Citation: Zhang Yuan, Fang Yuan, Xu Nai-Zhang, Zhang Ming-Qun, Wu Guan-Zhi, Yao Cheng. A colorimetric and ratiometric fluorescent chemosensor based on furan-pyrene for selective and sensitive sensing Al3+[J]. Chinese Chemical Letters, ;2016, 27(11): 1673-1678. doi: 10.1016/j.cclet.2016.04.011 shu

A colorimetric and ratiometric fluorescent chemosensor based on furan-pyrene for selective and sensitive sensing Al3+

Figures(9)

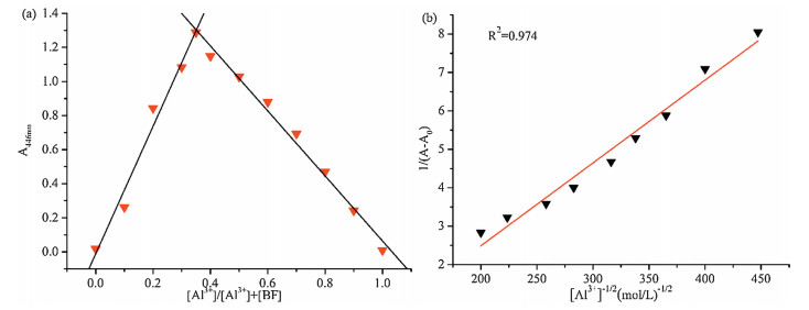
  • A new pyrene derivative BF bearing a furan group was synthesized via a one-step reaction as a colorimetric and ratiometric chemosensor for Al3+in ethanol-H2O (9:1, v/v, pH 7.2, HEPES buffer) solution.This chemosensor could selectively recognize Al3+ in the presence of other competing ions.Low limit of detection (LOD) and high association constant revealed its superior sensitivity and binding affinity toward Al3+.Besides, the probe BF performed perfectly in a reversibility test using EDTA.The mechanism of the interaction has been confirmed by 1H NMR titration.Importantly, chemosensor BF has also been utilized to detect Al3+ on test paper strips, which showed its potential for practical applications.
  • 加载中
    1. [1]

      Prodi L., Montalti M., Zaccheroni N.. Characterization of 5-chloro-8-methoxyquinoline appended diaza-18-crown-6 as a chemosensor for cadmium[J]. Tetrahedron Lett., 2001,42:2941-2944. doi: 10.1016/S0040-4039(01)00330-6

    2. [2]

      Rurack K., Kollmannsberger M., Resch-Genger U., Daub J.. A selective and sensitive fluoroionophore for Hg, Ag, and Cu with virtually decoupled fluorophore and receptor units[J]. J. Am. Chem. Soc., 2000,122:968-969. doi: 10.1021/ja992630a

    3. [3]

      Butler O.T., Cook J.M., Davidson C.M., Harrington C.F., Miles D.L.. Atomic spectrometry update. Environmental analysis[J]. J. Anal. At. Spectrom., 2009,24:131-177. doi: 10.1039/b821579k

    4. [4]

      Li Y.F., Chen C.Y., Li B.. Elimination efficiency of different reagents for the memory effect of mercury using ICP-MS[J]. J. Anal. Atomic Spectrom., 2006,21:94-96. doi: 10.1039/B511367A

    5. [5]

      Ueno T., Nagano T.. Fluorescent probes for sensing and imaging[J]. Nat. Meth., 2011,8:642-645. doi: 10.1038/nmeth.1663

    6. [6]

      Robinson G.H.. Aluminum[J]. Chem. Eng. News, 2003,8154.

    7. [7]

      Exley C.. Has edited a special issue devoted to 'Aluminium: Lithosphere to Biosphere (and Back)'[J]. J. Inorg. Biochem., 2005,99:1747-1920. doi: 10.1016/j.jinorgbio.2005.07.004

    8. [8]

      Barceló J., Poschenrieder C.. Fast root growth responses, root exudates, and internal detoxification as clues to the mechanisms of aluminium toxicity and resistance: a review[J]. Environ. Exp. Bot., 2002,48:75-92. doi: 10.1016/S0098-8472(02)00013-8

    9. [9]

      Valeur B., Leray I.. Design principles of fluorescent molecular sensors for cation recognition[J]. Coord. Chem. Rev., 2000,205:3-40. doi: 10.1016/S0010-8545(00)00246-0

    10. [10]

      Krejpcio Z., Wojciak R.. The influence of Al3+ ions on pepsin and trypsin activity in vitro[J]. Polish J. Environ. Studies, 2002,11:251-254.  

    11. [11]

      Perl D.P., Gajdusek D.C., Garruto R.M., Yanagihara R.T., Gibbs C.J.. Intraneuronal aluminum accumulation in amyotrophic lateral sclerosis and Parkinsonismdementia of Guam[J]. Science, 1982,217:1053-1055. doi: 10.1126/science.7112111

    12. [12]

      Perl D.P., Brody A.R.. Alzheimer's disease: X-ray spectrometric evidence of aluminum accumulation in neurofibrillary tangle-bearing neurons[J]. Science, 1980,208:297-299. doi: 10.1126/science.7367858

    13. [13]

      Soroka K., Vithanage R.S., Phillips D.A., Walker B., Dasgupta P.K.. Fluorescence properties of metal complexes of 8-hydroxyquinoline-5-sulfonic acid and chromatographic applications[J]. Anal. Chem., 1987,59:629-636. doi: 10.1021/ac00131a019

    14. [14]

      Al-Kindy S.M.Z., Suliman F.E.O., Pillay A.E.. Fluorimetric determination of aluminium using sequential injection analysis (SIA): state of our art and future developments[J]. Instr. Sci. Technol., 2006,34:619-633. doi: 10.1080/10739140600963830

    15. [15]

      Han T.Y., Feng X., Tong B.. A novel "turn-on" fluorescent chemosensor for the selective detection of Al3+ based on aggregation-induced emission[J]. Chem. Commun., 2012,48:416-418. doi: 10.1039/C1CC15681K

    16. [16]

      Shi X.Y., Wang H., Han T.Y.. A highly sensitive, single selective, real-time and "turn-on" fluorescent sensor for Al3+ detection in aqueous media[J]. J. Mater. Chem., 2012,22:19296-19302. doi: 10.1039/c2jm33393g

    17. [17]

      Ding W.H., Cao W., Zheng X.J.. A highly selective fluorescent chemosensor for Al ion and fluorescent species formed in the solution[J]. Inorg. Chem., 2013,52:7320-7322. doi: 10.1021/ic401028u

    18. [18]

      Lu Y., Huang S.S., Liu Y.Y.. Highly selective and sensitive fluorescent turn-on chemosensor for Al3+ based on a novel photoinduced electron transfer approach[J]. Org. Lett., 2011,13:5274-5277. doi: 10.1021/ol202054v

    19. [19]

      Ren J.L., Zhang J., Luo J.Q., Pei X.K., Jiang Z.X.. Improved fluorimetric determination of dissolved aluminium by micelle-enhanced lumogallion complex in natural waters[J]. Analyst, 2001,126:698-702. doi: 10.1039/b007593k

    20. [20]

      Ng S.M., Narayanaswamy R.. Fluorescence sensor using a molecularly imprinted polymer as a recognition receptor for the detection of aluminium ions in aqueous media[J]. Anal. Bioanal. Chem., 2006,386:1235-1244. doi: 10.1007/s00216-006-0736-3

    21. [21]

      Wang Y.W., Yu M.X., Yu Y.H.. A colorimetric and fluorescent turn-on chemosensor for Al3+ and its application in bioimaging[J]. Tetrahedron Lett., 2009,50:6169-6172. doi: 10.1016/j.tetlet.2009.08.078

    22. [22]

      J.B. Birks, Photophysics of Aromatic Molecules, Wiley Interscience, London, 1970.

    23. [23]

      Lee Y.O., Lee J.Y., Quang D.T., Lee M.H., Kim J.S.. Pyrene-coumarin based calix fluorophore emitting exciplex[J]. Bull. Kor. Chem. Soc., 2006,271469. doi: 10.5012/bkcs.2006.27.9.1469

    24. [24]

      Park H.R., Oh C.H., Lee H.C.. Quenching of ofloxacin and flumequine fluorescence by divalent transition metal cations[J]. Bull. Korean Chem. Soc., 2006,27:2002-2010. doi: 10.5012/bkcs.2006.27.12.2002

    25. [25]

      Sun X., Wang Y.W., Peng Y.. A selective and ratiometric bifunctional fluorescent probe for Al3+ ion and proton[J]. Org. Lett., 2012,14:3420-3423. doi: 10.1021/ol301390g

    26. [26]

      Liu J.W., Lu Y.. Rational design of "turn-on" allosteric DNAzyme catalytic beacons for aqueous mercury ions with ultrahigh sensitivity and selectivity[J]. Angew. Chem., 2007,119:7731-7734. doi: 10.1002/(ISSN)1521-3757

    27. [27]

      Lee Y.J., Lim C., Suh H., Song E.J., Kim C.. A multifunctional sensor: chromogenic sensing for Mn2+ and fluorescent sensing for Zn2+ and Al3+[J]. Sensors Actuat. B: Chem., 2014,201:535-544. doi: 10.1016/j.snb.2014.05.035

    28. [28]

      Liu Y.W., Chen C.H., Wu A.T.. A turn-on and reversible fluorescence sensor for Al3+ ion[J]. Analyst, 2012,137:5201-5203. doi: 10.1039/c2an35854a

    29. [29]

      Patil R., Moirangthem A., Butcher R.. Al3+ selective colorimetric and fluorescent red shifting chemosensor: application in living cell imaging[J]. Dalton Trans., 2014,43:2895-2899. doi: 10.1039/C3DT52770K

    30. [30]

      Kaur K., Bhardwaj V.K., Kaur N., Singh N.. Imine linked fluorescent chemosensor for Al3+ and resultant complex as a chemosensor for HSO4 anion[J]. Inorg. Chem. Commun., 2012,18:79-82. doi: 10.1016/j.inoche.2012.01.018

    31. [31]

      Kaur K., Bhardwaj V.K., Kaur N., Singh N.. Fluorescent chemosensor for Al3+ and resultant complex as a chemosensor for perchlorate anion: first molecular security keypad lock based on Al3+ and ClO4-inputs[J]. Inorg. Chem. Commun., 2012,26:31-36. doi: 10.1016/j.inoche.2012.09.008

    32. [32]

      Mahapatra A.K., Ali S.S., Maiti K.. Aminomethylpyrene-based imino-phenols as primary fluorescence switch-on sensors for Al3+ in solution and in Vero cells and their complexes as secondary recognition ensembles toward pyrophosphate[J]. RSC Adv., 2015,5:81203-81211. doi: 10.1039/C5RA16641A

    33. [33]

      Gupta V.K., Mergu N., Singh A.K.. Rhodamine-derived highly sensitive and selective colorimetric and off-on optical chemosensors for Cr3+[J]. Sensors Actuat. B: Chem., 2015,220:420-432. doi: 10.1016/j.snb.2015.05.075

    34. [34]

      Fu Y., Jiang X.J., Zhu Y.Y.. A new fluorescent probe for Al3+ based on rhodamine 6G and its application to bioimaging[J]. Dalton Trans., 2014,43:12624-12632. doi: 10.1039/C4DT01453G

    35. [35]

      Ding W.H., Cao W., Zheng X.J.. A tetrazole-based fluorescence "turn-on" sensor for Al (iii) and Zn (ii) ions and its application in bioimaging[J]. Dalton Trans., 2014,43:6429-6435. doi: 10.1039/c4dt00009a

    36. [36]

      Cao W., Zheng X.J., Sun J.P.. A highly selective chemosensor for Al (Ⅲ) and Zn (Ⅱ) and its coordination with metal ions[J]. Inorg. Chem., 2014,53:3012-3021. doi: 10.1021/ic402811x

    37. [37]

      Long Y., Zhou J., Yang M.P., Yang B.Q.. A selective and sensitive off-on probe for palladium and its application for living cell imaging[J]. Chin. Chem. Lett., 2016,27:205-210. doi: 10.1016/j.cclet.2015.09.003

    38. [38]

      Benesi H.A., Hildebrand J.H.. A spectrophotometric investigation of the interaction of iodine with aromatic hydrocarbons[J]. J. Am. Chem. Soc., 1949,71:2703-2707. doi: 10.1021/ja01176a030

    39. [39]

      Yang X.B., Yang B.X., Ge J.F.. Benzo[a]phenoxazinium-based red-emitting chemosensor for zinc ions in biological media[J]. Org. Lett., 2011,13:2710-2713. doi: 10.1021/ol2008022

    40. [40]

      Zhu M., Yuan M.J., Liu X.F.. Visible near-infrared chemosensor for mercury ion[J]. Org. Lett., 2008,10:1481-1484. doi: 10.1021/ol800197t

    41. [41]

      Jiang X.D., Yu H.F., Zhao J.L.. A colorimetric chemosensor based on new water-soluble PODIPY dye for Hg2+ detection[J]. Chin. Chem. Lett., 2015,26:1241-1245. doi: 10.1016/j.cclet.2015.07.002

  • 加载中
    1. [1]

      Fangbing WangQiankun ZengJing RenMin ZhangGuoyue Shi . A membrane-based plasma separator coupled with ratiometric fluorescent sensor for biochemical analysis in whole blood. Chinese Chemical Letters, 2025, 36(7): 110494-. doi: 10.1016/j.cclet.2024.110494

    2. [2]

      Rongxin ZhuShengsheng YuXuanzong YangRuyu ZhuHui LiuKaikai NiuLingbao Xing . Construction of pyrene-based hydrogen-bonded organic frameworks as photocatalysts for photooxidation of styrene in water. Chinese Chemical Letters, 2024, 35(10): 109539-. doi: 10.1016/j.cclet.2024.109539

    3. [3]

      Baoli YinXinlin LiuZhe LiZhifei YeYoujuan WangXia YinSulai LiuGuosheng SongShuangyan HuanXiao-Bing Zhang . Ratiometric NIR-Ⅱ fluorescent organic nanoprobe for imaging and monitoring tumor-activated photodynamic therapy. Chinese Chemical Letters, 2025, 36(5): 110119-. doi: 10.1016/j.cclet.2024.110119

    4. [4]

      Shengyi GongGuoqiang Feng . Visible light-triggered NIR ratiometric fluorescent metal-free CO-releasing molecule for self-monitoring of CO delivery and effective cancer therapy. Chinese Chemical Letters, 2025, 36(7): 110409-. doi: 10.1016/j.cclet.2024.110409

    5. [5]

      Jia FuShilong ZhangLirong LiangChunyu DuZhenqiang YeGuangming Chen . PEDOT-based thermoelectric composites: Preparation, mechanism and applications. Chinese Chemical Letters, 2024, 35(9): 109804-. doi: 10.1016/j.cclet.2024.109804

    6. [6]

      Haojie SongLaiyu LuoSiyu WangGuo ZhangBaojiang Jiang . Advances in poly(heptazine imide)/poly(triazine imide) photocatalyst. Chinese Chemical Letters, 2024, 35(10): 109347-. doi: 10.1016/j.cclet.2023.109347

    7. [7]

      Jia ChenYun LiuZerong LongYan LiHongdeng Qiu . Colorimetric detection of α-glucosidase activity using Ni-CeO2 nanorods and its application to potential natural inhibitor screening. Chinese Chemical Letters, 2024, 35(9): 109463-. doi: 10.1016/j.cclet.2023.109463

    8. [8]

      Yuanyu YANGJianhua XUEYujia BAILulu CUIDongdong YANGQi MA . Design, synthesis, and detection of Al3+ of two zinc complexes based on Schiff base ligands. Chinese Journal of Inorganic Chemistry, 2025, 41(6): 1207-1216. doi: 10.11862/CJIC.20250005

    9. [9]

      Yang LIUJin TONGShuyan YU . Co(Ⅱ) coordination polymers: Structural characterization and fluorescence sensing of Al3+ in aqueous. Chinese Journal of Inorganic Chemistry, 2025, 41(11): 2399-2408. doi: 10.11862/CJIC.20250114

    10. [10]

      Huaihao CHENLingwen ZHANGYukun CHENJianjun ZHANG . A water-stable metal-organic framework probe for Al3+/Ga3+/In3+ detection. Chinese Journal of Inorganic Chemistry, 2025, 41(12): 2601-2608. doi: 10.11862/CJIC.20250184

    11. [11]

      Tiantian Zheng Huiyi Wang Huimin Li Xuanhe Liu Hong Shang . Anti-Counterfeiting National Salvation Chronicle of 006. University Chemistry, 2024, 39(9): 254-258. doi: 10.3866/PKU.DXHX202307032

    12. [12]

      Yuanyin CuiJinfeng ZhangHailiang ChuLixian SunKai Dai . Rational Design of Bismuth Based Photocatalysts for Solar Energy Conversion. Acta Physico-Chimica Sinica, 2024, 40(12): 2405016-0. doi: 10.3866/PKU.WHXB202405016

    13. [13]

      Cheng-an Tao Jian Huang Yujiao Li . Exploring the Application of Artificial Intelligence in University Chemistry Laboratory Instruction. University Chemistry, 2025, 40(9): 5-10. doi: 10.12461/PKU.DXHX202408132

    14. [14]

      Yu LiuPengfei LiYize LiuZaicheng Sun . Recent advances in carbon dots as a single photocatalyst. Acta Physico-Chimica Sinica, 2026, 42(2): 100167-0. doi: 10.1016/j.actphy.2025.100167

    15. [15]

      Qingyu NiuYulu ZhangZerong GeJiabao LiuZhiqiang LiYong ChenYu Liu . Competitive binding based on cucurbit[8]uril for florescence/phosphorescence ratiometric detection of 3-nitrotyrosine. Chinese Chemical Letters, 2025, 36(11): 110935-. doi: 10.1016/j.cclet.2025.110935

    16. [16]

      Miaomiao He Zhiqing Ge Qiang Zhou Jiaqing He Hong Gong Lingling Li Pingping Zhu Wei Shao . Exploring the Fascinating Realm of Quantum Dots. University Chemistry, 2024, 39(6): 231-237. doi: 10.3866/PKU.DXHX202310040

    17. [17]

      Gengchen GuoTianyu ZhaoRuichang SunMingzhe SongHongyu LiuSen WangJingwen LiJingbin Zeng . Au-Fe3O4 dumbbell-like nanoparticles based lateral flow immunoassay for colorimetric and photothermal dual-mode detection of SARS-CoV-2 spike protein. Chinese Chemical Letters, 2024, 35(6): 109198-. doi: 10.1016/j.cclet.2023.109198

    18. [18]

      Jiming XIYukang TENGRui ZHANGZhenzhong LU . Fluorescent coordination polymers based on anthracene-and pyrene-derivative ligands. Chinese Journal of Inorganic Chemistry, 2025, 41(5): 847-854. doi: 10.11862/CJIC.20240367

    19. [19]

      Haijiang GongQingtan ZengShili GaiYaqian DuJing ZhangQingyu WangHe DingLichun WuAnees Ahmad AnsariPiaoping Yang . Enzyme-based colorimetric signal amplification strategy in lateral flow immunoassay. Chinese Chemical Letters, 2025, 36(5): 110059-. doi: 10.1016/j.cclet.2024.110059

    20. [20]

      Xinlong ZhengZhongyun ShaoJiaxin LinQizhi GaoZongxian MaYiming SongZhen ChenXiaodong ShiJing LiWeifeng LiuXinlong TianYuhao Liu . Recent advances of CuSbS2 and CuPbSbS3 as photocatalyst in the application of photocatalytic hydrogen evolution and degradation. Chinese Chemical Letters, 2025, 36(3): 110533-. doi: 10.1016/j.cclet.2024.110533

Metrics
  • PDF Downloads(1)
  • Abstract views(1201)
  • HTML views(13)

通讯作者: 陈斌, bchen63@163.com
  • 1. 

    沈阳化工大学材料科学与工程学院 沈阳 110142

  1. 本站搜索
  2. 百度学术搜索
  3. 万方数据库搜索
  4. CNKI搜索
Address:Zhongguancun North First Street 2,100190 Beijing, PR China Tel: +86-010-82449177-888
Powered By info@rhhz.net

/

DownLoad:  Full-Size Img  PowerPoint
Return