Citation: Dai Zhong-Ran, Yin Chang-Feng, Wang Cheng, Wu Jin-Cai. Zinc bis-Schiff base complexes: Synthesis, structure, and application in ring-opening polymerization of rac-lactide[J]. Chinese Chemical Letters, ;2016, 27(11): 1649-1654. doi: 10.1016/j.cclet.2016.05.001 shu

Zinc bis-Schiff base complexes: Synthesis, structure, and application in ring-opening polymerization of rac-lactide

  • Corresponding author: Wu Jin-Cai, wujc@lzu.edu.cn
  • Received Date: 6 April 2016
    Revised Date: 23 April 2016
    Accepted Date: 28 April 2016
    Available Online: 6 November 2016

Figures(5)

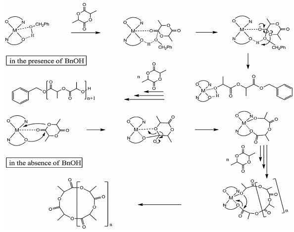
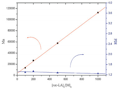
  • A series of bis-ligated zinc complexes supported by Schiff base ligands were successfully synthesized and characterized by 1H, 13C NMR, elemental analysis, and X-ray crystallography.These zinc complexes can be used as catalysts for the polymerization of rac-lactide in solution as well as in molten lactide.The results show that all catalysts exhibited high catalytic activity and obtained moderate heterotactic PLAs with the expected molecular weight.Complex 1 can catalyze the polymerization of rac-lactide under controllable conditions with living and immortal character in toluene solution.In addition, the steric hindrance and electronic effects has a great influence on the catalytic activity and selectivity of catalysts.
  • 加载中
    1. [1]

      (a) D. Sykes, M.D. Ward, Visible-light sensitisation of Tb(Ⅲ) luminescence using a blue-emitting Ir(Ⅲ) complex as energy-donor, Chem. Commun. 47(2011) 2279-2281;
      (b) M. Labet, W. Thielemans, Synthesis of polycaprolactone: a review, Chem. Soc. Rev. 38(2009) 3484-3504;
      (c) A. Kowalski, A. Duda, S. Penczek, Mechanism of cyclic ester polymerization initiated with Tin(Ⅱ) octoate. 2. Macromolecules fitted with Tin(Ⅱ) alkoxide species observed directly in MALDI-TOF spectra, Macromolecules 33(2000) 689-695.

    2. [2]

      (a) P.J. Dijkstra, H.Z. Du, J. Feijen, Single site catalysts for stereoselective ringopening polymerization of lactides, Polym. Chem. 2(2011) 520-527;
      (b) J.-C. Buffet, J. Okuda, Initiators for the stereoselective ring-opening polymerization of meso-lactide, Polym. Chem. 2(2011) 2758-2763;
      (c) M.J. Stanford, A.P. Dove, Stereocontrolled ring-opening polymerisation of lactide, Chem. Soc. Rev. 39(2010) 486-494.

    3. [3]

      (a) X. Pang, R.L. Duan, X. Li, et al., Synthesis and characterization of half-salen complexes and their application in the polymerization of lactide and e-caprolactone, Polym. Chem. 5(2014) 6857-6864;
      (b) Z.H. Tang, X.S. Chen, X. Pang, et al., Stereoselective polymerization of raclactide using a monoethylaluminum Schiff base complex, Biomacromolecules 5(2014) 965-970;
      (c) A. Pilone, K. Press, I. Goldberg, et al., Gradient isotactic multiblock polylactides from aluminum complexes of chiral salalen ligands, J. Am. Chem. Soc. 136(2014) 2940-2943;
      (d) M. Normand, T. Roisnel, J.-F. Carpentier, E. Kirillov, Dinuclear vs. mononuclear complexes: accelerated, metal-dependent ring-opening polymerization of lactide, Chem. Commun. 49(2013) 11692-11694;
      (e) W. Zhao, Y. Wang, X.L. Liu, et al., Protic compound mediated living crosschain-transfer polymerization of rac-lactide: synthesis of isotactic (crystalline)-heterotactic (amorphous) stereomultiblock polylactide, Chem. Commun. 48(2012) 6375-6377.

    4. [4]

      (a) T. Han, R. Petrus, D. Bykowski, L. Jerzykiewicz, P. Sobota, Synthesis and structural characterization of magnesium drug complexes: efficient initiators for forming polylactide-drug conjugates, Organometallics 34(2015) 4871-4880;
      (b) H.Y. Xie, Z.H. Mou, B. Liu, et al., Phosphinimino-amino magnesium complexes: synthesis and catalysis of heteroselective ROP of rac-lactide, Organometallics 33(2014) 722-730;
      (c) Y. Gao, Z. Dai, J. Zhang, X. Ma, N. Tang, J. Wu, Trinuclear and tetranuclear magnesium alkoxide clusters as highly active initiators for ring-opening polymerization of L-lactide, Inorg. Chem. 53(2013) 716-726;
      (d) W. Yi, H.Y. Ma, Magnesium and calcium complexes containing biphenylbased tridentate iminophenolate ligands for ring-opening polymerization of raclactide, Inorg. Chem. 52(2013) 11821-11835;
      (e) B.M. Chamberlain, M. Cheng, D.R. Moore, et al., Polymerization of lactide with zinc and magnesium b-diiminate complexes: stereocontrol and mechanism, J. Am. Chem. Soc. 123(2001) 3229-3238.

    5. [5]

      (a) Y. Yang, H.B. Wang, H.Y. Ma, Stereoselective polymerization of rac-lactide catalyzed by zinc complexes with tetradentate aminophenolate ligands in different coordination patterns: kinetics and mechanism, Inorg. Chem. 54(2015) 5839-5854;
      (b) H.B. Wang, Y. Yang, H.Y. Ma, Stereoselectivity switch between zinc and magnesium initiators in the polymerization of rac-lactide: different coordination chemistry, different stereocontrol mechanisms, Macromolecules 47(2014) 7750-7764;
      (c) Z.R. Dai, J.J. Zhang, Y. Gao, et al., Synthesis and structures of tridentate bdiketiminato zinc phenoxides as catalysts for immortal ring-opening polymerization of L-lactide, Catal. Sci. Technol. 3(2013) 3268-3277;
      (d) P.D. Knight, A.J.P. White, C.K. Williams, Dinuclear zinc complexes using pentadentate phenolate ligands, Inorg. Chem. 47(2008) 11711-11719.

    6. [6]

      (a) D.C. Aluthge, E.X. Yan, J.M. Ahn, P. Mehrkhodavandi, Role of aggregation in the synthesis and polymerization activity of salBinap indium alkoxide complexes, Inorg. Chem. 53(2014) 6828-6836;
      (b) I. Yu, A. Acosta-Ramírez, P. Mehrkhodavandi, Mechanism of living lactide polymerization by dinuclear indium catalysts and its impact on isoselectivity, J. Am. Chem. Soc. 134(2012) 12758-12773;
      (c) A. Pietrangelo, M.A. Hillmyer, W.B. Tolman, Stereoselective and controlled polymerization of D, L-lactide using indium(Ⅲ) trichloride, Chem. Commun. 19(2009) 2736-2737;
      (d) A.F. Douglas, B.O. Patrick, P. Mehrkhodavandi, A highly active chiral indium catalyst for living lactide polymerization, Angew. Chem. Int. Ed. 47(2008) 2290-2293.

    7. [7]

      (a) C. Bakewell, A.J.P. White, N.J. Long, C.K. Williams, Metal-size influence in isoselective lactide polymerization, Angew. Chem. Int. Ed. 53(2014) 9226-9230;
      (b) C.G. Jaffredo, Y. Chapurina, S.M. Guillaume, J.-F. Carpentier, From syndiotactic homopolymers to chemically tunable alternating copolymers: highly active yttrium complexes for stereoselective ring-opening polymerization of b-malolactonates, Angew. Chem. Int. Ed. 53(2014) 2687-2691;
      (c) L.Clark, M.G. Cushion, H.E.Dyer, et al., Dicationicandzwitterionic catalysts for the amine-initiated, immortal ring-opening polymerisation of rac-lactide: facile synthesis of amine-terminated, highly heterotactic PLA, Chem. Commun. 46(2010) 273-275;
      (d) J.W. Kramer, D.S. Treitler, E.W. Dunn, et al., Polymerization of enantiopure monomers using syndiospecific catalysts: a new approach to sequence control in polymer synthesis, J. Am. Chem. Soc. 131(2009) 16042-16044;
      (e) H.Y. Ma, T.P. Spaniol, J. Okuda, Highly heteroselective ring-opening polymerization of rac-lactide initiated by bis(phenolato)scandium complexes, Angew. Chem. Int. Ed. 45(2006) 7818-7821.

    8. [8]

      (a) C. Bakewell, G. Fateh-Iravani, D.W. Beh, et al., Comparing a series of 8-quinolinolato complexes of aluminium, titanium and zinc as initiators for the ringopening polymerization of rac-lactide, Dalton Trans. 44(2015) 12326-12337;
      (b) A. Stopper, K. Press, J. Okuda, I. Goldberg, M. Kol, Zirconium complexes of phenylene-bridged {ONSO} ligands: coordination chemistry and stereoselective polymerization of rac-lactide, Inorg. Chem. 53(2014) 9140-9150.

    9. [9]

      (a) H.-W. Ou, K.-H. Lo, W.-T. Du, et al., Synthesis of sodium complexes supported with NNO-tridentate Schiff base ligands and their applications in the ringopening polymerization of L-lactide, Inorg. Chem. 55(2016) 1423-1432;
      (b) Z.R. Dai, Y.Y. Sun, J. Xiong, et al., Simple sodium and potassium phenolates as catalysts for highly isoselective polymerization ofrac-lactide, Catal. Sci. Technol. 6(2016) 515-520;
      (c) F.M. García-Valle, R. Estivill, C. Gallegos, et al., Metal and ligand-substituent effects in the immortal polymerization of rac-lactide with Li, Na, and K phenoxoimine complexes, Organometallics 34(2015) 477-487;
      (d) H.-Y. Chen, J.B. Zhang, C.-C. Lin, J.H. Reibenspiesa, S.A. Miller, Efficient and controlled polymerization of lactide under mild conditions with a sodium-based catalyst, Green Chem. 9(2007) 1038-1040.

    10. [10]

      (a) D.J. Darensbourg, O. Karroonnirun, Ring-opening polymerization of lactides catalyzed by natural amino-acid based zinc catalysts, Inorg. Chem. 49(2010) 2360-2371;
      (b) D.J. Darensbourg, O. Karroonnirun, Ring-opening polymerization of L-lactide and e-caprolactone utilizing biocompatible zinc catalysts. Random copolymerization of L-lactide and e-caprolactone, Macromolecules 43(2010) 8880-8886;
      (c) H.-Y. Chen, H.-Y. Tang, C.-C. Lin, Ring-opening polymerization of lactides initiated by zinc alkoxides derived from NNO-tridentate ligands, Macromolecules 39(2006) 3745-3752.

    11. [11]

      Huang M., Pan C., Ma H.Y.. Ring-opening polymerization of rac-lactide and amethyltrimethylene carbonate catalyzed by magnesium and zinc complexes derived from binaphthyl-based iminophenolate ligands[J]. Dalton Trans., 2015,44:12420-12431. doi: 10.1039/C5DT00158G

    12. [12]

      Darensbourg D.J., Rainey P., Yarbrough J.. Bis-salicylaldiminato complexes of zinc examination of the catalyzed epoxide/CO2 copolymerization[J]. Inorg. Chem., 2001,40:986-993. doi: 10.1021/ic0006403

    13. [13]

      Silvino A.C., de Abreu Talina Martins D.B., da Costa Rodrigues A., Dias M.L.. Kinetic behavior in melt state and solid state polymerization of lactide using magnesium stearate as catalyst[J]. J. Polym. Environ., 2013,21:1002-1008. doi: 10.1007/s10924-013-0603-1

    14. [14]

      (a) G.Q. Xiao, B. Yan, R. Ma, et al., Bulk ring-opening polymerization (ROP) of Llactide catalyzed by Ni(Ⅱ) and Ni(Ⅱ)-Sm(Ⅲ) complexes based on a salen-type Schiff-base ligand, Polym. Chem. 2(2011) 659-664;
      (b) A.D. Schwarz, Z.Y. Chu, P. Mountford, Sulfonamide-supported aluminum catalysts for the ring-opening polymerization of rac-lactide, Organometallics 29(2010) 1246-1260;
      (c) M. Bouyahyi, E. Grunova, N. Marquet, et al., Aluminum complexes of fluorinated dialkoxy-diimino salen-like ligands: syntheses, structures, and use in ringopening polymerization of cyclic esters, Organometallics 27(2008) 5815-5825;
      (d) A.J. Chmura, M.G. Davidson, C.J. Frankis, M.D. Jones, M.D. Lunn, Highly active and stereoselective zirconium and hafnium alkoxide initiators for solvent-free ring-opening polymerization of rac-lactide, Chem. Commun. 11(2008) 1293-1295.

    15. [15]

      Devaine-Pressing K., Lehr J.H., Pratt M.E.. Magnesium amino-bis(phenolato) complexes for the ring-opening polymerization of rac-lactide[J]. Dalton Trans., 2015,44:12365-12375. doi: 10.1039/C5DT00236B

    16. [16]

      Crystallographic data for 1: C56H60N2O4Zn, M=888.38, crystal dimensions 0.170.180.23 mm3, triclinic, space group, P-1, a=10.9901(7), b=16.2430(19), c=17.7061(19)Å, V=2669.6(6)Å3, Z=2, calcd=1.2137 g cm-3, MoKa radiation (=0.71073Å), T=291 K. Scans, wR2=0.2141, R=0.0750, S=1.077, for 619 parameters. CCDC 1469815 contains the supplementary crystallographic data for this paper. These data can be obtained free of charge from The Cambridge Crystallographic Data Centre via www.ccdc.cam.ac.uk/data_request/cif.

    17. [17]

      (a) S.-C. Roşca, D.-A. Roşca, V. Dorcet, et al., Alkali aminoether-phenolate complexes: synthesis, structural characterization and evidence for an activated monomer ROP mechanism, Dalton Trans. 42(2013) 9361-9375;
      (b) R.K. Dean, A.M. Reckling, H. Chen, et al., Ring-opening polymerization of cyclic esters with lithium amine-bis(phenolate) complexes, Dalton Trans. 42(2013) 3504-3530;
      (c) N. Ikpo, C. Hoffmann, L.N. Dawe, F.M. Kerton, Ring-opening polymerization of e-caprolactone by lithium piperazinyl-aminephenolate complexes: synthesis, characterization and kinetic studies, Dalton Trans. 41(2012) 6651-6660.

    18. [18]

      (a) Z.H. Mou, B. Liu, M.Y. Wang, et al., Isoselective ring-opening polymerization of rac-lactide initiated by achiral heteroscorpionate zwitterionic zinc complexes, Chem. Commun. 50(2014) 11411-11414;
      (b) K.A. Gerling, N.M. Rezayee, A.L. Rheingold, D.B. Greena, J.M. Fritsch, Synthesis and structures of bis-ligated zinc complexes supported by tridentate ketoimines that initiate L-lactide polymerization, Dalton Trans. 43(2014) 16498-16508;
      (c) S. Abbina, G.D. Du, Zinc-catalyzed highly isoselective ring opening polymerization of rac-lactide, ACS Macro Lett. 3(2014) 689-692.

    19. [19]

      (a) M. Honrado, A. Otero, J. Fernández-Baeza, et al., Stereoselective ROP of raclactide mediated by enantiopure NNO-Scorpionate zinc initiators, Organometallics 33(2014) 1859-1866;
      (b) Y. Wang, H.Y. Ma, Exploitation of dinuclear salan aluminum complexes for versatile copolymerization of e-caprolactone and L-lactide, Chem. Commun. 48(2012) 6729-6731.

    20. [20]

      (a) Z.R. Dai, Y.Y. Sun, J. Xiong, X.B. Pan, J.C. Wu, Alkali-metal monophenolates with a sandwich-type catalytic center as catalysts for highly isoselective polymerization of rac-lactide, ACS Macro Lett. 4(2015) 556-560;
      (b) H.-Y. Chen, L. Mialon, K.A. Abboud, S.A. Miller, Comparative study of lactide polymerization with lithium, sodium, magnesium, and calcium complexes of BHT, Organometallics 31(2012) 5252-5261;
      (c) A.K. Sutar, T. Maharana, S. Dutta, C.-T. Chen, C.-C. Lin, Ring-opening polymerization by lithium catalysts: an overview, Chem. Soc. Rev. 39(2010) 1724-1746.

    21. [21]

      Kowalski A., Duda A., Penczek S.. Polymerization of L, L-lactide initiated by aluminum isopropoxide trimer or tetramer[J]. Macromolecules, 1998,31:2114-2122. doi: 10.1021/ma971737k

    22. [22]

      Sánchez-Barba L.F., Garcés A., Fernández-Baeza J.. Stereoselective production of poly(rac-lactide) by ROP with highly efficient bulky heteroscorpionate alkylmagnesium initiators[J]. Organometallics, 2011,30:2775-2789. doi: 10.1021/om200163t

  • 加载中
    1. [1]

      Ke Wang Jia Wu Shuyi Zheng Shibin Yin . NiCo Alloy Nanoparticles Anchored on Mesoporous Mo2N Nanosheets as Efficient Catalysts for 5-Hydroxymethylfurfural Electrooxidation and Hydrogen Generation. Chinese Journal of Structural Chemistry, 2023, 42(10): 100104-100104. doi: 10.1016/j.cjsc.2023.100104

    2. [2]

      Jinli Chen Shouquan Feng Tianqi Yu Yongjin Zou Huan Wen Shibin Yin . Modulating Metal-Support Interaction Between Pt3Ni and Unsaturated WOx to Selectively Regulate the ORR Performance. Chinese Journal of Structural Chemistry, 2023, 42(10): 100168-100168. doi: 10.1016/j.cjsc.2023.100168

    3. [3]

      Renshu Huang Jinli Chen Xingfa Chen Tianqi Yu Huyi Yu Kaien Li Bin Li Shibin Yin . Synergized oxygen vacancies with Mn2O3@CeO2 heterojunction as high current density catalysts for Li–O2 batteries. Chinese Journal of Structural Chemistry, 2023, 42(11): 100171-100171. doi: 10.1016/j.cjsc.2023.100171

    4. [4]

      Huyi Yu Renshu Huang Qian Liu Xingfa Chen Tianqi Yu Haiquan Wang Xincheng Liang Shibin Yin . Te-doped Fe3O4 flower enabling low overpotential cycling of Li-CO2 batteries at high current density. Chinese Journal of Structural Chemistry, 2024, 43(3): 100253-100253. doi: 10.1016/j.cjsc.2024.100253

    5. [5]

      Yatian DengDao WangJinglan ChengYunkun ZhaoZongbao LiChunyan ZangJian LiLichao Jia . A new popular transition metal-based catalyst: SmMn2O5 mullite-type oxide. Chinese Chemical Letters, 2024, 35(8): 109141-. doi: 10.1016/j.cclet.2023.109141

    6. [6]

      Gang HuChun WangQinqin WangMingyuan ZhuLihua Kang . The controlled oxidation states of the H4PMo11VO40 catalyst induced by plasma for the selective oxidation of methacrolein. Chinese Chemical Letters, 2025, 36(2): 110298-. doi: 10.1016/j.cclet.2024.110298

    7. [7]

      Guanxiong YuChengkai XuHuaqiang JuJie RenGuangpeng WuChengjian ZhangXinghong ZhangZhen XuWeipu ZhuHao-Cheng YangHaoke ZhangJianzhao LiuZhengwei MaoYang ZhuQiao JinKefeng RenZiliang WuHanying Li . Key progresses of MOE key laboratory of macromolecular synthesis and functionalization in 2023. Chinese Chemical Letters, 2024, 35(11): 109893-. doi: 10.1016/j.cclet.2024.109893

    8. [8]

      Zhikang WuGuoyong DaiQi LiZheyu WeiShi RuJianda LiHongli JiaDejin ZangMirjana ČolovićYongge Wei . POV-based molecular catalysts for highly efficient esterification of alcohols with aldehydes as acylating agents. Chinese Chemical Letters, 2024, 35(8): 109061-. doi: 10.1016/j.cclet.2023.109061

    9. [9]

      Yulong LiuHaoran LuTong YangPeng ChengXu HanWenyan Liang . Catalytic applications of amorphous alloys in wastewater treatment: A review on mechanisms, recent trends, challenges and future directions. Chinese Chemical Letters, 2024, 35(10): 109492-. doi: 10.1016/j.cclet.2024.109492

    10. [10]

      Yufei LiuLiang XiongBingyang GaoQingyun ShiYing WangZhiya HanZhenhua ZhangZhaowei MaLimin WangYong Cheng . MOF-derived Cu based materials as highly active catalysts for improving hydrogen storage performance of Mg-Ni-La-Y alloys. Chinese Chemical Letters, 2024, 35(12): 109932-. doi: 10.1016/j.cclet.2024.109932

    11. [11]

      Xiaoyu DuHuan Wang . Tailoring mass transfer on electrochemical fixation of air-abundant molecules. Chinese Chemical Letters, 2025, 36(8): 110276-. doi: 10.1016/j.cclet.2024.110276

    12. [12]

      Xu HeWenjie GaoJinglei XuZhanjun ChengWenchao PengBeibei YanGuanyi ChenNing Li . Machine learning-assisted construction of C=O and pyridinic N active sites in sludge-based catalysts. Chinese Chemical Letters, 2025, 36(12): 111019-. doi: 10.1016/j.cclet.2025.111019

    13. [13]

      Yue SunLiming YangYaohang ChengGuanghui AnGuangming Li . Pd(I)-catalyzed ring-opening arylation of cyclopropyl-α-aminoamides: Access to α-ketoamide peptidomimetics. Chinese Chemical Letters, 2024, 35(6): 109250-. doi: 10.1016/j.cclet.2023.109250

    14. [14]

      Rong-Nan YiWei-Min He . Visible light/copper catalysis enabled radial type ring-opening of sulfonium salts. Chinese Chemical Letters, 2025, 36(4): 110787-. doi: 10.1016/j.cclet.2024.110787

    15. [15]

      Mingxing ChenXue LiNian LiuZihe DuZhitao WangJing Qi . A zinc-nitrate battery for efficient ammonia electrosynthesis and energy output by a high entropy hydroxide catalyst. Chinese Chemical Letters, 2025, 36(10): 111294-. doi: 10.1016/j.cclet.2025.111294

    16. [16]

      Qinghong ZhangQiao ZhaoXiaodi WuLi WangKairui ShenYuchen HuaCheng GaoYu ZhangMei PengKai Zhao . Visible-light-induced ring-opening cross-coupling of cycloalcohols with vinylazaarenes and enones via β-C-C scission enabled by proton-coupled electron transfer. Chinese Chemical Letters, 2025, 36(2): 110167-. doi: 10.1016/j.cclet.2024.110167

    17. [17]

      Wentao XuXuyan MoYang ZhouZuxian WengKunling MoYanhua WuXinlin JiangDan LiTangqi LanHuan WenFuqin ZhengYoujun FanWei Chen . Bimetal Leaching Induced Reconstruction of Water Oxidation Electrocatalyst for Enhanced Activity and Stability. Acta Physico-Chimica Sinica, 2024, 40(8): 2308003-0. doi: 10.3866/PKU.WHXB202308003

    18. [18]

      Zhaoyu WenNa HanYanguang Li . Recent Progress towards the Production of H2O2 by Electrochemical Two-Electron Oxygen Reduction Reaction. Acta Physico-Chimica Sinica, 2024, 40(2): 2304001-0. doi: 10.3866/PKU.WHXB202304001

    19. [19]

      Peng Wang Daijie Deng Suqin Wu Li Xu . Cobalt-based deep eutectic solvent modified nitrogen-doped carbon catalyst for boosting oxygen reduction reaction in zinc-air batteries. Chinese Journal of Structural Chemistry, 2024, 43(1): 100199-100199. doi: 10.1016/j.cjsc.2023.100199

    20. [20]

      Xiang LiBeibei ZhangZhixiang WangXiangyu Chen . Organocatalyzed iodine-mediated reversible-deactivation radical polymerization via photoinduced charge transfer complex catalysis. Chinese Chemical Letters, 2025, 36(6): 110383-. doi: 10.1016/j.cclet.2024.110383

Metrics
  • PDF Downloads(4)
  • Abstract views(1160)
  • HTML views(11)

通讯作者: 陈斌, bchen63@163.com
  • 1. 

    沈阳化工大学材料科学与工程学院 沈阳 110142

  1. 本站搜索
  2. 百度学术搜索
  3. 万方数据库搜索
  4. CNKI搜索
Address:Zhongguancun North First Street 2,100190 Beijing, PR China Tel: +86-010-82449177-888
Powered By info@rhhz.net

/

DownLoad:  Full-Size Img  PowerPoint
Return