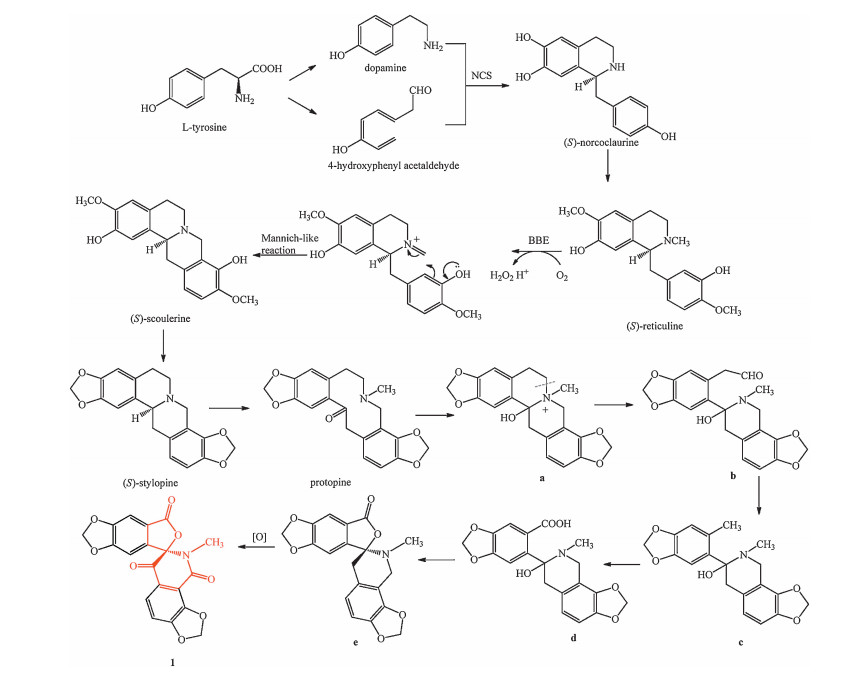
Citation: Sai Chun-Mei, Qin Ning-Bo, Jia Cui-Cui, Li Da-Hong, Wang Kai-Bo, Pei Yue-Hu, Bai Jiao, Li Zhan-Lin, Hua Hui-Ming. Macleayine, a new alkaloid from Macleaya cordata[J]. Chinese Chemical Letters, ;2016, 27(11): 1717-1720. doi: 10.1016/j.cclet.2016.06.017 shu

Macleayine, a new alkaloid from Macleaya cordata

  • Corresponding author: Li Zhan-Lin, lzl1030@hotmail.com Hua Hui-Ming, huimhua@163.com
  • Received Date: 20 May 2016
    Revised Date: 26 May 2016
    Accepted Date: 3 June 2016
    Available Online: 17 November 2016

Figures(5)

Metrics
  • PDF Downloads(1)
  • Abstract views(1293)
  • HTML views(56)

通讯作者: 陈斌, bchen63@163.com
  • 1. 

    沈阳化工大学材料科学与工程学院 沈阳 110142

  1. 本站搜索
  2. 百度学术搜索
  3. 万方数据库搜索
  4. CNKI搜索
Address:Zhongguancun North First Street 2,100190 Beijing, PR China Tel: +86-010-82449177-888
Powered By info@rhhz.net

/

DownLoad:  Full-Size Img  PowerPoint
Return