Citation: Jia-Kuo Liu, Wei Gu, Xiao-Rui Cheng, Jun-Ping Cheng, Ai-Hua Nie, Wen-Xia Zhou. Design and synthesis of 5-cyclopropyl substituted cyclic acylguanidine compounds as BACE1 inhibitors[J]. Chinese Chemical Letters, ;2016, 27(10): 1626-1629. doi: 10.1016/j.cclet.2016.05.002 shu

Design and synthesis of 5-cyclopropyl substituted cyclic acylguanidine compounds as BACE1 inhibitors

  • Corresponding author: Ai-Hua Nie, ahnie512@163.com Wen-Xia Zhou, zhouwx@nic.bmi.ac.cn
  • Received Date: 1 March 2016
    Revised Date: 6 April 2016
    Accepted Date: 14 April 2016
    Available Online: 11 October 2016

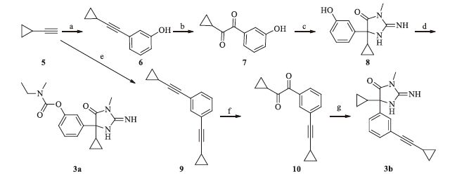
Figures(4)

Metrics
  • PDF Downloads(1)
  • Abstract views(1222)
  • HTML views(43)

通讯作者: 陈斌, bchen63@163.com
  • 1. 

    沈阳化工大学材料科学与工程学院 沈阳 110142

  1. 本站搜索
  2. 百度学术搜索
  3. 万方数据库搜索
  4. CNKI搜索
Address:Zhongguancun North First Street 2,100190 Beijing, PR China Tel: +86-010-82449177-888
Powered By info@rhhz.net

/

DownLoad:  Full-Size Img  PowerPoint
Return