Citation: Zhi-Bing Wu, Xiang Zhou, Yi-Qiang Ye, Pei-Yi Wang, Song Yang. Design, synthesis and insecticidal activities of novel 1-substituted-5-(trifluoromethyl)-1H-pyrazole-4-carboxamide derivatives[J]. Chinese Chemical Letters, ;2017, 28(1): 121-125. doi: 10.1016/j.cclet.2016.06.010 shu

Design, synthesis and insecticidal activities of novel 1-substituted-5-(trifluoromethyl)-1H-pyrazole-4-carboxamide derivatives

  • Corresponding author: Song Yang, jhzx.msm@gmail.com
  • Received Date: 6 April 2016
    Revised Date: 19 May 2016
    Accepted Date: 20 May 2016
    Available Online: 11 January 2016

Figures(3)

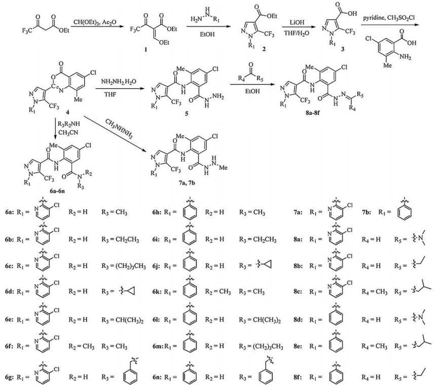
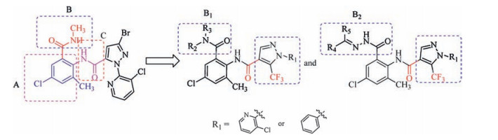
  • A series of novel 5-(trifluoromethyl)-1H-pyrazole-4-carboxamide derivatives (6a-6n, 7a, 7b, and 8a-8f) were synthesised by placing the amide bond at the 4-position of the pyrazole ring. These derivatives differed from the structure of chlorantraniliprole analogues with the amide bond at the 5-position of the pyrazole ring. Preliminary bioassay results revealed that a few title compounds exhibited good insecticidal activities against lepidopteran pests, such as Plutella xylostella, Mythimna separate, Heliothis armigera, and Ostrinia nubilalis. Some title compounds also elicited broad-spectrum insecticidal activities against dipterous insects including Culex pipiens pallens after altering the amide position. Similar to pyrazole-5-carboxamide analogues, compounds 6b and 6e showed 100% insecticidal activity against P. xylostella, C. pipiens pallens, and M. separate at concentrations of 200, 2, and 200 μg/mL, respectively. This finding suggested that 5-(trifluoromethyl)-1H-pyrazole-4-carboxamide derivatives are potential alternative insecticides for management of agriculture pests.
  • 加载中
    1. [1]

      Lahm G.P., Selby T.P., Freudenberger J.H.. Insecticidal anthranilic diamides:a new class of potent ryanodine receptor activators[J]. Bioorg. Med. Chem. Lett., 2005,15:4898-4906. doi: 10.1016/j.bmcl.2005.08.034

    2. [2]

      Lahm G.P., Stevenson T.M., Selby T.P.. Rynaxypyr:a new insecticidal anthranilic diamide that acts as a potent and selective ryanodine receptor activator[J]. Bioorg. Med. Chem. Lett., 2007,17:6274-6279. doi: 10.1016/j.bmcl.2007.09.012

    3. [3]

      Masaki T.. Study on the mechanism of insecticidal activity through disruption of intracellular calcium homeostasis[J]. J. Pestic. Sci., 2008,33:271-272. doi: 10.1584/jpestics.a330301

    4. [4]

      Dong W.L., Xu J.Y., Xiong L.X.. Synthesis, structure and biological activities of some novel anthranilic acid esters containing N-pyridylpyrazole[J]. China J. Chem., 2009,27:579-586. doi: 10.1002/cjoc.v27:3

    5. [5]

      Feng Q., Liu Z.L., Xiong L.X.. Synthesis and insecticidal activities of novel anthranilic diamides containing modified N-pyridyl pyrazoles[J]. J. Agric. Food Chem., 2010,58:12327-12336. doi: 10.1021/jf102842r

    6. [6]

      Wu J., Song B.A., Hu D.Y.. Design, synthesis and insecticidal activities of novel pyrazole amides containing hydrazone substructures[J]. Pest Manage. Sci., 2012,68:801-810. doi: 10.1002/ps.v68.5

    7. [7]

      Wang B.L., Zhu H.W., Ma Y.. Synthesis, insecticidal activities.And SAR studies of novel pyridylpyrazole acid dericatives based on amide bridge modification of anthranilic diamide insecticides[J]. J. Agric. Food Chem, 2013,61:5483-5493. doi: 10.1021/jf4012467

    8. [8]

      Chen Y.B., Li J.L., Shao X.S.. Design, synthesis and insecticidal activity of novel anthranilic diamides with benzyl sulfide scaffold[J]. China Chem. Lett., 2013,24:673-676. doi: 10.1016/j.cclet.2013.04.047

    9. [9]

      Liu Y., Lei C., Xu X.Y.. Design, synthesis and insecticidal activity of biphenyldiamide derivatives[J]. China Chem. Lett., 2016,27:321-324. doi: 10.1016/j.cclet.2015.12.011

    10. [10]

      Gao C.F., Yao R., Zhang Z.Z.. Susceptibility baseline and chlorantraniliprole resistance monitoring in chilo suppressalis (Lepidoptera:Pyralidae)[J]. J. Econ. Entomol., 2013,106:2190-2194. doi: 10.1603/EC13058

    11. [11]

      Su J.Y., Zhang Z.Z., Wu M.. Geographic susceptibility of chilo suppressalis walker (lepidoptera:crambidae), to chlorantraniliprole in China[J]. Pest Manage. Sci., 2014,70:989-995. doi: 10.1002/ps.2014.70.issue-6

    12. [12]

      Zhang X.L., Wang B.L., Mao M.Z.. Synthesis and insecticidal activity of 5-chloro-N-[4-chloro-2-(substituted carbamoyl)-6-methylpheyl]-1-ary-3-(trifluoromethyl)-1H-pyrazole-4-carboxamide[J]. Chem. J. China Univ., 2013,34:96-102.

    13. [13]

      Stanovnik B., Svete J.. Product class I:pyrazoles[J]. Sci. Synth, 2002,12:215-225.  

    14. [14]

      Wang X.J., Magnuson S., Pastor R.. Discovery of novel pyrazolo[1, 5-a] pyrimidines as potent pan-Pim inhibitors by structure and property-based drug design[J]. Bioorg. Med. Chem. Lett., 2013,23:3149-3153. doi: 10.1016/j.bmcl.2013.04.020

    15. [15]

      Rosen M.D., Venkatesan H., Peltier H.M.. Benzimidazole-2-pyrazole HIF prolyl 4-hydroxylase inhibitors as oral erythropoietin secretagogues[J]. ACS Med. Chem. Lett., 2010,1:526-529. doi: 10.1021/ml100198y

    16. [16]

      H. Ikegami, M. Jachmann, Y. Nokura, et al., New hydrazine compounds useful for controlling pests, e.g. Locustamigratoria. WO Patent 2007043677(2007).

    17. [17]

      Zhao Q.Q., Li Y.Q., Xiong L.X.. Design, synthesis and insecticidal activity of novel phenylpyrazoles containing a 2, 2, 2-trichloro-1-alkoxyethyl moiety[J]. J. Agric. Food Chem., 2010,58:4992-4998. doi: 10.1021/jf1001793

    18. [18]

      Chen L., Huang Z.Q., Wang Q.M.. Insecticidal benzoylphenylurea-S-carbamate:a new propesticide with two effects of both benzoylphenylureas and carbamates[J]. J. Agric. Food Chem., 2007,55:2659-2663. doi: 10.1021/jf063564g

    19. [19]

      Sun R.F., Lu M.Y., Chen L.. Design, synthesis, bioactivity, and structure-activity relationship (SAR) studies of novel benzoylphenylureas containing oxime ether group[J]. J. Agric. Food Chem., 2008,56:11376-11391. doi: 10.1021/jf801901h

    20. [20]

      Zhao Y., Li Y.Q., Ou X.M.. Synthesis, insecticidal, and acaricidal activities of novel 2-aryl-pyrrole derivatives containing ester groups[J]. J. Agric. Food Chem., 2008,56:10176-10182. doi: 10.1021/jf802464d

    21. [21]

      Song H.J., Liu Y.X., Huang Y.Q.. Dwsign, synthesisi, anti-TMV, fungicidal, and insecticidal activity evaluation of 1, 2, 3, 4-tetrahydro-carbolline-3-carboxylic acid derivatives based on virus inhibitors of plant sources[J]. Bioorg. Med. Chem. Lett., 2008,24:5228-5233.

    22. [22]

      Wang C.J., Li X.F., Wu X.M.. Toxicities of avermectins to cotton bollworm and effect of synergists[J]. China J. Agric. Univ., 1999,4:6-10.  

    23. [23]

      Yuchi Z., Yuen S.M., Lau K.. Crystal structures of ryanodine receptor SPRY1 and tandem-repeat domains receal a critical FKBP12 binding determinant[J]. Nat. Commun, 2015,67947. doi: 10.1038/ncomms8947

  • 加载中
    1. [1]

      Chao LIUJiang WUZhaolei JIN . Synthesis, crystal structures, and antibacterial activities of two zinc(Ⅱ) complexes bearing 5-phenyl-1H-pyrazole group. Chinese Journal of Inorganic Chemistry, 2024, 40(10): 1986-1994. doi: 10.11862/CJIC.20240153

    2. [2]

      Qiong-Hui PengNing-Bo LiJia-Cheng HouCai-Jun HeYa-Xin YangChun-Lin ZhuangLi-Juan OuMei YuanWei-Min He . Nd@g-C3N4 dual-functional photosynthesis and antitumor activities of 3-fluoroalkylated quinoxalin-2(1H)-ones. Chinese Chemical Letters, 2025, 36(12): 111402-. doi: 10.1016/j.cclet.2025.111402

    3. [3]

      Hong-Tao JiYu-Han LuYan-Ting LiuYu-Lin HuangJiang-Feng TianFeng LiuYan-Yan ZengHai-Yan YangYong-Hong ZhangWei-Min He . Nd@C3N4-photoredox/chlorine dual catalyzed synthesis and evaluation of antitumor activities of 4-alkylated sulfonyl ketimines. Chinese Chemical Letters, 2025, 36(2): 110568-. doi: 10.1016/j.cclet.2024.110568

    4. [4]

      Xin ZhangZhihao LuTianci RenJunxiang TangShuo LiChenghao ZhuLijun MaoDa Ma . Fluorescent "Texas-sized" macrocyclic receptors for the recognition and detection of nucleotides in water. Chinese Chemical Letters, 2025, 36(11): 110946-. doi: 10.1016/j.cclet.2025.110946

    5. [5]

      Jingzhao ChengShiyu GaoBei ChengKai YangWang WangShaowen Cao . Construction of 4-Amino-1H-imidazole-5-carbonitrile Modified Carbon Nitride-Based Donor-Acceptor Photocatalyst for Efficient Photocatalytic Hydrogen Evolution. Acta Physico-Chimica Sinica, 2024, 40(11): 2406026-0. doi: 10.3866/PKU.WHXB202406026

    6. [6]

      Luyao Lu Chen Zhu Fei Li Pu Wang Xi Kang Yong Pei Manzhou Zhu . Ligand effects on geometric structures and catalytic activities of atomically precise copper nanoclusters. Chinese Journal of Structural Chemistry, 2024, 43(10): 100411-100411. doi: 10.1016/j.cjsc.2024.100411

    7. [7]

      Peiyan ZhuYanyan YangHui LiJinhua WangShiqing Li . Rh(Ⅲ)‐Catalyzed sequential ring‐retentive/‐opening [4 + 2] annulations of 2H‐imidazoles towards full‐color emissive imidazo[5,1‐a]isoquinolinium salts and AIE‐active non‐symmetric 1,1′‐biisoquinolines. Chinese Chemical Letters, 2024, 35(10): 109533-. doi: 10.1016/j.cclet.2024.109533

    8. [8]

      Weizhong LINGXiangyun CHENWenjing LIUYingkai HUANGYu LI . Syntheses, crystal structures, and catalytic properties of three zinc(Ⅱ), cobalt(Ⅱ) and nickel(Ⅱ) coordination polymers constructed from 5-(4-carboxyphenoxy)nicotinic acid. Chinese Journal of Inorganic Chemistry, 2024, 40(9): 1803-1810. doi: 10.11862/CJIC.20240068

    9. [9]

      Ji ZhangTong ZhangQiao AnPeng ZhangCai-Yan TianChun-Mao YuanPing YiZhan-Xing HuXiao-Jiang Hao . Five quinolizidine alkaloids with anti-tobacco mosaic virus activities from two species of Sophora. Chinese Chemical Letters, 2024, 35(6): 108927-. doi: 10.1016/j.cclet.2023.108927

    10. [10]

      Ting LiXinxin ZhengLejing QuYuanyuan OuSai QiaoXue ZhaoYajun ZhangXinfeng ZhaoQian Li . A chromatographic method for pursuing potential GPCR ligands with the capacity to characterize their intrinsic activities of regulating downstream signaling pathway. Chinese Chemical Letters, 2024, 35(10): 109792-. doi: 10.1016/j.cclet.2024.109792

    11. [11]

      Wei-Ming HuangYue-You YangPing YingYu-Qian CaiTian-Jie CaoChuan-Lu FuLing-Yi KongWen-Jun Xu . Houpolignols A–D, enantiomeric obovatol oligomeric neolignans with anti-NASH activities from Magnolia officinalis var. biloba. Chinese Chemical Letters, 2025, 36(7): 110522-. doi: 10.1016/j.cclet.2024.110522

    12. [12]

      Yiyang ZhangGuangshu YuanXiangkun MengXu ZhangLei Yu . Promoting the catalytic activities of polyanilines for L-lactic acid condensation by calcium-doping: A biocompatible strategy. Chinese Chemical Letters, 2025, 36(12): 111069-. doi: 10.1016/j.cclet.2025.111069

    13. [13]

      Xiaoyang Li Xiaowei Huang Yimeng Zhang Huan Liu Shao Jin Junpeng Zhuang . Comprehensive Chemical Experiments on the Synthesis of 1,3-Dibromo-5,5-Dimethylhydantoin and Its Application as a Brominating Reagent. University Chemistry, 2025, 40(7): 286-293. doi: 10.12461/PKU.DXHX202408035

    14. [14]

      Fenglin WangChengwei KuangZhicheng ZhengDan WuHao WanGen ChenNing ZhangXiaohe LiuRenzhi Ma . Noble metal clusters substitution in porous Ni substrate renders high mass-specific activities toward oxygen evolution reaction and methanol oxidation reaction. Chinese Chemical Letters, 2025, 36(6): 109989-. doi: 10.1016/j.cclet.2024.109989

    15. [15]

      Yanfen PENGXinyue WANGTianbao LIUXiaoshuo WUYujing WEI . Syntheses and luminescence of four Cd(Ⅱ)/Zn(Ⅱ) complexes constructed by 1,3‐bis(4H‐1,2,4‐triazole)benzene. Chinese Journal of Inorganic Chemistry, 2025, 41(7): 1416-1426. doi: 10.11862/CJIC.20250018

    16. [16]

      Gaofeng WANGShuwen SUNYanfei ZHAOLixin MENGBohui WEI . Structural diversity and luminescence properties of three zinc coordination polymers based on bis(4-(1H-imidazol-1-yl)phenyl)methanone. Chinese Journal of Inorganic Chemistry, 2024, 40(5): 849-856. doi: 10.11862/CJIC.20230479

    17. [17]

      Bairu MengZongji ZhuoHan YuSining TaoZixuan ChenErik De ClercqChristophe PannecouqueDongwei KangPeng ZhanXinyong Liu . Design, synthesis, and biological evaluation of benzo[4,5]thieno[2,3-d]pyrimidine derivatives as novel HIV-1 NNRTIs. Chinese Chemical Letters, 2024, 35(6): 108827-. doi: 10.1016/j.cclet.2023.108827

    18. [18]

      Junjun HuangRan ChenYajian HuangHang ZhangAnran ZhengQing XiaoDan WuRuxia DuanZhi ZhouFei HeWei Yi . Discovery of an enantiopure N-[2-hydroxy-3-phenyl piperazine propyl]-aromatic carboxamide derivative as highly selective α1D/1A-adrenoceptor antagonist and homology modelling. Chinese Chemical Letters, 2024, 35(11): 109594-. doi: 10.1016/j.cclet.2024.109594

    19. [19]

      Ruyan LiuZhenrui NiOlim RuzimuradovKhayit TurayevTao LiuLuo YuPanyong Kuang . Ni-induced modulation of Pt 5d-H 1s antibonding orbitals for enhanced hydrogen evolution and urea oxidation. Acta Physico-Chimica Sinica, 2025, 41(12): 100159-0. doi: 10.1016/j.actphy.2025.100159

    20. [20]

      Jiao ChenZihan ZhangGuojin SunYudi ChengAihua WuZefan WangWenwen JiangFulin ChenXiuying XieJianli Li . Benzo[4,5]imidazo[1,2-a]pyrimidine-based structure-inherent targeting fluorescent sensor for imaging lysosomal viscosity and diagnosis of lysosomal storage disorders. Chinese Chemical Letters, 2024, 35(11): 110050-. doi: 10.1016/j.cclet.2024.110050

Metrics
  • PDF Downloads(4)
  • Abstract views(1833)
  • HTML views(304)

通讯作者: 陈斌, bchen63@163.com
  • 1. 

    沈阳化工大学材料科学与工程学院 沈阳 110142

  1. 本站搜索
  2. 百度学术搜索
  3. 万方数据库搜索
  4. CNKI搜索
Address:Zhongguancun North First Street 2,100190 Beijing, PR China Tel: +86-010-82449177-888
Powered By info@rhhz.net

/

DownLoad:  Full-Size Img  PowerPoint
Return