]

      Ali DaiZhiguo ZhengLiusheng DuanJian WuWeiming Tan . Small molecule chemical scaffolds in plant growth regulators for the development of agrochemicals. Chinese Chemical Letters, 2025, 36(4): 110462-. doi: 10.1016/j.cclet.2024.110462

    6. [6]

      Chao ChenWang GengKe LiQiong LeiZhichao JinXiuhai Gan . Pyridazine: A privileged scaffold in the development of 21st-century pesticides. Chinese Chemical Letters, 2025, 36(8): 110902-. doi: 10.1016/j.cclet.2025.110902

    7. [7]

      Tingting DuSiyu LuZongnan ZhuMei ZhuYan ZhangJian ZhangJixiang Chen . Pyrazole derivatives: Recent advances in discovery and development of pesticides. Chinese Chemical Letters, 2025, 36(9): 110912-. doi: 10.1016/j.cclet.2025.110912

    8. [8]

      Yongming Guo Jie Li Chaoyong Liu . Green Improvement and Educational Design in the Synthesis and Characterization of Silver Nanoparticles. University Chemistry, 2024, 39(3): 258-265. doi: 10.3866/PKU.DXHX202309057

    9. [9]

      A-Yang WangSheng-Hua ZhouMao-Yin RanXin-Tao WuHua LinQi-Long Zhu . Regulating the key performance parameters for Hg-based IR NLO chalcogenides via bandgap engineering strategy. Chinese Chemical Letters, 2024, 35(10): 109377-. doi: 10.1016/j.cclet.2023.109377

    10. [10]

      Yi Herng ChanZhe Phak ChanSerene Sow Mun LockChung Loong YiinShin Ying FoongMee Kee WongMuhammad Anwar IshakVen Chian QuekShengbo GeSu Shiung Lam . Thermal pyrolysis conversion of methane to hydrogen (H2): A review on process parameters, reaction kinetics and techno-economic analysis. Chinese Chemical Letters, 2024, 35(8): 109329-. doi: 10.1016/j.cclet.2023.109329

    11. [11]

      Siran Wang Yinuo Wang Yilong Zhao Dazhen Xu . Advances in the Application and Preparation of Rhodanine and Its Derivatives. University Chemistry, 2025, 40(5): 318-327. doi: 10.12461/PKU.DXHX202407033

    12. [12]

      Chong LiuLing LiJiahui GaoYanwei LiNazhen ZhangJing ZangCong LiuZhaopei GuoYanhui LiHuayu Tian . The study of antibacterial activity of cationic poly(β-amino ester) regulating by amphiphilic balance. Chinese Chemical Letters, 2025, 36(2): 110118-. doi: 10.1016/j.cclet.2024.110118

    13. [13]

      Jie RenHao ZongYaqun HanTianyi LiuShufen ZhangQiang XuSuli Wu . Visual identification of silver ornament by the structural color based on Mie scattering of ZnO spheres. Chinese Chemical Letters, 2024, 35(9): 109350-. doi: 10.1016/j.cclet.2023.109350

    14. [14]

      Ce LiangQiuhui SunAdel Al-SalihyMengxin ChenPing Xu . Recent advances in crystal phase induced surface-enhanced Raman scattering. Chinese Chemical Letters, 2024, 35(9): 109306-. doi: 10.1016/j.cclet.2023.109306

    15. [15]

      Jia JIZhaoyang GUOWenni LEIJiawei ZHENGHaorong QINJiahong YANYinling HOUXiaoyan XINWenmin WANG . Two dinuclear Gd(Ⅲ)-based complexes constructed by a multidentate diacylhydrazone ligand: Crystal structure, magnetocaloric effect, and biological activity. Chinese Journal of Inorganic Chemistry, 2025, 41(4): 761-772. doi: 10.11862/CJIC.20240344

    16. [16]

      Zhenyu HuZhenchun YangShiqi ZengKun WangLina LiChun HuYubao Zhao . Cationic surface polarization centers on ionic carbon nitride for efficient solar-driven H2O2 production and pollutant abatement. Chinese Chemical Letters, 2024, 35(10): 109526-. doi: 10.1016/j.cclet.2024.109526

    17. [17]

      Guoliang Liu Zhiqiang Liu Anmin Zheng . Modulation of zeolite surface realizes dynamic copper species redispersion. Chinese Journal of Structural Chemistry, 2024, 43(6): 100308-100308. doi: 10.1016/j.cjsc.2024.100308

    18. [18]

      Cheng WangLi ZhouZhenghao FeiYanqing WangYukou Du . Surface dynamic reconstruction of Ni-based catalysts for electrooxidation reaction. Chinese Chemical Letters, 2025, 36(12): 111746-. doi: 10.1016/j.cclet.2025.111746

    19. [19]

      Chengde WangLiping HuangShanshan WangLihao WuYi WangJun Dong . A distinction of gliomas at cellular and tissue level by surface-enhanced Raman scattering spectroscopy. Chinese Chemical Letters, 2024, 35(5): 109383-. doi: 10.1016/j.cclet.2023.109383

    20. [20]

      Shu TianWenxin HuangJunrui HuHuiling WangZhipeng ZhangLiying XuJunrong LiYao Sun . Exploring the frontiers of plant health: Harnessing NIR fluorescence and surface-enhanced Raman scattering modalities for innovative detection. Chinese Chemical Letters, 2025, 36(3): 110336-. doi: 10.1016/j.cclet.2024.110336

Metrics
  • PDF Downloads(4)
  • Abstract views(1388)
  • HTML views(34)

通讯作者: 陈斌, bchen63@163.com
  • 1. 

    沈阳化工大学材料科学与工程学院 沈阳 110142

  1. 本站搜索
  2. 百度学术搜索
  3. 万方数据库搜索
  4. CNKI搜索
Address:Zhongguancun North First Street 2,100190 Beijing, PR China Tel: +86-010-82449177-888
Powered By info@rhhz.net

/

DownLoad:  Full-Size Img  PowerPoint
Return