Citation: Taei Masoumeh, Hasanpour Foroozan, Dinari Mohammad, Sohrabi Nasrin, Sadegh Jamshidi Mohammad. Synthesis of 5-[(2-hydroxynaphthalen-1-yl) diazenyl]isophthalic acid and its application to electrocatalytic oxidation and determination of adrenaline, paracetamol, and tryptophan[J]. Chinese Chemical Letters, ;2017, 28(2): 240-247. doi: 10.1016/j.cclet.2016.07.025 shu

Synthesis of 5-[(2-hydroxynaphthalen-1-yl) diazenyl]isophthalic acid and its application to electrocatalytic oxidation and determination of adrenaline, paracetamol, and tryptophan

  • Corresponding author: Taei Masoumeh, m.taei@ch.iut.ac.ir
  • Received Date: 12 May 2016
    Revised Date: 4 July 2016
    Accepted Date: 14 July 2016
    Available Online: 25 February 2016

Figures(6)

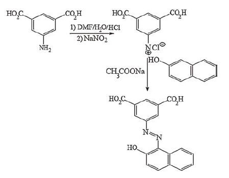
  • In this study, Au nanoparticles/poly 5-[(2-hydroxynaphthalen-1-yl) diazenyl] isophthalic acid film modified glassy carbon electrode (AuNPs/poly (NDI)/GCE) has shown excellent electrocatalytic activity toward the oxidation of adrenaline (ADR), paracetamol (PAC), and tryptophan (Trp). The bare glassy carbon electrode (GCE) fails to separate the oxidation peak potentials of these molecules, while the poly (NDI) film modified electrode can resolve them. Electrochemical impedance spectroscopy (EIS) indicates that the charge transfer resistance of the bare electrode decreases as 5-[(2-hydroxynaphthalen-1-yl) diazenyl] isophthalic acid is electropolymerized on the bare electrode. Furthermore, EIS exhibits enhancement of electron transfer kinetics between analytes and the electrode after electrodeposition of Au nanoparticles. Differential pulse voltammetry results show that the electrocatalytic current increases linearly in the ranges of 0.01-680.0 μmol L-1 for ADR, 0.05-498.0 μmol L-1 for PAC, and 3.0-632.0 μmol L-1 for Trp; with detection limits (S/N=3) of 0.009 μmol L-1, 0.005 μmol L-1, and 0.09 μmol L-1 for ADR, PAC, and Trp, respectively. The proposed method has been successfully applied for simultaneous determination of ADR, PAC, and Trp in biological samples.
  • 加载中
    1. [1]

      M. Taei, M. Jamshidi. Highly selective determination of ascorbic acid, epinephrine, and uric acid by differential pulse voltammetry using poly (Adizol Black B)-modified glassy carbon electrode[J]. J. Solid State Electrochem., 2014,18:673-683. doi: 10.1007/s10008-013-2304-z

    2. [2]

      M. Taei, M. Shavakhi, H. Hadadzadeh. Simultaneous determination of epinephrine, acetaminophen, tryptophan using Fe2O3(0.5)/SnO2(0.5) nanocomposite sensor[J]. J. Appl. Electrochem., 2015,45:185-195. doi: 10.1007/s10800-014-0756-1

    3. [3]

      S. Ulubay, Z. Dursun. Cu nanoparticles incorporated polypyrrole modified GCE for sensitive simultaneous determination of dopamine and uric acid[J]. Talanta, 2010,80:1461-1466. doi: 10.1016/j.talanta.2009.09.054

    4. [4]

      A. Zykwinska, W. Domagala, B. Pilawa, M. Lapkowski. Electrochemical overoxidation of poly (3, 4-ethylenedioxythiophene)-PEDOT studied by means of in situ ESR spectroelectrochemistry[J]. Electrochim. Acta, 2005,50:1625-1633. doi: 10.1016/j.electacta.2004.10.026

    5. [5]

      B.D. Malhotra, A. Chaubey, S.P. Singh. Prospects of conducting polymers in biosensors[J]. Anal. Chim. Acta, 2006,578:59-74. doi: 10.1016/j.aca.2006.04.055

    6. [6]

      Ç.C. Koçak, Z. Dursun. Simultaneous determination of ascorbic acid, epinephrine and uric acid at over-oxidized poly (p-aminophenol) film modified electrode[J]. J. Electroanal. Chem., 2013,694:94-103. doi: 10.1016/j.jelechem.2013.02.006

    7. [7]

      A.A. Ensafi, M. Taei, H.R. Rahmani, T. Khayamian. Sensitive DNA impedance biosensor for detection of cancer, chronic lymphocytic leukemia, based on gold nanoparticles/gold modified electrode[J]. Electrochim. Acta, 2011,56:8176-8183. doi: 10.1016/j.electacta.2011.05.124

    8. [8]

      M. Taei, G. Ramazani. Simultaneous determination of norepinephrine, acetaminophen and tyrosine by differential pulse voltammetry using Au-nanoparticles/poly (2-amino-2-hydroxymethyl-propane-1, 3-dole) film modified glassy carbon electrode[J]. Colloids Surf. B, 2014,123:23-32. doi: 10.1016/j.colsurfb.2014.09.005

    9. [9]

      V.V. Kondratiev, V.V. Malev, S.N. Eliseeva. Composite electrode materials based on conducting polymers loaded with metal nanostructures[J]. Russ. Chem. Rev., 2016,85:14-37. doi: 10.1070/RCR4509

    10. [10]

      M. Taei, F. Hasanpour, H. Salavati, S.H. Banitaba, F. Kazemi. Simultaneous determination of cysteine, uric acid and tyrosine using Au-nanoparticles/poly (E)-4-(ptolyldiazenyl) benzene-1, 2, 3-triol film modified glassy carbon electrode[J]. Mater Sci. Eng. C, 2016,59:120-128. doi: 10.1016/j.msec.2015.10.004

    11. [11]

      M. Taei, F. Hasanpour, N. Tavakkoli, M. Bahrameian. Electrochemical characterization of poly (fuchsine acid) modified glassy carbon electrode and its application for simultaneous determination of ascorbic acid, epinephrine and uric acid[J]. J. Mol. Liq., 2015,211:353-362. doi: 10.1016/j.molliq.2015.07.029

    12. [12]

      H.A.A. El-Rahman, A.A. Hathoot, M. El-Bagoury, M. Abdel-Azzem. Electroactive polymer films formed from the Schiff base product of 1, 8-diaminonaphthalene and dehydroacetic acid. I. Preparation and characterization[J]. J. Electrochem. Soc., 2000,147:242-247. doi: 10.1149/1.1393182

    13. [13]

      H. Yao, Y.Y. Sun, X.H. Lin, Y.H. Tang, L.Y. Huang. Electrochemical characterization of poly (eriochrome black T) modified glassy carbon electrode and its application to simultaneous determination of dopamine, ascorbic acid and uric acid[J]. Electrochim. Acta, 2007,52:6165-6171. doi: 10.1016/j.electacta.2007.04.013

    14. [14]

      A.A. Ensafi, M. Taei, T. Khayamian, A. Arabzadeh. Highly selective determination of ascorbic acid, dopamine, and uric acid by differential pulse voltammetry using poly (sulfonazo III) modified glassy carbon electrode[J]. Sens. Actuators B, 2010,147:213-221. doi: 10.1016/j.snb.2010.02.048

    15. [15]

      M. Taei, H. Hadadzadeh, F. Hasanpour, N. Tavakkoli, M. Hadadi Dolatabadi. Simultaneous electrochemical determination of ascorbic acid, epinephrine, and uric acid using a polymer film-modified electrode based on Au nanoparticles/poly (3, 30, 5, 50-tetrabromo-m-cresolsulfonphthalein)[J]. Ionics, 2015,15:3267-3278.  

    16. [16]

      Z. Galus, Fundumentals of Electrochemical Analysis, Ellis Horwood, New York, 1976.

    17. [17]

      N. Nasirizadeh, Z. Shekari, H.R. Zare. Electrosynthesis of an imidazole derivative and its application as a bifunctional electrocatalyst for simultaneous determination of ascorbic acid, adrenaline, acetaminophen, and tryptophan at a multi-wall carbon nanotubes modified electrode surface[J]. Biosens. Bioelectron., 2013,41:608-614. doi: 10.1016/j.bios.2012.09.028

    18. [18]

      B. Devadas, M. Rajkumar, S.M. Chen. Electropolymerization of curcumin on glassy carbon electrode and its electrocatalytic application for the voltammetric determination of epinephrine and p-acetoaminophenol[J]. Colloids Surf. B, 2014,116:674-680. doi: 10.1016/j.colsurfb.2013.11.002

    19. [19]

      T. Tavana, M.A. Khalilzadeh, H. Karimi-Maleh. Sensitive voltammetric determination of epinephrine in the presence of acetaminophen at a novel ionic liquid modified carbon nanotubes paste electrode[J]. J. Mol. Liq., 2012,168:69-74. doi: 10.1016/j.molliq.2012.01.009

    20. [20]

      M. Mazloum-Ardakani, H. Beitollahi, M.A. Sheikh Mohseni. Simultaneous determination of epinephrine and acetaminophen concentrations using a novel carbon paste electrode prepared with 2, 2'-[1, 2 butanediylbis (nitriloethylidyne)]-bis-hydroquinone and TiO2 nanoparticles[J]. Colloids Surf. B, 2010,76:82-87. doi: 10.1016/j.colsurfb.2009.10.019

    21. [21]

      M. Mazloum-Ardakani, A. Dehghani-Firouzabadi, N. Rajabzade. MCM/ZrO2 nanoparticles modified electrode for simultaneous and selective voltammetric determination of epinephrine and acetaminophen[J]. J. Iran. Chem. Soc., 2013,10:1-5. doi: 10.1007/s13738-012-0121-4

    22. [22]

      J.B. Raoof, F. Chekin, R. Ojani. Synthesis and characterization of ordered mesoporous carbon as electrocatalyst for simultaneous determination of epinephrine and acetaminophen[J]. J. Solid State Electrochem., 2012,16:3753-3760. doi: 10.1007/s10008-012-1807-3

    23. [23]

      A.A. Ensafi, H. Karimi-Maleh, S. Mallakpour. Simultaneous determination of ascorbic acid, acetaminophen, and tryptophan by square wave voltammetry using N-(3, 4-dihydroxyphenethyl)-3, 5-dinitrobenzamide-modified carbon nanotubes paste electrode[J]. Electroanalysis, 2012,24:666-675. doi: 10.1002/elan.v24.3

    24. [24]

      A.V. Bulatov, A.V. Petrova, A.B. Vishnikin, A.L. Moskvin, L.N. Moskvin. Stepwise injection spectrophotometric determination of epinephrine[J]. Talanta, 2012,96:62-67. doi: 10.1016/j.talanta.2012.03.059

    25. [25]

      F.A. Mohamed, M.A. AbdAllah, S.M. Shammat. Selective spectrophotometric determination of p-aminophenol and acetaminophen[J]. Talanta, 1997,44:61-68. doi: 10.1016/S0039-9140(96)02013-9

    26. [26]

      S.S.M. Hassan. New spectrophotometric method for simultaneous determination of tryptophan and tyrosine[J]. Anal. Chem., 1975,47:1429-1432. doi: 10.1021/ac60358a012

  • 加载中
    1. [1]

      Guorong LiYijing WuChao ZhongYixin YangZian Lin . Predesigned covalent organic framework with sulfur coordination: Anchoring Au nanoparticles for sensitive colorimetric detection of Hg(Ⅱ). Chinese Chemical Letters, 2024, 35(5): 108904-. doi: 10.1016/j.cclet.2023.108904

    2. [2]

      Jianhui YinWenjing HuangChangyong GuoChao LiuFei GaoHonggang Hu . Tryptophan-specific peptide modification through metal-free photoinduced N-H alkylation employing N-aryl glycines. Chinese Chemical Letters, 2024, 35(6): 109244-. doi: 10.1016/j.cclet.2023.109244

    3. [3]

      Yongqing Kuang Jie Liu Jianjun Feng Wen Yang Shuanglian Cai Ling Shi . Experimental Design for the Two-Step Synthesis of Paracetamol from 4-Hydroxyacetophenone. University Chemistry, 2024, 39(8): 331-337. doi: 10.12461/PKU.DXHX202403012

    4. [4]

      Chang LIUChao ZHANGTongbu LU . Small-size Au nanoparticles anchored on pyrenyl-graphdiyne for N2 electroreduction. Chinese Journal of Inorganic Chemistry, 2025, 41(1): 174-182. doi: 10.11862/CJIC.20240305

    5. [5]

      Feiyang Liu Liuhong Song Miaoyu Fu Zhi Zheng Gang Xie Junlong Zhao . Tryptophan’s Employment Journey. University Chemistry, 2024, 39(9): 16-21. doi: 10.12461/PKU.DXHX202404037

    6. [6]

      Gengchen GuoTianyu ZhaoRuichang SunMingzhe SongHongyu LiuSen WangJingwen LiJingbin Zeng . Au-Fe3O4 dumbbell-like nanoparticles based lateral flow immunoassay for colorimetric and photothermal dual-mode detection of SARS-CoV-2 spike protein. Chinese Chemical Letters, 2024, 35(6): 109198-. doi: 10.1016/j.cclet.2023.109198

    7. [7]

      Xue XinQiming QuIslam E. KhalilYuting HuangMo WeiJie ChenWeina ZhangFengwei HuoWenjing Liu . Hetero-phase zirconia encapsulated with Au nanoparticles for boosting electrocatalytic nitrogen reduction. Chinese Chemical Letters, 2024, 35(5): 108654-. doi: 10.1016/j.cclet.2023.108654

    8. [8]

      Canglong LiTao LiaoDongping ChenTiancheng YouXiaozhi JiangMinghan XuHuaming YuGang ZhouGuanghui LiYuejiao Chen . Fabrication of carbon-coated V2O5-x nanoparticles by plasma-enhanced chemical vapor deposition for high-performance aqueous zinc-ion battery composite cathodes. Chinese Chemical Letters, 2025, 36(12): 110557-. doi: 10.1016/j.cclet.2024.110557

    9. [9]

      Dan LuoJinya TianJianqiao ZhouXiaodong Chi . Anthracene-bridged "Texas-sized" box for the simultaneous detection and uptake of tryptophan. Chinese Chemical Letters, 2024, 35(9): 109444-. doi: 10.1016/j.cclet.2023.109444

    10. [10]

      Gaowa XingYuxuan LiHongren YaoQiang ZhangZengnan WuCaihou LinJin-Ming Lin . Tryptophan accumulation and inflammation of glioblastoma cells in a multicomponent microchip for gut-brain-axis simulation. Chinese Chemical Letters, 2025, 36(12): 111035-. doi: 10.1016/j.cclet.2025.111035

    11. [11]

      Kaimin WANGXiong GUNa DENGHongmei YUYanqin YEYulu MA . Synthesis, structure, fluorescence properties, and Hirshfeld surface analysis of three Zn(Ⅱ)/Cu(Ⅱ) complexes based on 5-(dimethylamino) isophthalic acid. Chinese Journal of Inorganic Chemistry, 2024, 40(7): 1397-1408. doi: 10.11862/CJIC.20240009

    12. [12]

      Xingxing JiangYuxin ZhaoYan KongJianju SunShangzhao FengXin LuQi HuHengpan YangChuanxin He . Support effect and confinement effect of porous carbon loaded tin dioxide nanoparticles in high-performance CO2 electroreduction towards formate. Chinese Chemical Letters, 2025, 36(1): 109555-. doi: 10.1016/j.cclet.2024.109555

    13. [13]

      Hao ZhangHaonan QuEhsan Bahojb NoruziHaibing LiFeng Liang . A nanocomposite film with layer-by-layer self-assembled gold nanospheres driven by cucurbit[7]uril for the selective transport of L-tryptophan and lysozyme. Chinese Chemical Letters, 2025, 36(1): 109731-. doi: 10.1016/j.cclet.2024.109731

    14. [14]

      Jialin GuoMingrui GuYahui ChenTao XiongYiyang ZhangSimin ChenMingle LiXiaoqiang ChenXiaojun Peng . Nucleic acid delivery by lipid nanoparticles for organ targeting. Chinese Chemical Letters, 2025, 36(11): 110849-. doi: 10.1016/j.cclet.2025.110849

    15. [15]

      Linlu BaiWensen LiXiaoyu ChuHaochun YinYang QuEkaterina KozlovaZhao-Di YangLiqiang Jing . Effects of nanosized Au on the interface of zinc phthalocyanine/TiO2 for CO2 photoreduction. Chinese Chemical Letters, 2025, 36(2): 109931-. doi: 10.1016/j.cclet.2024.109931

    16. [16]

      Tianyi YangFangxi SuDehuan ShiShenghong ZhongYalin GuoZhaohui LiuJianfeng Huang . Efficient propane dehydrogenation catalyzed by Ru nanoparticles anchored on a porous nitrogen-doped carbon matrix. Chinese Chemical Letters, 2025, 36(2): 110444-. doi: 10.1016/j.cclet.2024.110444

    17. [17]

      Ke Wang Jia Wu Shuyi Zheng Shibin Yin . NiCo Alloy Nanoparticles Anchored on Mesoporous Mo2N Nanosheets as Efficient Catalysts for 5-Hydroxymethylfurfural Electrooxidation and Hydrogen Generation. Chinese Journal of Structural Chemistry, 2023, 42(10): 100104-100104. doi: 10.1016/j.cjsc.2023.100104

    18. [18]

      Zhenghua ZHAOQin ZHANGYufeng LIUZifa SHIJinzhong GU . Syntheses, crystal structures, catalytic and anti-wear properties of nickel(Ⅱ) and zinc(Ⅱ) coordination polymers based on 5-(2-carboxyphenyl)nicotinic acid. Chinese Journal of Inorganic Chemistry, 2024, 40(3): 621-628. doi: 10.11862/CJIC.20230342

    19. [19]

      Peng ZHOUXiao CAIQingxiang MAXu LIU . Effects of Cu doping on the structure and optical properties of Au11(dppf)4Cl2 nanocluster. Chinese Journal of Inorganic Chemistry, 2024, 40(7): 1254-1260. doi: 10.11862/CJIC.20240047

    20. [20]

      Zhong-Hui SunYu-Qi ZhangZhen-Yi GuDong-Yang QuHong-Yu GuanXing-Long Wu . CoPSe nanoparticles confined in nitrogen-doped dual carbon network towards high-performance lithium/potassium ion batteries. Chinese Chemical Letters, 2025, 36(1): 109590-. doi: 10.1016/j.cclet.2024.109590

Metrics
  • PDF Downloads(2)
  • Abstract views(1321)
  • HTML views(58)

通讯作者: 陈斌, bchen63@163.com
  • 1. 

    沈阳化工大学材料科学与工程学院 沈阳 110142

  1. 本站搜索
  2. 百度学术搜索
  3. 万方数据库搜索
  4. CNKI搜索
Address:Zhongguancun North First Street 2,100190 Beijing, PR China Tel: +86-010-82449177-888
Powered By info@rhhz.net

/

DownLoad:  Full-Size Img  PowerPoint
Return