Citation: Zhang Li-Li, Zhu Hui-Kun, Zhao Chun-Chang, Gu Xian-Feng. A near-infrared fluorescent probe for monitoring fluvastatin-stimulated endogenous H2S production[J]. Chinese Chemical Letters, ;2017, 28(2): 218-221. doi: 10.1016/j.cclet.2016.07.008 shu

A near-infrared fluorescent probe for monitoring fluvastatin-stimulated endogenous H2S production

  • Corresponding author: Zhao Chun-Chang, zhaocchang@ecust.edu.cn Gu Xian-Feng, xfgu@fudan.edu.cn
  • Received Date: 3 June 2016
    Revised Date: 17 June 2016
    Accepted Date: 29 June 2016
    Available Online: 16 February 2016

Figures(4)

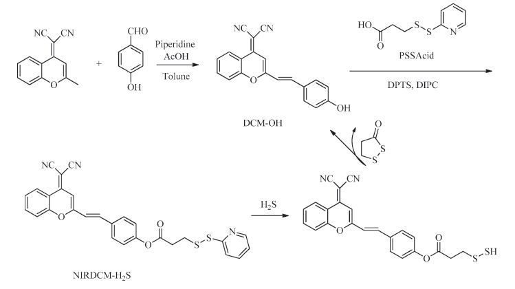
  • Most reported fluorescent probes have limitations in practical applications in living systems due to the strong autofluorescence background, construction of probes with near-infrared (NIR) fluorescence emission is an accessible approach for addressing this challenge. We here designed a NIR fluorescent probe for monitoring the endogenous production of H2S in living cells. The designed probe showed significant NIR fluorescence turn-on response to H2S with high selectivity, enabling the sensitive detection H2S. Importantly, the probe could be applied in monitoring the endogenous production of H2S in raw264.7 macrophages. This study showed that fluvastatin can promote the activity of cystathionine γ-lyase (CSE) for generation H2S.
  • 加载中
    1. [1]

      (a) G.D. Yang, L.Y. Wu, B. Jiang, et al., H2S as a physiologic vasorelaxant:hypertension in mice with deletion of cystathionine γ-lyase, Science 322(2008) 587-590;(b) O. Kabil, R. Banerjee, Redox biochemistry of hydrogen sulfide, J. Biol. Chem. 285(2010) 21903-21907;(c) S. Singh, D. Padovani, R.A. Leslie, T. Chiku, R. Banerjee, Relative contributions of cystathionine β-synthase and γ-cystathionase to H2S biogenesis via alternative trans-sulfuration reactions, J. Biol. Chem. 284(2009) 22457-22466.

    2. [2]

      (a) V.S. Lin, W. Chen, M. Xian, C.J. Chang, Chemical probes for molecular imaging and detection of hydrogen sulfide and reactive sulfur species in biological systems, Chem. Soc. Rev. 44(2015) 4596-4618;(b) X. Zhou, S. Lee, Z.C. Xu, J. Yoon, Recent progress on the development of chemosensors for gases, Chem. Rev. 115(2015) 7944-8000.

    3. [3]

      (a) A.R. Lippert, E.J. New, C.J. Chang, Reaction-based fluorescent probes for selective imaging of hydrogen sulfide in living cells, J. Am. Chem. Soc. 133(2011) 10078-10080;(b) H.J. Peng, Y.F. Cheng, C.F. Dai, et al., A fluorescent probe for fast and quantitative detection of hydrogen sulfide in blood, Angew. Chem. Int. Ed. 50(2011) 9672-9675;(c) J.Y. Zhang, W. Guo, A new fluorescent probe for gasotransmitter H2S:high sensitivity, excellent selectivity, and a significant fluorescence off-on response, Chem. Commun. 50(2014) 4214-4217;(d) B.F. Chen, C. Lv, X.J. Tang, Chemoselective reduction-based fluorescence probe for detection of hydrogen sulfide in living cells, Anal. Bioanal. Chem. 404(2012) 1919-1923;(e) H.A. Henthorn, M.D. Pluth, Mechanistic insights into the H2S-mediated reduction of aryl azides commonly used in H2S detection, J. Am. Chem. Soc. 137(2015) 15330-15336;(f) W. Sun, J.L. Fan, C. Hu, et al., A two-photon fluorescent probe with nearinfrared emission for hydrogen sulfide imaging in Biosystems, Chem. Commun. 49(2013) 3890-3892;(g) F.B. Yu, P. Li, P. Song, et al., An ICT-based strategy to a colorimetric and ratiometric fluorescence probe for hydrogen sulfide in living cells, Chem. Commun. 48(2012) 2852-2854;(h) S. Chen, Z.J. Chen, W. Ren, H.W. Ai, Reaction-based genetically encoded fluorescent hydrogen sulfide sensors, J. Am. Chem. Soc. 134(2012) 9589-9592;(i) S.K. Bae, C.H. Heo, D.J. Choi, et al., A ratiometric two-photon fluorescent probe reveals reduction in mitochondrial H2S production in Parkinson's disease gene knockout astrocytes, J. Am. Chem. Soc. 135(2013) 9915-9923;(j) H.Y. Liu, M. Zhao, Q.L. Qiao, et al., Fluorescein-derived fluorescent probe for cellular hydrogen sulfide imaging, Chin. Chem. Lett. 25(2014) 1060-1064.

    4. [4]

      (a) Y.C. Chen, C.C. Zhu, Z.H. Yang, et al., A ratiometric fluorescent probe for rapid detection of hydrogen sulfide in mitochondria, Angew. Chem. Int. Ed. 52(2013) 1688-1691;(b) Y. Qian, L. Zhang, S.T. Ding, et al., A fluorescent probe for rapid detection of hydrogen sulfide in blood plasma and brain tissues in mice, Chem. Sci. 3(2012) 2920-2923;(c) C.R. Liu, J. Pan, S. Li, et al., Capture and visualization of hydrogen sulfide by a fluorescent probe, Angew. Chem. Int. Ed. 50(2011) 10327-10329;(d) Y. Qian, J. Karpus, O. Kabil, et al., Selective fluorescent probes for live-cell monitoring of sulphide, Nat. Commun. 2(2011) 495;(e) X. Wang, J. Sun, W.H. Zhang, et al., A near-infrared ratiometric fluorescent probe for rapid and highly sensitive imaging of endogenous hydrogen sulfide in living cells, Chem. Sci. 4(2013) 2551-2556;(f) W. Zhang, J.Q. Kang, P. Li, H. Wang, B. Tang, Dual signaling molecule sensor for rapid detection of hydrogen sulfide based on modified tetraphenylethylene, Anal. Chem. 87(2015) 8964-8969;(g) C.C. Zhao, X.L. Zhang, K.B. Li, et al., Forster resonance energy transfer switchable self-assembled micellar nanoprobe:ratiometric fluorescent trapping of endogenous H2S generation via fluvastatin-stimulated upregulation, J. Am. Chem. Soc. 137(2015) 8490-8498.

    5. [5]

      (a) K. Sasakura, K. Hanaoka, N. Shibuya, et al., Development of a highly selective fluorescence probe for hydrogen sulfide, J. Am. Chem. Soc. 133(2011) 18003-18005;(b) X.F. Gu, C.H. Liu, Y.C. Zhu, Y.Z. Zhu, Development of a boron-dipyrrometheneCu2+ ensemble based colorimetric probe toward hydrogen sulfide in aqueous media, Tetrahedron Lett. 52(2011) 5000-5003.

    6. [6]

      (a) L.Y. Niu, Y.Z. Chen, H.R. Zheng, et al., Design strategies of fluorescent probes for selective detection among biothiols, Chem. Soc. Rev. 44(2015) 6143-6160;(b) K.Z. Gu, Y.S. Xu, H. Li, et al., Real-time tracking and in vivo visualization of β-galactosidase activity in colorectal tumor with a ratiometric near-infrared fluorescent probe, J. Am. Chem. Soc. 138(2016) 5334-5340;(c) C.C. Zhao, X.A. Li, F.Y. Wang, Target-triggered NIR emission with a large stokes shift for the detection and imaging of cysteine in living cells, Chem. Asian J. 9(2014) 1777-1781.

    7. [7]

      (a) C.C. Zhao, Y. Zhang, S.L. Pan, L. Rothberg, M.K. Ng, Synthesis, characterization, and properties of homopolymers functionalized with oligothiophene derivatives in the side chain, Macromolecules 40(2007) 1816-1823;(b) C.C. Zhao, P. Feng, J. Cao, et al., Borondipyrromethene-derived Cu2+ sensing chemodosimeter for fast and selective detection, Org. Biomol. Chem. 10(2012) 3104-3109.

    8. [8]

      X.M. Wu, X.R. Sun, Z.Q. Guo. In vivo and in situ tracking cancer chemotherapy by highly photostable NIR fluorescent theranostic prodrug[J]. J. Am. Chem. Soc., 2014,136:3579-3588. doi: 10.1021/ja412380j

    9. [9]

      (a) L.L. Zhang, H.K. Zhu, M.M. Li, X.F. Gu, A novel fluorescent probe for imaging endogenous hydrogen sulphide via the CSE enzymatic pathway, Chem. Commun. 51(2015) 13135-13137;(b) X.F. Gu, H.K. Zhu, S.N. Yang, Y.C. Zhu, Y.Z. Zhu, Development of a highly selective H2S fluorescent probe and its application to evaluate CSE inhibitors, RSC Adv. 4(2014) 50097-50101;(c) F.Y. Wang, L. Zhou, C.C. Zhao, et al., A dual-response BODIPY-based fluorescent probe for the discrimination of glutathione from cystein and homocystein, Chem. Sci. 6(2015) 2584-2589;(d) F.Y. Wang, Y. Zhu, L. Zhou, et al., Fluorescent in situ targeting probes for rapid imaging of ovarian-cancer-specific γ-glutamyltranspeptidase, Angew. Chem. Int. Ed. 54(2015) 7349-7353.

    10. [10]

      Y. Xu, H.P. Du, J.J. Li. Statins upregulate cystathionine γ-lyase transcription and H2S generation via activating Akt signaling in macrophage[J]. Pharmacol. Res., 2014,87:18-25. doi: 10.1016/j.phrs.2014.06.006

  • 加载中
    1. [1]

      Yudi ChengXiao WangJiao ChenZihan ZhangJiadong OuMengyao SheFulin ChenJianli Li . A near-infrared fluorescent probe for visualizing transformation pathway of Cys/Hcy and H2S and its applications in living system. Chinese Chemical Letters, 2024, 35(5): 109156-. doi: 10.1016/j.cclet.2023.109156

    2. [2]

      Xianzhu LuoFeifei YuRui WangTian SuPan LuoPengfei WenFabiao Yu . A near-infrared two-photon fluorescent probe for the detection of HClO in inflammatory and tumor-bearing mice. Chinese Chemical Letters, 2025, 36(7): 110531-. doi: 10.1016/j.cclet.2024.110531

    3. [3]

      Wenping DongMo MaJingkang LiLanlan XuDejiang GaoPinyi MaDaqian Song . Near-infrared fluorescent probe with large Stokes shift and long emission wavelength for rapid diagnosis of lung cancer via aerosol inhalation delivery. Chinese Chemical Letters, 2025, 36(5): 110147-. doi: 10.1016/j.cclet.2024.110147

    4. [4]

      Huamei ZhangJingjing LiuMingyue LiShida MaXucong ZhouAixia MengWeina HanJin Zhou . Imaging polarity changes in pneumonia and lung cancer using a lipid droplet-targeted near-infrared fluorescent probe. Chinese Chemical Letters, 2024, 35(12): 110020-. doi: 10.1016/j.cclet.2024.110020

    5. [5]

      Tao LiuXuwei HanXueyi SunWeijie ZhangKe GaoRunan MinYuting TianCaixia Yin . An activated fluorescent probe to monitor NO fluctuation in Parkinson’s disease. Chinese Chemical Letters, 2025, 36(3): 110170-. doi: 10.1016/j.cclet.2024.110170

    6. [6]

      Meitong WuKe WuShumin FengLi XuMi LeiJianmei ChenShuang LiMian QinDahui LiuGuoqiang Feng . A NIR and ratiometric fluorescent probe for quantitative detection of SO2 derivatives in Chinese medicinal materials and bioimaging in vivo. Chinese Chemical Letters, 2026, 37(1): 110979-. doi: 10.1016/j.cclet.2025.110979

    7. [7]

      Mengyu CaoYiyan YinJingyi QinJin OuyangNa Na . Unconventional application of a fluorescent probe for MS-based detection of multiple sulfur species in ferroptosis. Chinese Chemical Letters, 2026, 37(1): 111260-. doi: 10.1016/j.cclet.2025.111260

    8. [8]

      Chuanfeng FanJian GaoYingkai GaoXintong YangGaoning LiXiaochun WangFei LiJin ZhouHaifeng YuYi HuangJin ChenYingying ShanLi Chen . A non-peptide-based chymotrypsin-targeted long-wavelength emission fluorescent probe with large Stokes shift and its application in bioimaging. Chinese Chemical Letters, 2024, 35(10): 109838-. doi: 10.1016/j.cclet.2024.109838

    9. [9]

      Meiling ZhaoYao LuYutao ZhangHaoyun XueZhiqian Guo . Ultra-high signal-to-noise ratio near-infrared chemiluminescent probe for in vivo sensing singlet oxygen. Chinese Chemical Letters, 2025, 36(5): 110105-. doi: 10.1016/j.cclet.2024.110105

    10. [10]

      Yi-Xin ZhangFang-Qi ZhangAo-Pei PengTao JiangYa-Xi MengYang LiShuang-Xi GuYuan-Yuan Zhu . Enantioselective recognition of amino acids in water using emission-tunable chiral fluorescent probes. Chinese Chemical Letters, 2026, 37(1): 111500-. doi: 10.1016/j.cclet.2025.111500

    11. [11]

      Chuan-Zhi NiRuo-Ming LiFang-Qi ZhangQu-Ao-Wei LiYuan-Yuan ZhuJie ZengShuang-Xi Gu . A chiral fluorescent probe for molecular recognition of basic amino acids in solutions and cells. Chinese Chemical Letters, 2024, 35(10): 109862-. doi: 10.1016/j.cclet.2024.109862

    12. [12]

      Qian PangFangjun HuoYongkang YueCaixia Yin . ONOO and viscosity dual-response fluorescent probe for arthritis imaging in vivo. Chinese Chemical Letters, 2025, 36(9): 110713-. doi: 10.1016/j.cclet.2024.110713

    13. [13]

      Yunkang TongHaiqiao HuangHaolan LiMingle LiWen SunJianjun DuJiangli FanLei WangBin LiuXiaoqiang ChenXiaojun Peng . Cooperative bond scission by HRP/H2O2 for targeted prodrug activation. Chinese Chemical Letters, 2024, 35(12): 109663-. doi: 10.1016/j.cclet.2024.109663

    14. [14]

      Fan ZhengRunsha XiaoShuai HuangZhikang ChenChen LaiAnyao BiHeying YaoXueping FengZihua ChenWenbin Zeng . Accurate visualization colorectal cancer by monitoring viscosity variations with a novel mitochondria-targeted fluorescent probe. Chinese Chemical Letters, 2025, 36(2): 109876-. doi: 10.1016/j.cclet.2024.109876

    15. [15]

      Zhixiao XiongShanni QiuYuyu WangHouna DuanYi XiaoYufang XuWeiping ZhuXuhong Qian . Photocalibrated NO release from the zinc ion fluorescent probe based on naphthalimide and its application in living cells. Chinese Chemical Letters, 2025, 36(4): 110002-. doi: 10.1016/j.cclet.2024.110002

    16. [16]

      Jiayu ZengMinhui LiuTing YangJia HuangSongjiao LiWanting ZhangDan ChengLongwei HeJia Zhou . Two-dimensional design strategy to construct smart dual-responsive fluorescent probe for the precise tracking of ischemic stroke. Chinese Chemical Letters, 2025, 36(5): 110166-. doi: 10.1016/j.cclet.2024.110166

    17. [17]

      Xinyi ZhaoYuai DuanZihan LiuHua GengYaping LiZhongfeng LiTianyu Han . Mapping sweat pores for biometric identification based on a donor-acceptor hydrophilic fluorescent probe. Chinese Chemical Letters, 2025, 36(8): 110617-. doi: 10.1016/j.cclet.2024.110617

    18. [18]

      Chengcheng ZhangZhe WuNingning JiangYi SongWeina GengHongmei LiuMing JinShuxiang WangJinchao ZhangYutao Yang . A fluorescent probe regulated by trifluoromethyl and nitrogen-containing heterocycles for monitoring biothiol fluctuations in the brains of mice with schizophrenia. Chinese Chemical Letters, 2026, 37(1): 111476-. doi: 10.1016/j.cclet.2025.111476

    19. [19]

      Hui ZhangRong FengWanyi YuHongbei WeiTianhong WuPeng ZhangWenhai BianXin LiDi GaoGuojun WengZhe YangTony D. JamesXiaolong Sun . Evaluating the global thiols redox state in living cells using a reducing sulfur species responsive fluorescence switching platform. Chinese Chemical Letters, 2025, 36(4): 110528-. doi: 10.1016/j.cclet.2024.110528

    20. [20]

      Lei ShenHongmei LiuMing JinJinchao ZhangCaixia YinShuxiang WangYutao Yang . “Three-in-one” strategy of trifluoromethyl regulated blood-brain barrier permeable fluorescent probe for peroxynitrite and antiepileptic evaluation of edaravone. Chinese Chemical Letters, 2024, 35(10): 109572-. doi: 10.1016/j.cclet.2024.109572

Metrics
  • PDF Downloads(1)
  • Abstract views(1468)
  • HTML views(84)

通讯作者: 陈斌, bchen63@163.com
  • 1. 

    沈阳化工大学材料科学与工程学院 沈阳 110142

  1. 本站搜索
  2. 百度学术搜索
  3. 万方数据库搜索
  4. CNKI搜索
Address:Zhongguancun North First Street 2,100190 Beijing, PR China Tel: +86-010-82449177-888
Powered By info@rhhz.net

/

DownLoad:  Full-Size Img  PowerPoint
Return